Next Article in Journal
Investigating the Adsorption Behavior of Polyaniline and Its Clay Nanocomposite towards Ammonia Gas
Next Article in Special Issue
Stiffness-Controlled Hydrogels for 3D Cell Culture Models
Previous Article in Journal
Thermal Degradation and Product Analysis of 3-iodo-2-propyl-butylcarbamate as a Wood Preservative
 
 
Font Type:
Arial Georgia Verdana
Font Size:
Aa Aa Aa
Line Spacing:
Column Width:
Background:
Article

Conformation and Structure of Hydroxyethyl Cellulose Ether with a Wide Range of Average Molar Masses in Aqueous Solutions

1
Division of Natural Resources and Eco-Materials, Graduate School of Agriculture, Tokyo University of Agriculture and Technology, 3-5-8, Saiwai-cho, Fuchu, Tokyo 183-8509, Japan
2
Cellulose Research Unit, Tokyo University of Agriculture and Technology, 3-5-8, Saiwai-cho, Fuchu, Tokyo 183-8509, Japan
3
Neutron Science and Technology Center, Comprehensive Research Organization for Science and Society (CROSS), 162-1 Shirakata, Tokai, Naka 319-1106, Ibaraki, Japan
*
Author to whom correspondence should be addressed.
Polymers 2022, 14(21), 4532; https://doi.org/10.3390/polym14214532
Submission received: 26 September 2022 / Revised: 15 October 2022 / Accepted: 20 October 2022 / Published: 26 October 2022
(This article belongs to the Special Issue Advanced Preparation and Application of Cellulose)

Abstract

The solution properties of a water-soluble chemically modified cellulose ether, hydroxyethyl cellulose (HeC), were examined using static light scattering (SLS), dynamic light scattering (DLS), small-to-wide-angle neutron scattering (S-WANS), small-to-wide-angle X-ray scattering (S-WAXS) and viscometric techniques at 25 °C. The examined HeC samples had average molar substitution numbers ranging from 2.36 to 2.41 and weight average molar masses (Mw) that fell within a wide range from 87 to 1500 kg mol−1. Although the relationship between the determined radius of gyration (Rg) and Mw was described as RgMw~0.6, as is observed usually in flexible polymer solutions in good solvents, the observed scattering vector (q) dependencies of excess Rayleigh ratios were well interpreted using a rigid rod particle model, even in high-Mw samples. Moreover, the ratios of the formed particle length (L) evaluated assuming the model for rigid rods to the determined Rg showed the relationship LRg−1 ~ 3.5 irrespective of Mw and were close to those theoretically predicted for rigid rod particle systems, i.e., LRg−1 = 12 . The observed SLS behavior suggested that HeC molecules behave just like rigid rods in aqueous solution. As the L values were not simply proportional to the average molecular contour length calculated from the Mw, the chain conformation or structure of the formed particles by HeC molecules in aqueous solution changed with increasing Mw. The q dependencies of excess scattering intensities observed using the S-WANS and S-WAXS experiments demonstrated that HeC molecules with Mw less than 200 kg mol−1 have a diameter of ~1.4 nm and possess an extended rigid rod-like local structure, the size of which increases gradually with increasing Mw. The observed Mw dependencies of the translational and rotational diffusion coefficients and the intrinsic viscosity of the particle suspensions strongly support the idea that the HeC molecules behave as rigid rod particles irrespective of their Mw.

Graphical Abstract

1. Introduction

Hydroxyethyl cellulose (HeC) is a water-soluble chemically modified cellulose ether that is derived from cellulose by additional reaction with ethylene oxide by many manufacturers at present [1,2,3]. As HeC is obtained from an abundant and eco-friendly natural product, cellulose, it has been produced by many chemical manufacturers and is used in many practical applications in daily life; one such use is as an effective rheology modifying agent [4,5,6,7,8]. The fascinating rheological behavior of aqueous HeC solutions, including their shear and extensional behavior, has attracted much attention from rheologists in recent years [9,10]. The water solubility of HeC samples is controllable by the molar substitution number (MS) of the hydroxyethyl groups of each constituent glucose ring; most commercial water-soluble HeC samples have MS numbers between 1.3 and 3.4, and HeC samples maintain rather high water solubility over a wide temperature range irrespective of the weight average molar mass (Mw) [11]. Other water-soluble chemically modified cellulose ethers such as methyl cellulose (MC) and hydroxypropylmethyl cellulose (HpMC) show a characteristic temperature dependence of water solubility; MC and HpMC are soluble in water only at temperatures lower than, e.g., 40 °C and show rather sharp clouding behavior and sometimes gelation above this temperature, depending on the MS numbers of the hydroxypropyl groups and the degree of substitution (DS) by methyl groups in each glucose unit [12]. The mechanisms through which the clouding and gelation phenomena observed in aqueous MC solutions occur have been investigated in detail [13,14]. The characteristic clouding behavior is understood to be a steep dehydration phenomenon that occurs with increasing temperature and in which the molecules fail to achieve the critical hydration state necessary to maintain water solubility. In the case of water-soluble HeC samples, the temperature dependence of the hydration number (nH) per glucose ring is much weaker than that of HpMC and MC samples, and nH does not fall to the critical value at which the HeC clouds or gels in water, even at temperatures higher than 70 °C [15]. Thus, HeC samples possess stable fluidity even at higher temperatures without showing clouding and gelation phenomena; thus, they are useful in applications that require stable solubility and fluidity and provide the desired rheological behaviors in aqueous solutions over wide temperature ranges from 0 to 90 °C.
We recently reported that MC samples with a wide range of Mw possess a highly elongated rigid rod-like conformation and structure in aqueous solution at room temperature (25 °C) and that these MC samples maintain high solubility [16,17]. As many macromolecular scientists believe that water-soluble cellulose derivatives of sufficiently high Mw behave as semiflexible polymer chains with persistence lengths of, e.g., ~5 nm and act as flexible chains in aqueous solutions [18,19], the rigid rod-like structure found in MC samples over a wide Mw range is rather curious. Many investigators might ask the simple question “Do HeC samples that exhibit stable water solubility without showing clouding behavior in aqueous solutions also have conformations and structures identical to the rigid rod-like particles found in MC samples?” To obtain a clear answer to this question, we decided to investigate the conformation and structure in aqueous solution at room temperature (25 °C) of HeC samples with an MS value of ~2.4 and a wide range of Mw values ranging from less than 102 kg mol−1 to greater than 103 kg mol−1 using scattering techniques such as static light scattering (SLS), dynamic light scattering (DLS), small-to-wide-angle neutron scattering (S-WANS) and small-to-wide-angle X-ray scattering (S-WAXS) techniques and viscometric measurements. As the chemical modifications, MS values and Mw values of the HeC samples examined in this study do not differ from those of many commercially available HeC samples, the information obtained on the conformation and structure of the HeC samples in this work provides basic fundamental knowledge related to many types of applications of HeC in aqueous solution.

2. Experimental

2.1. Materials

The five HeC samples investigated in this study were supplied by Daicel Corporation (Tokyo; Japan), and were used without any further purification. The molar substitution numbers, MS, for each HeC sample were determined by use of the so-called hydrogen iodide decomposition reaction method, and the weight average molar masses were determined using SLS techniques. The determined MS values were somewhat dependent on the sample species and ranged from 2.36 to 2.41, as summarized in Table 1. The samples were coded using numbers related to their Mw (in kg mol−1); for example, the HeC sample with Mw = 87 kg mol−1 was coded “HeC87”. For each HeC sample, the polydispersity index, MwMn−1, in which Mn indicates the number average molar mass, was roughly determined using size-exclusion chromatography. The determined MwMn−1 values of all samples were greater than 2, as summarized in Table 1.
Deuterium oxide (D2O, deuterium content > 99.8%) was purchased from Eurisotope (Saint-Aubin; France) and used as a solvent in the S-WANS experiments. Highly deionized water with a specific electrical resistance greater than 18 MΩ cm obtained using a Direct-Q UV 3, Millipore (Darmstadt; Germany) was used as a solvent in the preparation of aqueous solutions of HeC used in experiments other than the S-WANS experiments.
HeC samples at several concentrations (c), each of which was lower than the reciprocal of the intrinsic viscosity ([η]−1) resulting from viscometric measurements, were used in the SLS and DLS experiments. The c values of the HeC87 samples in D2O used in the S-WANS measurements were c = 5.0 × 10−3 and 1.0 × 10−2 g mL−1. The c values in prepared solutions of the samples used in the S-WAXS experiments were c = 2.5 × 10−3, 5.0 × 10−3 and 1.0 × 10−2 for HeC87, c = 1.0 × 10−3 for HeC1000 and c = 8.0 × 10−4 g mL−1 for HeC1500.

2.2. Methods

SLS and DLS measurements were conducted using an extensively modified DLS7000 originally manufactured by Otsuka Electronics Co., Ltd. (Osaka, Japan). A single-frequency Sapphire laser, SF488-100, Coherent, Inc. (Santa Clara, CA, USA), at a wavelength of λ = 488.0 nm, was equipped with the modified DLS7000 as a light source. As a light detector, a photomultiplier, R9880U-01, Hamamatsu Photonics K. K. (Hamamatsu, Japan), was installed. To record intensity fluctuations in scattered light as a function of time, an LSI correlator, LS Instrument AG (Fribourg, Swiss), was used. An autocorrelation function of the scattered light intensity was precisely calculated by the correlator. A Pyrex glass tube which possesses an inner diameter of 19.0 mm and a thickness of 0.5 mm was used as a measuring cell. The measuring temperature for both SLS and DLS measurements was 25.0 °C. The scattering angle (θ) was varied from 30° to 150° in 10° increments. The magnitudes of the scattering vectors covered from 9.78 × 10−3 to 3.65 × 10−2 nm−1. Toluene was employed as the standard material for scattered light intensity in the SLS experiments. The refractive index increment (∂n/∂c) of the HeC in aqueous solution was determined to be 0.139 mL g−1 by use of an Abbemat MW multiwavelength refractometer, Anton Paar (Graz, Austria), at a wavelength of λ = 486 nm. This value was used to determine the MW values for each HeC sample from the SLS data. ∂n/∂c = 0.138 mL g−1 was also determined at a different wavelength of λ = 589 nm−1, and the λ dependence of ∂n/∂c of the HeC samples was weak.
S-WANS experiments were conducted at the Materials and Life Science Experimental Facility (MLF) at the Japan Proton Accelerator Research Complex, J-PARC (Tokai, Japan), using a small-angle neutron scattering facility (TAIKAN) [20], which is installed on a beamline BL15. The range of the scattering vector, q, used in the S-WANS experiments covered from 9.0 × 10−2 to 1.0 × 102 nm−1. As sample cells for S-WANS experiments, square-type quartz cuvettes with a neutron beam path length of 4.0 mm were used. The standard exposure time was 2 h for each sample solution. S-WANS measurements were conducted at 25 °C. The obtained scattering data were converted to absolute values by use of a standard “glassy carbon” data. Absolute scattering value for the glassy carbon had been precisely determined.
S-WAXS measurements were conducted using a small-to-wide-angle X-ray scattering analyzer, SAXSpace, Anton Paar(Graz, Austria), at 25 °C. The scattering vector, q, in the S-WAXS measurements ranged from 1.3 × 10−1 to 1.9 × 101 nm−1. Quartz capillaries with outer diameter and thickness of 1.0 nm and 10 μm, respectively, were used as sample cells. The X-ray exposure time was 8 h for aqueous HeC solutions at c ≤ 2.5 × 10−3 g mL−1 and 30 min for aqueous HeC87 solutions at c = 5.0 × 10−3 and 1.0 × 10−2 g mL−1.
The intrinsic viscosities, [η], of HeC samples in aqueous solutions were determined at 25.0 °C with a Ubbelohde-type capillary viscometer.

3. Results and Discussion

3.1. SLS Behaviors

Using values of λ = 488.0 nm for light course and ∂n/∂c = 0.139 mL g−1 for the examined HeC in aqueous solution, the apparatus constant (K) of the system was determined to be K = 3.89 × 10−7 cm2 mol g−2. The excess Rayleigh ratios, Rθ, compared to the standard liquid, toluene, were determined at each scattering angle for all the aqueous HeC solutions examined. As one of the typical SLS experimental results, the square of the scattering vector, q2, and the dependencies of the ( K c ( R θ ) 1 ) c = 0 (= lim c 0 K c ( R θ ) 1 ) data, so-called Berry plots [21], for the HeC170 sample are shown in Figure 1a. As the HeC samples possess rather broad molar mass distributions, Berry plots rather than Zimm plots [22] were used to analyze the data in this study. The intercept determined from the solid line in Figure 1a indicates Mw = 170 kg mol−1, and the initial slope of the line indicates a radius of gyration Rg = 43.0 nm for HeC170. The c dependencies of the ( K c ( R θ ) 1 ) q = 0 (= lim q 0 K c ( R θ ) 1 ) data for the same HeC170 sample are shown in Figure 1b. The intercept determined from the solid line in Figure 1b yields the same Mw value as that obtained using the solid line in Figure 1a, and the initial slope of the line indicates a second virial coefficient of A2 = 1.0 × 10−3 mL mol g−2 for HeC170. Using essentially the same procedures as described above, the values of Mw, Rg and A2 were determined for each HeC sample examined in this study. Table 1 summarizes these values.
The dependencies of Rg and A2 on the Mw values of the HeC samples are shown in Figure 2a,b, respectively. Based on the slope of the solid line in Figure 2a, which is ~0.6, the relationship RgMw0.6 is approximately obtained. This Mw exponent is close to the values that are usually reported for flexible polymer chains dissolved in moderately good solvents [23]. However, we cannot simply conclude that the HeC samples behave as flexible polymer chains in aqueous solution, because the q dependence of the (Rθ (Kc)−1)c=0 obtained in the SLS experiments and that of the S-WANS and S-WAXS data, which are discussed in detail in later sections, do not show flexible polymer chain behavior. The value of A2 indicates the strength of the interparticle interaction between two solute molecules. The decrease in the A2 value observed in Figure 2b up to the Mw value of ~500 kg mol−1 indicates that there is a decrease in the repulsive interaction between two HeC molecules with increasing Mw that leads to an increase in attractive interactions between HeC molecules with increasing Mw. After reaching its minimum, A2 displays a steep increase in its Mw dependence, as is clearly seen in Figure 2b; this is related to an increase in repulsive interactions between HeC molecules with increasing Mw. The observed complicated Mw dependence of A2 in the HeC samples appears to be caused by conformational and structural changes induced by alterations in the intramolecular interactions between constituent segments of HeC molecules with increasing Mw.
As the A2 values of most flexible and semiflexible polymer chains that maintain constant persistence lengths irrespective of Mw when dissolved in solutions show monotonous weak decreasing behavior with increasing Mw [23,24], the Mw dependence of A2 observed in Figure 2b suggests a clear difference between the HeC molecules analyzed in this study and the usual flexible and semiflexible polymer chains from the viewpoint of intermolecular interactions. In the case of aqueous solutions of another water-soluble chemically modified cellulose ether, methyl cellulose, MC, the observed A2 decreases rather drastically with increasing Mw and does not show a subsequent steep increase up to an Mw value of ~1.0 × 103 kg mol−1, as observed in Figure 2b [17]. Thus, it is likely that the structural change that occurs in the aqueous HeC samples is not identical to that in the aqueous MC samples [17].
The q dependencies of Rθ(Kc)−1c=0 data for all HeC samples are shown in Figure 3 on a double-logarithmic scale. For HeC samples with Mw values lower than 200 kg mol−1, the Rθ(Kc)−1c=0 data show weak q dependencies, for which suitable form factors, P(q), cannot be obtained precisely from the SLS data alone. However, the HeC samples with lower Mw values demonstrated obvious proportionality to q−1 in their excess scattering intensities, ΔI(q)c−1, in the data obtained in the S-WANS and S-WAXS experiments covering a q range higher than that of the SLS experiments, as discussed in detail in a later section. In a high q range of the SLS data, the HeC samples with Mw values higher than 500 kg mol−1 clearly show the relationship Rθ(Kc)−1c=0q−1, as seen in Figure 3. As the relationship Rθ(Kc)−1c=0 (or ΔI(q)c−1) ∝ q−1 indicates characteristic behavior of the form factors, P(q), of rigid rod particles in the q range higher than the reciprocal of rod particle length (L) [25,26] and Rθ(Kc)−1c=0 theoretically corresponds to MwP(q), it is possible that the Rθ(Kc)−1c=0 data for all the HeC samples in this study are describable based on the form factors of rigid rod particles that possess different L values that depend on the Mw of the sample.
The solid lines shown in Figure 3 represent MwP(q) curves resulting from curve fitting to the Rθ(Kc)−1c=0 data for each HeC sample assuming rigid rod particle form factors. In the curve fitting procedure, the open source software SasView [27] was employed to calculate rigid rod form factors [26], P(q). Varying L values, MwP(q) curves were fitted to the Rθ(Kc)−1c=0 data to permit identification of the most adequate L values for each HeC sample. The q dependence of the P(q) curves in the q range covered by the SLS experiments (q < 4 × 10−2 nm−1) was not sensitive to the diameter (d) of the assumed rigid rod particles when d was set at values smaller than, e.g., 10 nm. The values of L (and d) determined as the most adequate average values based on fitting of the data are shown in Figure 3. As the observed agreement between the MwP(q) curves and the Rθ(Kc)−1c=0 data is reasonable for HeC samples with Mw greater than 500 kg mol−1, the rigid rod particle form factors appear to be suitable for describing the SLS behavior of HeC samples in aqueous solutions. The Rθ(Kc)−1c=0 data for the HeC samples with Mw values lower than 100 kg mol−1 display quite weak q dependence in the q range covered by the SLS experiments for the determination of MwP(q) curves precisely. Then, the combination of the q dependencies of the Rθ(Kc)−1c=0 data and the excess scattering intensity data, ΔI(q)c−1, resulting from the S-WANS and S-WAXS experiments will be quite useful to determine MwP(q) curves for the low-Mw HeC samples as discussed in detail in the next section.
Figure 4 shows the Mw dependencies of L and LRg−1 determined for each HeC sample. Although the value of L increases monotonically with increasing Mw, the L value is not proportional to the Mw value, and the ratio LRg−1 appears to remain at a constant value close to ~3.5 irrespective of Mw. As the relationship found in this study is close to the simple relationship L2 = 12Rg2, i.e., L(Rg)−1 = 12 ~ 3.46, which holds in suspensions of rigid rod particles, the results might be interpreted as strongly supporting a rigid rod structure of the particles formed by HeC molecules in aqueous solution. However, the HeC molecules cannot have simply elongated straight conformations or systematic helical conformations because the L of the formed particles is not simply proportional to Mw, as described above. The average contour lengths (l) of the HeC molecules in each HeC sample can be calculated assuming the repeating length of the glucose unit to be 0.5 nm [28], and in this way a holding number defined as lL−1, which indicates the average molecular chain number per cross section of the rod particles formed by the HeC molecules, can be calculated, considering that an essential characteristic of cellulose molecules that form the framework of HeC is that they prefer to assume a straight elongated conformation. The Mw dependence of the lL−1 value for HeC samples is also shown in Figure 4. For HeC samples of Mw less than 20 kg mol−1, the lL−1 value is not far from two. This observation suggests that short HeC molecules have hairpin-like particle structures with lL−1 = 2 on average. The presence of a similar hairpin-like structure has already been demonstrated in aqueous solutions of MC and HpMC [16,17]. The observed change in the lL−1 value with increasing Mw in Figure 4 suggests alterations in the size and shape of the cross sections of HeC molecules in aqueous solution. However, the SLS data cannot provide useful information in the length scale shorter than 10 nm−1, which is related to the cross section of HeC molecules.

3.2. S-WANS and S-WAXS Behaviors

The q dependencies of concentration-reduced excess scattering intensities, ΔIN(q)c−1, determined via the S-WANS measurements for HeC87 at c = 0.005 and 0.010 g mL1, are shown in Figure 5a. As the [η] value for HeC87 was determined to be 180 mL g−1, the ΔIN(q)c−1 data obtained at c = 0.005 g mL−1 should be more reliable than those obtained under the condition of the so-called isolated state for HeC molecules given by c < [η]−1. The difference between the ΔIN(q)c−1 data obtained at these concentrations is small, as seen in Figure 5a. Thus, the condition at c = 0.010 g mL−1 is not far from the isolated state. One can easily recognize the relationship ΔI(q)c−1q−1 in the q range 0.1 nm−1 < q < 1.0 nm−1; such a relationship is characteristic of rigid rod or long columnar particles with L > 10 nm. A steeper decrease in the ΔI(q)c−1 data is observed over the q range greater than 2.0 nm−1; there, two broad interference-type peaks are clearly recognized at q ~ 6.5 and 14 nm−1, as seen in Figure 5a. As the presence of two similar interference-type peaks has also been observed in aqueous solutions of MC and HpMC, it is speculated that the local structures assumed by several water-soluble chemically modified cellulose ethers have common characteristics showing these peaks [16,17]. The observed peak at ~6.5 nm−1 corresponds to the periodic distance of ~(2π/6.5) 1.0 nm, close to the molecular size of cellobiose, the structural repeating unit of cellulose. Another periodic distance of 0.4 nm corresponding to the other peak at 14 nm−1, 2π/14 ~ 4.5 nm, is not far from the separation between facing cellulose molecules in the crystalline structure of cellulose II [16,17].
The solid line in Figure 5a shows the curve fit to the ΔI(q)c−1 data by SasView [27] assuming the rigid rod particle form factor, P(q), with L = 93 and d = 1.4 nm. Although the L value cannot be determined uniquely from the S-WANS data alone, the SLS data providing the value of Rg = 27 nm and the weak q dependence of Rθ(Kc)−1c=0 data in the q range lower than 0.04 nm−1 were useful in determining the L and d values. The SLS data multiplied by the constant f = 6.5 × 10−4 cm2 g−2 mol, i.e., fRθ(Kc)−1c=0, are also plotted in Figure 5a. The value f = (6.5 ± 0.3) × 10−4 cm2 g−2 mol connects the S-WANS and SLS data quite smoothly using the rigid rod form factor, maintaining the characteristics of almost flat P(q) in the range of q < 0.04 nm−1 and P(q) ∝ q−1 in the range of 0.1 nm−1q < 2.0 nm−1. The agreement between the solid fit curve, fMwP(q), with the identical f value to the fRθ(Kc)−1c=0 data and the experimental ΔIN(q)c−1 data appears reasonable except for the presence of the two interference-type peaks. The broken line in the same figure represents the fit curve calculated assuming a rectangular columnar particle with L = 93 nm, width w1 = 1.8 nm and thickness w2 = 0.5 nm. As the difference between the fit curves indicated by the solid and broken lines is inconspicuous, especially in the q range below 2.5 nm−1, we might conclude that these structural factors describe the local structure of HeC87 molecules rather reasonably. An elliptical rod particle [29] with structural parameters similar to those of the rectangular columnar particle would have a form factor, P(q), suitable for the ΔIN(q)c−1 data seen in Figure 5a.
The S-WAXS measurements covered a similar q range to the S-WANS measurements in this study. To confirm the validity of the data obtained using these two techniques, we compared the q dependencies of the ΔIX(q)c−1 data determined in S-WAXS measurements with those obtained from S-WANS measurements. As the ΔIX(q)c−1 data were not converted into absolute values in this study, the mΔIX(q)c−1 data multiplied by a certain numerical constant, m, can be used for comparison. Figure 5b shows the q dependence of ΔIN(q)c−1 for the HeC87 sample obtained at c = 0.005 g mL−1 (the same data as seen in Figure 5a) and that of mΔIX(q)c−1 at c = 0.0025, 0.0050 and 0.010 g mL−1 using the numerical constant m = 0.17. Although all the c values are rather low and the obtained ΔIN(q)c−1 and mΔIX(q)c−1 data are poorly dispersed, the agreement between the two sets of data, with the exception of the mΔIX(q)c−1 data at c = 0.010 g mL−1, is fairly good, especially in the q range 0.1 to 4.0 nm−1; within that range, the scattering data are proportional to q−1 up to q = 1.0 nm−1 and decrease more steeply above that q value. The data obtained at c = 0.010 g mL−1 clearly show substantially greater values than other data in the q range from 1.5 to 5.0 nm−1 and show the interference-type peaks less significantly than mΔIX(q)c−1 data at other lower c. It appears that the mΔIX(q)c−1 data obtained from the S-WAXS measurements demonstrate the presence of the two interference peaks at q = 6.5 and 14 nm−1 slightly more clearly than do the ΔIN(q)c−1 (S-WANS) data. Based on the observed fair agreement between the ΔIN(q)c−1 data and the mΔIX(q)c−1 data in the q range 0.1 to 4.0 nm−1, we might conclude that both the S-WANS measurements and the S-WAXS measurements show the precise q dependence of scattering data for isolated HeC molecules under the condition of c ≤ [η]−1, as we expected.
The mΔIX(q)c−1 data for HeC1000 at c = 1.0 × 10−3 g mL−1 and those for HeC1500 at c = 0.8 × 10−3 g mL−1 are shown in Figure 6a,b, respectively. The fRθ(Kc)−1c=0 data for the HeC1000 and HeC1500 samples obtained from the SLS measurements and the fMwP(q) curves resulting from the rigid rod particle model are also included in Figure 6a,b. As the f and m values used in Figure 5b are also employed in Figure 6a,b, the q dependencies of the mΔIX(q)c−1 data in these figures are directly comparable with the fRθ(Kc)−1c=0 data and the fMwP(q) curves quantitatively with respect to their magnitude. It is likely that the q range over which the relationship mΔIX(q)c−1q−1 is observed becomes narrower with increasing Mw. In the case of HeC1000, the mΔIX(q)c−1 data show a steeper decrease in magnitude with a negative exponent of q, obviously greater than unity, in the q range higher than ~0.8 nm−1, as seen in Figure 6a. A similar change in the q dependence of mΔIX(q)c−1 data can also be recognized for HeC1500 in the q range higher than ~0.3 nm−1; this range is clearly lower than the q range observed for the solution of HeC1000(850), as seen in Figure 6b. This suggests that there is a change in the local particle structure formed by HeC molecules that is a function of Mw. An increase in the diameter, d, of the rigid rod decreases the q range, showing the relationship mΔIX(q)c−1q−1. The solid line indicating fMwP(q), shown in Figure 6a, is the fit curve for the mΔIX(q)c−1 data calculated using SasView [27] assuming the form factor of a rigid rod, P(q), with L = 420 nm and d = 3.0 nm. The agreement between the calculated curve and the data is reasonable in the q range below 1.0 nm−1. It is likely that the mΔIX(q)c−1 data have a certain characteristic q dependence that is related to the local structure of the formed particles in the q range higher than 2.0 nm−1. However, the poor quality of the obtained data due to the low concentrations of HeC used in the experiments did not allow us to distinguish between a more local particle structure formed by HeC1000 molecules and other sophisticated particle models such as rectangular columnar and/or elliptical rod models.
HeC1500 molecules also appear to have rigid rod-like local structures, as clearly suggested by the dependence of the mΔIX(q)c−1 data on q seen in Figure 6b. The solid line representing fMwP(q) in Figure 6b indicates the form factor, P(q), of a rigid rod with L = 500 nm and d = 5.0 nm as a function of q. The agreement between the fitted curve obtained using the rigid rod particle model and the mΔIX(q)c−1 data is fair, especially in the q range lower than 1.0 nm−1. We did not consider more local structures of particles formed by HeC1500(900) in aqueous solution due to the poor quality of the data in the q range higher than 1 nm−1, as also seen in Figure 6b. However, despite the low quality of the data, two interference peaks at approximately 6.5 and 14 nm−1 can be discerned, as seen in Figure 6a,b.
The fair agreement between the fitted curves obtained assuming the form factors of rigid rods with diameter, d, varying from 1.4 to 5.0 nm with increasing Mw and the mΔIX(q)c−1 data obtained for aqueous solutions of HeC samples, as seen in Figure 5 and Figure 6, strongly suggests that the particles formed by the HeC molecules can be described as having local structures and conformations that correspond to rigid rods with diameters that increase gradually with increasing Mw.

3.3. Viscometric Behaviors

The Mw dependence of the intrinsic viscosity, [η], of the HeC samples in aqueous solution is shown in Figure 7. Although the relationship [η] ∝ Mw~0.67, which is usually observed for flexible polymer chain samples dissolved in good solvents [23], appears at a glance to hold, we would like to consider this relationship based on the idea of formation of rigid rod particles by the HeC samples. This consideration is based on the fact that all the scattering data obtained in the SLS and S-WANS and S-WAXS experiments can be fairly well explained using a form factor corresponding to that of rigid rod particles. Based on this consideration, we do not think that the lengths, L, of the formed particles are simply proportional to Mw and that the radii, d, of the formed rigid rod particles maintain a constant value irrespective of Mw, despite the fact that this is a usually accepted idea.
According to theoretical calculations [30,31], the intrinsic viscosity of a suspension of rigid rod particles ([η]cal) with viscometric particle length (Lη) and dη is given as Equation (1).
[ η ] cal = 2 π N A L η 3 45 M w { ln ( L η / d η ) + C η }
In Equation (1), NA and Cη represent, respectively, Avogadro’s number and a numerical constant that shows the contribution of hydrodynamic interaction formulated using polynomials of the ratio Lη/dη [30]. As the first simple choice, we can select the relationship Lη = L and dη = d to calculate [η]cal. It is known that Cη approaches a constant value of −0.93 when Lη is much longer than dη. We used this value in our calculations of [η]cal. The solid line representing [η]cal1 in Figure 7 shows the Mw dependence of [η]cal resulting from the first simple choice. Although the agreement between the calculated [η]cal1 curve and the experimental data is not perfect, the Mw dependence of the [η] data is reproduced semiquantitatively. We then tested a second assumption, Lη = 0.87L and dη = d; the curve obtained in that way is shown in Figure 7 as the broken curve labeled [η]cal2. The agreement between the [η]cal2 curve and the [η] data is much better than that between [η]cal1 and the [η] data. Changing the dη value, e.g., using dη = 0.87d, hardly affected the value of [η]cal. Consequently, we might conclude that the viscometric behavior of HeC samples in aqueous solution is reasonably described as corresponding to that of rigid rod particles with viscometric lengths slightly shorter than the structural lengths determined using scattering methods such as SLS, S-WANS and S-WAXS. Viscometric lengths that are shorter than structural lengths have also been reported for aqueous solutions of MC samples [17] and for N-methylpyrrolidone solutions of poly(vinylidene difluoride) [32].

3.4. Diffusional Behaviors

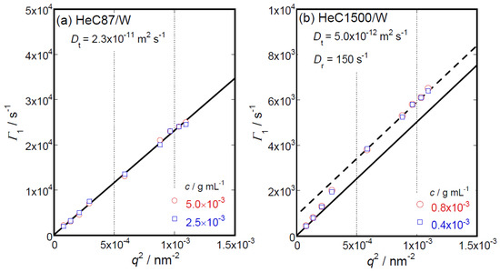
The first cumulants, Γ1, calculated from the initial slopes of the obtained autocorrelation functions of the scattered light electric field provide translational diffusion coefficients, Dt, of particles formed by solute molecules dissolved in sample solutions. As typical experimental results for HeC samples in aqueous solutions, Figure 8a,b show the q2 dependencies of Γ1 data for the shortest (HeC87) and the longest (HeC900) samples, respectively. The Γ1 data for the HeC87 sample seen in Figure 8a can be described as following a straight line with a constant slope over the q2 range covered in this study. In this case, the value of Dt can be simply evaluated as the constant slope of 2.3 × 10−11 m2 s−1. However, the Γ1 data for the HeC1500 sample shown in Figure 8b are not simply proportional to q2; instead, they show a sigmoidal shape dependence. For Γ1 data without linear q2 dependence, the Dt value can be obtained from the initial slope of the line conforming to the Γ1 data using the equation Dt = limq2→0 Γ1q−2. In the case of large particles such as HeC1500, the Γ1 data reflect the contribution of rotational diffusion, especially in the high-q2 region. When the Γ1 data possess another Γ1q2 relationship for which the proportional coefficient is identical to Dt for the high-q2 region, the q2 dependence of the Γ1 data can be approximately described as Γ1 = 6Dr + Dt q2 [17,33,34]. The rotational diffusion coefficient, Dr, can then be evaluated from the intercepts of the straight lines, which follow the Γ1 data in the high-q2 range and are extrapolated to q2 = 0. This is shown in Figure 8b for the HeC1500 sample. However, in this study, the values of Dr were obtained only for the three high-Mw HeC samples. Although depolarized dynamic light scattering (DDLS) techniques [33] are better methods for determining Dr values for solute particles and we, of course, performed some DDLS measurements, scattering intensity data sufficient to determine Dr values precisely were not obtained under depolarized conditions for all the samples examined in this study.
The Mw dependencies of the obtained Dt and Dr data for the HeC samples in aqueous solution are shown in Figure 9a. The Dt data for the HeC samples appear at a glance to demonstrate the relationship DtMw−0.65, which is usually observed for flexible polymer chains in solution. However, because the SLS, S-WANS, S-WAXS and viscometric data strongly suggest that HeC molecules do not assume simple flexible polymer chain conformations and structures but rather appear as rigid rod-like structures in aqueous solution, we discuss the Dt and Dr data based on the rigid rod particle model [30]. According to Ortega and García de la Torre [30], Dr and Dt are theoretically expressed as
D t   cal = k B T { ln ( L η / d η ) + C t } 3 π η w L η ,
D r   cal = 3 k B T { ln ( L η / d η ) + C r } π η w L η 3 ,
where kBT, T, Ct and Cr represent, respectively, the Boltzmann constant, the absolute temperature and numerical constants describing the contribution of hydrodynamic interactions for Dt and Dr. The values of Ct and Cr are given as Lη/dη polynomials [30]. The solid lines shown in Figure 9a show the theoretical Dt cal1 and Dr cal1 calculated simply assuming Lh = L and dh = d. The broken lines labeled Dt cal2 and Dr cal2 in Figure 9a were obtained assuming Lh = 0.87L and dh = d, the same values that were used in the evaluation of the Mw dependency of the viscometric [η] data. The observed differences between Dt cal1 and Dt cal2 and between Dr cal1 and Dr cal2 are not significant. As the agreement between the obtained Dt data and Dt cal1 (and Dt cal2) and between the Dr data and Dr cal1 (and Dr cal2) is reasonable, we might conclude that the rigid rod particle model can explain the Mw dependency of the Dt and Dr data for the HeC samples examined in this study. Consequently, the existence of a rigid rod-like conformation and structure of HeC molecules in aqueous solution is strongly supported from the viewpoint of diffusional behavior.
The conformations and structures of solute molecules can be considered based on the value of the so-called shape factor (ρ) of the molecules. This factor is defined as the ratio of Rg to the hydrodynamic radius (Rh) of the molecule given as Rh = kBT(6πDt)−1. If the particles formed by HeC molecules simply assume flexible coil-like conformations and structures in aqueous solution, the particles have a shape factor of ρ ~ 1.6 irrespective of the Mw of the particles [30]. The reason for this constant ρ value is that an identical Mw exponent is usually observed for both the Rg and Rh (∝ Dt−1) data for many flexible polymer chain systems. On the other hand, if the particles of HeC molecules have a rigid rod-like conformation, the shape factor should satisfy the relationship ρ = 0.18 + 0.58ln(Lhdh−1) for long particles [17,30] for which Lhdh−1 > 10. Figure 9b shows the dependence of the ρ data on ln(Lhdh−1) for all the HeC samples in aqueous solution evaluated using the simple first condition, Lh = L and dh = d, and the second condition, Lh = 0.87L and dh = d, as assumed in the discussion of viscometric behavior. Here, we must note that the relationship Lhdh−1 > 10 is well satisfied for all the HeC sample solutions examined according to the SLS data analysis in which the rigid rod particle form factor above is assumed. The ρ data present inconstant values significantly greater than 1.6 and proportional to ln(Lhdh−1); they approximately follow the theoretically predicted solid line, ρ = 0.18 + 0.58ln(Lhdh−1), irrespective of the choice of conditions for Lh, as shown in Figure 9b. These observations regarding the ρ data also strongly suggest that a rigid rod conformation and structure reasonably describe the formed particle structure of HeC molecules in aqueous solution.
We very recently reported that commercially available methyl cellulose, MC, samples also assume long rigid rod-like conformations and structures in aqueous solution irrespective of their Mw values, similar to the HeC samples in this study [30]. Therefore, it is likely that commercially available water-soluble chemically modified cellulose ethers such as HeC and MC samples have a tendency to assume rigid rod-like conformations and structures in aqueous solution and that this is an essential characteristic of these compounds that results from the strong physicochemical features of cellulose.

4. Conclusions

The conformation and structure of hydroxyethyl cellulose, HeC, ether samples with molar substitution numbers, MS, ranging from 2.36 to 2.41 and weight average molar masses, Mw, ranging from 87 to 1.5 × 103 kg mol−1, in aqueous solution were examined using the multiscattering techniques static and dynamic light scattering, neutron scattering and X-ray scattering and by viscometry. Although the form factors of flexible polymer chains and flexible cylinders cannot describe the obtained scattering vector, q, dependencies of the excess scattering intensity data obtained in the multiscattering measurements, the form factor of rigid rod particles of length L and diameter d dependent and the Mw of the molecular chains can reasonably explain the obtained scattering data. For HeC samples with Mw < 2 × 102 kg mol−1, the rigid rod-like particle model predicts L values close to half of the contour length l and d ~ 1.4 nm. Thus, the formation of rigid rod-like particles resulting from a hairpin-like conformation and structure of HeC molecules is strongly suggested. The finding that the determined L of the formed particles is not proportional to Mw and that the ratio, lL−1, and the d values of the formed rigid rod-like particles increase with Mw for HeC samples with Mw > 2 × 102 kg mol−1 indicates that the formed rod-like particles become thicker with increasing Mw, maintaining their rigidity due to intramolecular attractive interactions such as hydrogen bond formation.
The translational and rotational diffusion coefficients determined using dynamic light scattering techniques and the intrinsic viscosities determined through viscometric measurements also strongly support the formation of rigid rod-like particles and an increase in rod diameter, d, with increasing Mw.

Author Contributions

Conceptualization, T.S.; methodology, M.Y. and H.I.; software, T.S.; validation, M.Y., H.I. and T.S.; formal analysis, T.S.; investigation, M.Y. and H.I.; resources, M.Y. and T.S.; data curation, M.Y. and H.I.; writing—original draft preparation, T.S.; writing—review and editing, H.I. and M.Y.; visualization, M.Y.; supervision, T.S.; project administration, T.S.; funding acquisition, H.I. All authors have read and agreed to the published version of the manuscript.

Funding

Japan Proton Accelerator Research Complex, J-PARC. Grant No. 2021I0015.

Acknowledgments

All hydroxyethyl cellulose and HeC samples were kindly supplied by Daicel Corporation (Osaka). This study was partially supported by Japan Proton Accelerator Research Complex, J-PARC (Tokai). Small-to-wide-angle neutron scattering experiments were performed at the Materials and Life Science Experimental Facility of the J-PARC under a user program (Proposal No. 2021I0015). The authors thank Misaki Ueda (CROSS) for her help with the small-to-wide-angle neutron scattering measurements. This study was also partially supported by Shin-Etsu Chemical Co., Ltd. (Tokyo). Determination of the molar substitution numbers of the HeC samples using the hydrogen iodide decomposition reaction method and polydispersity index measurements using the size-excluding chromatographic method were performed in the laboratory of Shin-Etsu Chemical Co., Ltd. The authors are deeply indebted to Shin-Etsu Chemical Co., Ltd. for their kind collaboration and support. All small-to-wide-angle X-ray scattering and refractive index measurements were conducted in the laboratory of Anton Paar, Japan K. K. (Tokyo). The authors thank Yuichi Takasaki (Anton Paar, Japan K. K.) for his patient collaboration in the X-ray scattering measurements and for fruitful discussion of the obtained results.

Conflicts of Interest

The authors declare no conflict of interest.

References

  1. Érez, S.P.; Samain, D. Structure and Engineering of Celluloses. Adv. Carbohydr. Chem. Biochem. 2010, 64, 25–116. [Google Scholar]
  2. Hubert, E. Verfahren zur Darstellung von Cellulosederivaten. German Patent DE 363, 192, 1920. [Google Scholar]
  3. Thomas, E.B.; Oxley, H.F. Manufacture of Derivatives of Cellulose and Other Polymeric Hydroxy Compounds. U.S. Patent US2135128A, 1 November 1938. [Google Scholar]
  4. Klemm, D.; Heublein, B.; Fink, H.-P.; Bohn, A. Cellulose: Fascinating Biopolymer and Sustainable Raw Material. Angew. Chem. Int. Ed. 2005, 44, 3358–3393. [Google Scholar] [CrossRef] [PubMed]
  5. Kamide, K. Cellulose and Cellulose Derivatives; Molecular Characterization and its Applications; Elsevier: Amsterdam, The Netherlands, 2005; Chapters 2–3. [Google Scholar]
  6. Klemm, D.; Philipp, B.; Heinze, T.; Heinze, U.; Wagenknecht, W. Comprehensive Cellulose Chemistry: Vol. 2 Functionalization of Cellulose; Wiley-VCH Verlag GmbH: Weinheim, Germany, 1998; Chapter 4. [Google Scholar]
  7. Wüestenberg, T. Cellulose and Cellulose Derivatives in the Food Industry: Fundamentals and Applications; John Wiley & Sons: New York, NY, USA, 2014; Chapter 5. [Google Scholar]
  8. Braun, D.D.; Rosen, M.R. Rheology Modifiers Handbook: Practical Use and Application; Elsevier: Amsterdam, The Netherlands, 2013. [Google Scholar]
  9. Glass, J.E. Water Soluble Polymers: Beauty with Performance; American Chemical Society: Washington, DC, USA, 1986; Chapter 1. [Google Scholar]
  10. Dinic, J.; Sharma, V. Power Laws Dominate Shear and Extensional Rheology Response and Capillarity-Driven Pinching Dynamics of Entangled Hydroxyethyl Cellulose (HEC) Solutions. Macromolecules 2020, 53, 3424–3437. [Google Scholar] [CrossRef]
  11. Gloor, W.E.; Mahlman, B.H.; Ullrich, R.D. Hydoxylethylcellulose and Its Uses. Ind. Eng. Chem. 1950, 42, 2150–2153. [Google Scholar] [CrossRef]
  12. Arai, K.; Shikata, T. Hydration/Dehydration Behavior of Cellulose Ethers in Aqueous Solution. Macromolecules 2017, 50, 5920–5928. [Google Scholar] [CrossRef]
  13. Morozova, S. Methylcellulose fibrils: A mini review. Polym. Int. 2020, 69, 125–130. [Google Scholar] [CrossRef]
  14. Coughlin, M.L.; Liberman, L.; Ertem, S.P.; Edmund, J.; Bate, F.S.; Lodge, T. Methyl cellulose solutions and gels: Fibril formation and gelation properties. Prog. Polym. Sci. 2021, 112, 101324. [Google Scholar] [CrossRef]
  15. Arai, K.; Shikata, T. Hydration/Dehydration Behavior of Hydroxyethyl Cellulose Ether in Aqueous Solution. Molecules 2020, 25, 4726–4740. [Google Scholar] [CrossRef]
  16. Arai, K.; Horikawa, Y.; Shikata, T.; Iwase, H. Reconsideration of the conformation of methyl cellulose and hydroxypropyl methyl cellulose ethers in aqueous solution. RSC Adv. 2020, 10, 19059–19066. [Google Scholar] [CrossRef]
  17. Saiki, E.; Yoshida, M.; Kurahashi, K.; Iwase, H. Shikata, Elongated Rod like Particle Formation of Methyl Cellulose in Aqueous Solution. ACS Omega 2022, 7, 28849–28859. [Google Scholar] [CrossRef]
  18. Saito, M. Wormlike Chain Parameters of Cellulose and Cellulose Derivatives. Polym. J. 1983, 15, 213–223. [Google Scholar] [CrossRef]
  19. Kennedy, J.F.; Phillips, G.O.; Williams, P.A.; Piculell, J.L. (Eds.) Cellulose and Cellulose Derivatives: Cellucon ’93 Proceedings: Physico-Chemical Aspects and Industrial Applications; Woodhead Publishing Limited: Cambridge, UK, 1995; Part 4. [Google Scholar]
  20. Takata, S.; Suzuki, J.; Shinohara, T.; Oku, T.; Tominaga, T.; Ohishi, K.; Iwase, H.; Nakatani, T.; Inamura, Y.; Ito, T.; et al. The Design and q Resolution of the Small and Wide Angle Neutron Scattering Instrument (TAIKAN) in J-PARC. JPS Conf. Proc. 2015, 8, 036020-1-6. [Google Scholar]
  21. Berry, G.C. Thermodynamic and Conformational Properties of Polystyrene. I. Light-Scattering Studies on Dilute Solutions of Linear Polystyrenes. J. Chem. Phys. 1966, 44, 4550. [Google Scholar] [CrossRef]
  22. Zimm, H.B. The Scattering of Light and the Radial Distribution Function of High Polymer Solutions. J. Chem. Phys. 1948, 16, 1093–1099. [Google Scholar] [CrossRef]
  23. Fetters, L.J.; Hadjichristidis, N.; Lindnerthe, J.S.; Mays, J.W. Molecular Weight Dependence of Hydrodynamic and Thermodynamic Properties for Well-Defined Linear Polymers in Solution. J. Phys. Chem. Ref. Data 1994, 23, 619–638. [Google Scholar] [CrossRef]
  24. Yamakawa, H.; Abe, F.; Einaga, Y. Second virial coefficient of oligo- and polystyrenes. Effects of chain stiffness on the interpenetration function. Macromolecules 1993, 26, 1898–1904. [Google Scholar] [CrossRef]
  25. Glatter, O. Scattering Methods and their Application in Colloid and Interface Science; Elsevier: Amsterdam, The Netherlands, 2018; Chapters 9–10. [Google Scholar]
  26. Fournet, G. Étude théorique et expérimentale de la diffusion des rayons X par les ensembles denses de particles. Bull. Soc. Fr. Mineral. Cristallogr. 1951, 74, 39–113. [Google Scholar]
  27. Doucet, M.; Hie, C.J.; Gervaise, A.; Ziggy, A.; Jurrian, B.; Wim, B.; Butler, P.; Campbell, K.; Cooper-Benun, T.; Durniak, C.; et al. SasView Version 5.0.3. 2020. Available online: https://www.sasview.org (accessed on 10 September 2021). [CrossRef]
  28. Nishiyama, Y.; Langan, P.; Chanzy, H. Crystal Structure and Hydrogen-Bonding System in Cellulose Iβ from Synchrotron X-ray and Neutron Fiber Diffraction. J. Am. Chem. Soc. 2002, 124, 9074–9082. [Google Scholar] [CrossRef]
  29. Feigin, L.A.; Svergun, D.I. Structure Analysis by Small-Angle X-Ray and Neutron Scattering; Plenum: New York, NY, USA, 1987; Chapter 3. [Google Scholar]
  30. Ortega, A.; García de la Torre, J. Hydrodynamic properties of rodlike and disklike particles in dilute solution. J. Chem. Phys. 2003, 119, 9914–9919. [Google Scholar] [CrossRef]
  31. Doi, M.; Edwards, S.F. The Theory of Polymer Dynamics; Clarendon Press: Oxford, UK, 1986; Chapter 8. [Google Scholar]
  32. Nohara, Y.; Saiki, E.; Shikata, T. Long Two-Dimensional Folding Chain Structure Formation of Poly(vinylidene fluoride) in Solutions of a Polar Solvent, N-Methylpyrrolidone. ACS Appl. Polym. Mater. 2022, 4, 1255–1263. [Google Scholar] [CrossRef]
  33. Berne, B.; Pecora, R. Dynamic Light Scattering; Wiley: New York, NY, USA, 1976; Chapter 8. [Google Scholar]
  34. Schillen, K.; Brown, W.; Johnsen, R.M. Micellar Sphere-to-Rod Transition in an Aqueous Triblock Copolymer System. A Dynamic Light Scattering Study of Translational and Rotational Diffusion. Macromolecules 1994, 27, 4825–4832. [Google Scholar] [CrossRef]
Figure 1. q2 dependencies of the ( K c ( R θ ) 1 ) c = 0 data (a) and c dependencies of the ( K c ( R θ ) 1 ) q = 0 data (b) for aqueous solutions of the HeC170 sample at 25 °C.
Figure 1. q2 dependencies of the ( K c ( R θ ) 1 ) c = 0 data (a) and c dependencies of the ( K c ( R θ ) 1 ) q = 0 data (b) for aqueous solutions of the HeC170 sample at 25 °C.
Polymers 14 04532 g001
Figure 2. Mw dependencies of Rg (a) and A2 (b) for HeC samples in aqueous solution at 25 °C.
Figure 2. Mw dependencies of Rg (a) and A2 (b) for HeC samples in aqueous solution at 25 °C.
Polymers 14 04532 g002
Figure 3. q dependencies of the Rθ(Kc)−1c=0 data and fitted MwP(q) curves for HeC samples in aqueous solution at 25 °C.
Figure 3. q dependencies of the Rθ(Kc)−1c=0 data and fitted MwP(q) curves for HeC samples in aqueous solution at 25 °C.
Polymers 14 04532 g003
Figure 4. Mw dependencies of L, LRg−1 and lL−1 for HeC samples in aqueous solution at 25 °C. Lines are drawn in this figure as a guide for the eye.
Figure 4. Mw dependencies of L, LRg−1 and lL−1 for HeC samples in aqueous solution at 25 °C. Lines are drawn in this figure as a guide for the eye.
Polymers 14 04532 g004
Figure 5. (a) q dependencies of the ΔIN(q)c−1 (S-WANS) data for D2O solutions of HeC87 at c = 0.005 and 0.010 g mL1 at 25 °C; (b) q dependencies of the mΔIX(q)c−1 (S-WAXS) data for aqueous HeC87 solutions at c = 0.0025, 0.0050 and 0.010 g mL−1 at 25 °C and that of ΔIN(q)c−1 data for the same HeC87 sample shown in (a). The SLS data obtained for the same system, fRθ(Kc)−1, and the two fit curves, fMwP(q), obtained assuming f = 6.5 × 10−4 cm2 g−2 mol, are also shown in (a). The numerical constant of m = 0.17 is used for all the mΔIX(q)c−1 data in (b). The places of * and ** in the figures mean the positions of the broad interference-type peaks.
Figure 5. (a) q dependencies of the ΔIN(q)c−1 (S-WANS) data for D2O solutions of HeC87 at c = 0.005 and 0.010 g mL1 at 25 °C; (b) q dependencies of the mΔIX(q)c−1 (S-WAXS) data for aqueous HeC87 solutions at c = 0.0025, 0.0050 and 0.010 g mL−1 at 25 °C and that of ΔIN(q)c−1 data for the same HeC87 sample shown in (a). The SLS data obtained for the same system, fRθ(Kc)−1, and the two fit curves, fMwP(q), obtained assuming f = 6.5 × 10−4 cm2 g−2 mol, are also shown in (a). The numerical constant of m = 0.17 is used for all the mΔIX(q)c−1 data in (b). The places of * and ** in the figures mean the positions of the broad interference-type peaks.
Polymers 14 04532 g005
Figure 6. q dependencies of the mΔIX(q)c−1 (S-WAXS) data obtained for HeC1000 at c = 1.0 × 10−3 g mL−1 (a) and those obtained for HeC1500 at c = 0.8 × 10−3 g mL−1 at 25 °C (b). The same numerical constants as those used to generate the fitted curves shown in Figure 5b, f = 6.5 × 10−4 cm2 g−2 mol and m = 0.17, were employed.
Figure 6. q dependencies of the mΔIX(q)c−1 (S-WAXS) data obtained for HeC1000 at c = 1.0 × 10−3 g mL−1 (a) and those obtained for HeC1500 at c = 0.8 × 10−3 g mL−1 at 25 °C (b). The same numerical constants as those used to generate the fitted curves shown in Figure 5b, f = 6.5 × 10−4 cm2 g−2 mol and m = 0.17, were employed.
Polymers 14 04532 g006
Figure 7. Mw dependence of [η] data for HeC samples in aqueous solution at 25 °C. The solid line labeled [η]cal1 in this figure shows the Mw dependence of [η]cal assuming the first simple relationship, Lη = L and dη = d, and the broken line labeled [η]cal2 represents the Mw dependence obtained assuming the second relationship, Lη = 0.87L and dη = d.
Figure 7. Mw dependence of [η] data for HeC samples in aqueous solution at 25 °C. The solid line labeled [η]cal1 in this figure shows the Mw dependence of [η]cal assuming the first simple relationship, Lη = L and dη = d, and the broken line labeled [η]cal2 represents the Mw dependence obtained assuming the second relationship, Lη = 0.87L and dη = d.
Polymers 14 04532 g007
Figure 8. q2 dependencies of the Γ1 data for the shortest (HeC87, (a)) and the longest (HeC1500, (b)) samples. The broken line in (b) demonstrates the relationship Γ1 = 6Dr + Dt q2; thus, the Dr value can be evaluated from the intercept of the broken line at q2 = 0 nm−2.
Figure 8. q2 dependencies of the Γ1 data for the shortest (HeC87, (a)) and the longest (HeC1500, (b)) samples. The broken line in (b) demonstrates the relationship Γ1 = 6Dr + Dt q2; thus, the Dr value can be evaluated from the intercept of the broken line at q2 = 0 nm−2.
Polymers 14 04532 g008
Figure 9. (a) Mw dependencies of Dt and Dr data for the HeC samples in aqueous solution at 25 °C. The solid lines show Dt cal1 and Dr cal1 calculated assuming Lh = L and dh = d, and the broken lines show Dt cal2 and Dr cal2 calculated assuming Lh = 0.87L and dh = d, as in the Mw dependencies of the [η] data seen in Figure 7. (b) Dependence of ρ (= RhRg−1) on ln(Lhdh−1) for all the HeC samples in aqueous solution at 25 °C assuming the first condition, Lh = L and dh = d (circular symbols), and the second condition, Lh = 0.87L and dh = d (square symbols).
Figure 9. (a) Mw dependencies of Dt and Dr data for the HeC samples in aqueous solution at 25 °C. The solid lines show Dt cal1 and Dr cal1 calculated assuming Lh = L and dh = d, and the broken lines show Dt cal2 and Dr cal2 calculated assuming Lh = 0.87L and dh = d, as in the Mw dependencies of the [η] data seen in Figure 7. (b) Dependence of ρ (= RhRg−1) on ln(Lhdh−1) for all the HeC samples in aqueous solution at 25 °C assuming the first condition, Lh = L and dh = d (circular symbols), and the second condition, Lh = 0.87L and dh = d (square symbols).
Polymers 14 04532 g009
Table 1. Characteristics of the examined HeC samples: molar substitution number, MS (by hydroxyethyl groups), weight average molar mass, Mw, radius of gyration, Rg, second virial coefficient, A2, polydispersity index, MwMn−1, average molecular contour length, l, particle length, L, particle diameter, d, and ratios, LRg−1 and lL−1.
Table 1. Characteristics of the examined HeC samples: molar substitution number, MS (by hydroxyethyl groups), weight average molar mass, Mw, radius of gyration, Rg, second virial coefficient, A2, polydispersity index, MwMn−1, average molecular contour length, l, particle length, L, particle diameter, d, and ratios, LRg−1 and lL−1.
CodeMSMw/kg mol−1Rg/nmA2/mL mol g−2 *MwMn−1l/nmL/nm **d/nm **LRg−1lL−1
HeC872.3887.0271.0 × 10−32.016193.01.43.41.7
HeC1702.41170431.0 × 10−32.73151501.63.52.1
HeC5202.36520804.9 × 10−44.09722902.53.63.4
HeC10002.3910001201.1 × 10−32.418604203.03.54.4
HeC15002.3615001401.5 × 10−32.228005005.03.65.6
* With uncertainty of ±2.0 × 10−4. ** Evaluated assuming rigid rod particles (see text).
Publisher’s Note: MDPI stays neutral with regard to jurisdictional claims in published maps and institutional affiliations.

Share and Cite

MDPI and ACS Style

Yoshida, M.; Iwase, H.; Shikata, T. Conformation and Structure of Hydroxyethyl Cellulose Ether with a Wide Range of Average Molar Masses in Aqueous Solutions. Polymers 2022, 14, 4532. https://doi.org/10.3390/polym14214532

AMA Style

Yoshida M, Iwase H, Shikata T. Conformation and Structure of Hydroxyethyl Cellulose Ether with a Wide Range of Average Molar Masses in Aqueous Solutions. Polymers. 2022; 14(21):4532. https://doi.org/10.3390/polym14214532

Chicago/Turabian Style

Yoshida, Misato, Hiroki Iwase, and Toshiyuki Shikata. 2022. "Conformation and Structure of Hydroxyethyl Cellulose Ether with a Wide Range of Average Molar Masses in Aqueous Solutions" Polymers 14, no. 21: 4532. https://doi.org/10.3390/polym14214532

APA Style

Yoshida, M., Iwase, H., & Shikata, T. (2022). Conformation and Structure of Hydroxyethyl Cellulose Ether with a Wide Range of Average Molar Masses in Aqueous Solutions. Polymers, 14(21), 4532. https://doi.org/10.3390/polym14214532

Note that from the first issue of 2016, this journal uses article numbers instead of page numbers. See further details here.

Article Metrics

Back to TopTop