Axial Compression Property Test of GFRP Tube-Confined Coal Gangue Steel Fiber Short Concrete Column
Abstract
1. Introduction
2. Test Program
2.1. Specimens Design
2.2. Specimens Production
2.3. Material Properties and Mechanical Properties
2.4. Loading and Measuring Device
3. Test Results and Discussions
3.1. Specimens Failure
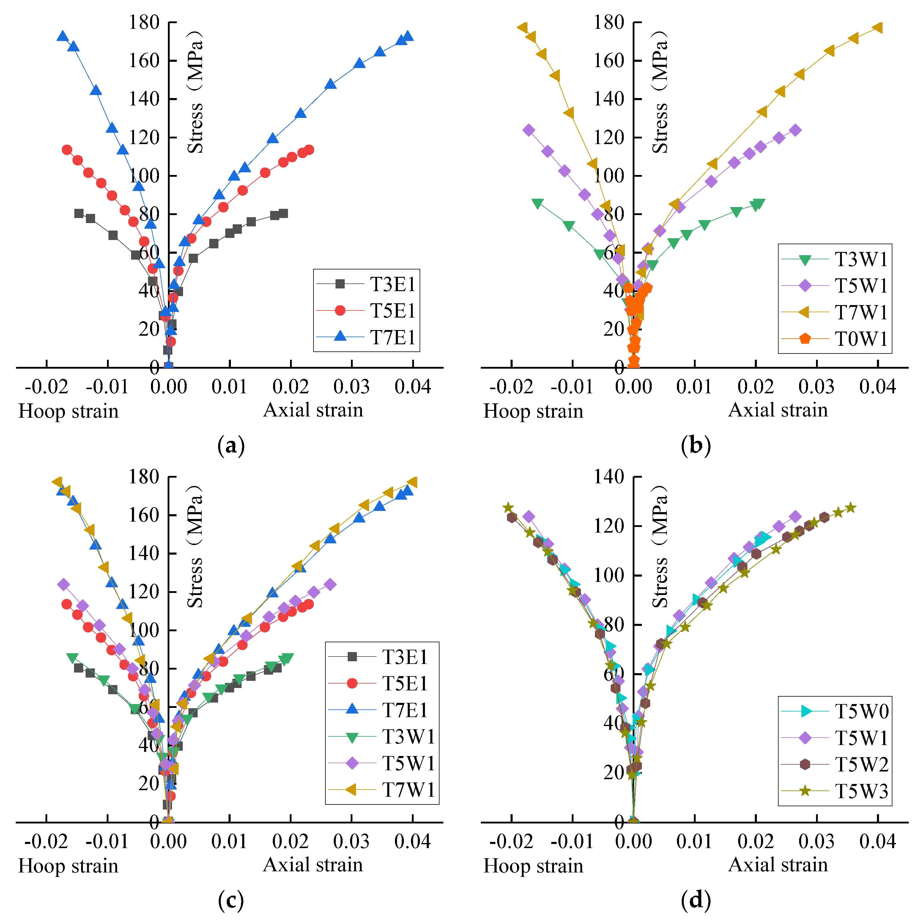
3.2. Analysis of Factors Affecting the Test
3.2.1. Effect of GFRP Tube Thickness
3.2.2. Effect of Steel Fiber Shape
3.2.3. Effect of Fiber Volume Fraction
3.2.4. Contribution of Short Concrete Columns’ Components to Compressive Strength
3.3. Test Ductility Analysis
4. Stress Theory Analysis
4.1. Lateral Restraint Stress Calculation
4.2. Axial Compressive Strength Calculation of Confined Concrete
4.2.1. The Model of Mander et al.
4.2.2. Deng et al. Model
4.2.3. Mohr–Coulomb Model (Cou)
4.2.4. Strength Calculation
5. Conclusions and Suggestions for Future Research
- (1)
- The thickness of the GFRP tube was the key factor affecting the axial compression performance of the specimen. The stress and strain of coal gangue concrete short column increased obviously with the increase in GFRP tube thickness. Compared with the unconstrained short column, the ultimate stress of the short column with tube thickness of 3, 5 and 7 mm was increased by 2.1 times, 3.0 times and 4.3 times, respectively, and the ultimate axial strain was increased by 18.8 times, 20.5 times and 21.5 times, respectively.
- (2)
- Under a certain fiber volume fraction, the connection effect of wave fiber on concrete was more prominent. The ultimate axial strain of the wave fiber-reinforced short column of the GFRP tube thickness 3 mm specimen was 10.1% higher than that of the end hook fiber specimen. The maximum difference in ductility coefficient between the two fiber specimens was 9.6%.
- (3)
- The steel fiber volume fraction significantly affected the axial compression behavior of the specimens. With the increase in fiber volume fraction, strain increase was more evident than stress. Compared with the specimens without fiber incorporation, the ultimate circumferential strain of the specimens with fiber volume fractions of 1%, 2%, and 3% increased by 26.4%, 46.6%, and 50.1%.
- (4)
- In this paper, by comparing the typical axial stress model of the existing literature with the experimental data, it was found that they all had different degrees of error. A stress model suitable for GFRP tube-confined steel fiber-reinforced coal gangue concrete was proposed by comparing the three stress models. The modified Deng model was in good agreement with the experimental results.
Author Contributions
Funding
Institutional Review Board Statement
Informed Consent Statement
Data Availability Statement
Conflicts of Interest
References
- Jablonska, B.; Kityk, A.V.; Busch, M.; Huber, P. The structural and surface properties of natural and modified coal gangue. J. Environ. Manag. 2017, 190, 80–90. [Google Scholar] [CrossRef] [PubMed]
- Wan, q.; Sun, Y.; Zhang, X.; Li, X.; Ju, K. Research progress of coal gangue-based zeolite molecular sieve in water treatment. Water Treat. Technol. 2021, 47, 1–5+26. [Google Scholar] [CrossRef]
- Wang, J.; Lin, C.; Li, Y. Synthesis of gangue-supported Fe/FeOx nanoparticles with application for adsorption of cadmium. Acta Mater. Compos. Sin. 2022, 39, 3317–3329. [Google Scholar] [CrossRef]
- Zhang, N.; Zheng, C.; Zhao, Z.; Liu, H.; Xian, L. Axial compression test of GFRP tube-coal gangue concrete-steel tube hollow column. J. Build. Mater. 2021, 24, 571–577. [Google Scholar]
- Liu, S.; Liu, H. Capillary water absorption characteristics and water distribution prediction of coal gangue concrete. J. Liaoning Tech. Univ. 2018, 37, 804–808. [Google Scholar]
- Wang, A.; Zhu, Y.; Xu, H.; Liu, K.; Jing, Y.; Sun, D. Research progress on coal gangue aggregate for concrete. SilicateBulletin 2019, 38, 2076–2086. [Google Scholar] [CrossRef]
- Zhang, Y.; Wei, Y.; Bai, J.-W.; Duan, M.; Wang, L. Models for predicting axial compression behavior of fiber reinforced polymer-steel composite circular tube confined concrete. J. Compos. Mater. 2019, 36, 2478–2485. [Google Scholar] [CrossRef]
- Fakharifar, M.; Chen, G. Compressive behavior of FRP-confined concrete-filled PVC tubular columns. Compos. Struct. 2016, 141, 91–109. [Google Scholar] [CrossRef]
- Wang, J.-Y.; Yang, Q.-B. Investigation on compressive behaviors of thermoplastic pipe confined concrete. Constr. Build. Mater. 2012, 35, 578–585. [Google Scholar] [CrossRef]
- Guo, Y.; Xu, T.; Liu, J. Axial compression test of circular CFRP-steel composite tube confined high strength concrete short columns. J. Build. Struct. 2019, 40, 124–131. [Google Scholar] [CrossRef]
- Huang, L.; Chen, L.; Yan, L.; Kasal, B.; Jiang, Y.; Liu, C. Behavior of polyester FRP tube encased recycled aggregate concrete with recycled clay brick aggregate: Size and slenderness ratio effects. Constr. Build. Mater. 2017, 154, 123–136. [Google Scholar] [CrossRef]
- Gao, C.; Huang, L.; Yan, L.; Kasal, B.; Li, W. Behavior of glass and carbon FRP tube encased recycled aggregate concrete with recycled clay brick aggregate. Compos. Struct. 2016, 155, 245–254. [Google Scholar] [CrossRef]
- Yan, B.; Huang, L.; Yan, L.; Gao, C.; Kasal, B. Behavior of flax FRP tube encased recycled aggregate concrete with clay brick aggregate. Constr. Build. Mater. 2017, 136, 265–276. [Google Scholar] [CrossRef]
- Saleem, M.U.; Qureshi, H.J.; Amin, M.N.; Khan, K.; Khurshid, H. Cracking Behavior of RC Beams Strengthened with Different Amounts and Layouts of CFRP. Appl. Sci. 2019, 9, 1017. [Google Scholar] [CrossRef]
- Ma, H.; Wang, P.; Li, Z.; Li, J.; Zhang, P. Axial compression performance test and numerical analysis of GFRP tube steel recycled concrete composite columns. Build. Struct. 2020, 50, 76–83+88. [Google Scholar] [CrossRef]
- Yang, Y.; Ye, L.; Yue, Q. Bond strength index of carbon fiber cloth and concrete. Ind. Build. 2003, 2, 5–8. [Google Scholar]
- Zhu, M.; Li, Z.; Zhang, Z. Experimental study on axial compression performance of short columns of glass fiber reinforced composite tube self-compacting micro-expansion reactive powder concrete. Ind. Build. 2021, 51, 188–195. [Google Scholar] [CrossRef]
- Zhang, Y.; Wu, M.; Guo, Q.; Wang, Y. Experimental study on axial compressive mechanical properties of elliptical GFRP tube concrete short columns. Concrete 2020, 8, 7–9+14. [Google Scholar]
- Rodsin, K.; Ali, N.; Joyklad, P.; Chaiyasarn, K.; Al Zand, A.W.; Hussain, Q. Improving Stress-Strain Behavior of Waste Aggregate Concrete Using Affordable Glass Fiber Reinforced Polymer (GFRP) Composites. Sustainability 2022, 14, 6611. [Google Scholar] [CrossRef]
- Usman, M.; Farooq, S.H.; Umair, M.; Hanif, A. Axial compressive behavior of confined steel fiber reinforced high strength concrete. Constr. Build. Mater. 2020, 230, 117043. [Google Scholar] [CrossRef]
- Xie, T.; Ozbakkaloglu, T. Behavior of steel fiber-reinforced high-strength concrete-filled FRP tube columns under axial compression. Eng. Struct. 2015, 90, 158–171. [Google Scholar] [CrossRef]
- Gholampour, A.; Ozbakkaloglu, T. Behavior of steel fiber-reinforced concrete-filled FRP tube columns: Experimental results and a finite element model. Compos. Struct. 2018, 194, 252–262. [Google Scholar] [CrossRef]
- Yue, Q.; Yang, Y. Introduction of the Technical Specification for Strengthening Concrete Structure with Carbon Fiber Reinforced polymer laminate (CECS146:2003). Archit. Struct. 2003, 6, 69–72. [Google Scholar] [CrossRef]
- Deng, Z. Effect of FRP thickness and variety on the axial compression performance of confined UHPC. J. Harbin Eng. Univ. 2016, 37, 218–222. [Google Scholar]
- Tao, Z.; Han, L.H.; Zhuang, J.P. Axial Loading Behavior of CFRP Strengthened Concrete-Filled Steel Tubular Stub Columns. Adv. Struct. Eng. 2007, 10, 37–46. [Google Scholar] [CrossRef]
- Lam, L.; Teng, J.G. Design-oriented stress–strain model for FRP-confined concrete. Constr. Build. Mater. 2003, 17, 471–489. [Google Scholar] [CrossRef]
- Mander, J.B.; Priestley, M.J.N.; Park, R. Theoretical stress-strain model for confined concrete. J. Struct. Eng. 1988, 114, 1804–1826. [Google Scholar] [CrossRef]
- Deng, Z.; Fu, J. Experimental study on mechanical property of concrete columns confined by basalt fiberreinforced polymer under axial mechanical Behavior under plane strain. Concrete 2013, 7, 37–40+49. [Google Scholar]
- Wang, Z. Tri-axial experimental study of the mechanical behavior of concrete in plane strain state. China Civ. Eng. J. 2012, 45, 62–71. [Google Scholar] [CrossRef]








| Serial Number | Tube Thickness (mm) | Fiber Type | Fiber Content (%) | Specimen Height (mm) | Specimen Diameter (mm) |
|---|---|---|---|---|---|
| T3E1 | 3 | End-hooked fiber | 1 | 300 | 150 |
| T3W1 | 3 | Wave fiber | 1 | 300 | 150 |
| T5E1 | 5 | End-hooked fiber | 1 | 300 | 150 |
| T5W1 | 5 | Wave fiber | 1 | 300 | 150 |
| T7E1 | 7 | End-hooked fiber | 1 | 300 | 150 |
| T7W1 | 7 | Wave fiber | 1 | 300 | 150 |
| T5W0 | 5 | Wave fiber | 0 | 300 | 150 |
| T5W2 | 5 | Wave fiber | 2 | 300 | 150 |
| T5W3 | 5 | Wave fiber | 3 | 300 | 150 |
| T0W1 | 0 | Wave fiber | 1 | 300 | 150 |
| Material | Cement | River Sand | Coal Gangue | Water | Water-Reducing Admixture |
|---|---|---|---|---|---|
| Proportion | 15.60% | 35.70% | 41.28% | 7.01% | 0.36% |
| Type of FRP | Tensile Strength (MPa) | Elastic Modulus (GPa) | Bending Strength (MPa) |
|---|---|---|---|
| CFRP | 3165.4 | 224.5 | 57 |
| GFRP | 430 | 22 | 138 |
| Specimen Number | 7 d Strength/MPa | 28 d Strength/MPa | Specimen Number | 7 d Strength/MPa | 28 d Strength/MPa |
|---|---|---|---|---|---|
| T3E1 | 33.21 | 42.94 | T7W1 | 34.57 | 45.16 |
| T3W1 | 35.14 | 44.46 | T5W0 | 31.52 | 41.61 |
| T5E1 | 33.54 | 43.13 | T5W2 | 35.72 | 45.92 |
| T5W1 | 34.75 | 44.12 | T5W3 | 36.23 | 46.11 |
| T7E1 | 33.18 | 42.82 | T0W1 | 35.31 | 45.41 |
| Serial Number | εy | ε100% | DI |
|---|---|---|---|
| T3E1 | 0.01040 | 0.01777 | 1.71 |
| T3W1 | 0.01041 | 0.01956 | 1.88 |
| T5E1 | 0.01207 | 0.02298 | 1.90 |
| T5W1 | 0.01361 | 0.02647 | 1.94 |
| T7E1 | 0.02877 | 0.03912 | 1.36 |
| T7W1 | 0.02832 | 0.04014 | 1.42 |
| T5W0 | 0.01371 | 0.02148 | 1.57 |
| T5W2 | 0.01505 | 0.03122 | 2.07 |
| T5W3 | 0.01959 | 0.03554 | 1.81 |
| Serial Number | Stress Measured Value (MPa) | Mander | Cou | Deng | Deng1 | ||||
|---|---|---|---|---|---|---|---|---|---|
| Calculated Value (MPa) | Increasing Range (%) | Calculated Value (MPa) | Increasing Range (%) | Calculated Value (MPa) | Increasing Range (%) | Calculated Value (MPa) | Increasing Range (%) | ||
| T3E1 | 80.43 | 118.01 | 46.71% | 85.17 | 5.89% | 75.43 | −6.22% | 84.53 | 5.09% |
| T3W1 | 86.20 | 123.57 | 43.37% | 88.10 | 2.21% | 78.13 | −9.36% | 85.83 | −0.42% |
| T5E1 | 113.59 | 165.78 | 45.95% | 123.72 | 8.92% | 113.08 | −0.45% | 112.51 | −0.95% |
| T5W1 | 123.89 | 166.81 | 34.64% | 126.33 | 1.98% | 115.77 | −6.55% | 115.33 | −6.91% |
| T7E1 | 172.28 | 151.10 | −12.30% | 161.40 | −6.32% | 153.21 | −11.07% | 166.28 | −3.48% |
| T7W1 | 177.33 | 144.98 | −18.25% | 165.95 | −6.42% | 158.23 | −10.77% | 174.79 | −1.44% |
| T5W0 | 114.31 | 161.95 | 41.68% | 117.22 | 2.55% | 106.45 | −6.88% | 106.03 | −7.25% |
| T5W2 | 127.28 | 167.28 | 31.42% | 139.88 | 9.90% | 129.95 | 2.10% | 132.06 | 3.75% |
| T5W3 | 127.43 | 166.30 | 30.50% | 142.84 | 12.09% | 133.10 | 4.45% | 139.77 | 9.68% |
Publisher’s Note: MDPI stays neutral with regard to jurisdictional claims in published maps and institutional affiliations. |
© 2022 by the authors. Licensee MDPI, Basel, Switzerland. This article is an open access article distributed under the terms and conditions of the Creative Commons Attribution (CC BY) license (https://creativecommons.org/licenses/by/4.0/).
Share and Cite
Xia, S.; Liu, H.; Fu, G.; Zhang, J.; Lei, M.; Chen, Z. Axial Compression Property Test of GFRP Tube-Confined Coal Gangue Steel Fiber Short Concrete Column. Polymers 2022, 14, 4528. https://doi.org/10.3390/polym14214528
Xia S, Liu H, Fu G, Zhang J, Lei M, Chen Z. Axial Compression Property Test of GFRP Tube-Confined Coal Gangue Steel Fiber Short Concrete Column. Polymers. 2022; 14(21):4528. https://doi.org/10.3390/polym14214528
Chicago/Turabian StyleXia, Shengyong, Haiqing Liu, Guosheng Fu, Jinyang Zhang, Ming Lei, and Zimu Chen. 2022. "Axial Compression Property Test of GFRP Tube-Confined Coal Gangue Steel Fiber Short Concrete Column" Polymers 14, no. 21: 4528. https://doi.org/10.3390/polym14214528
APA StyleXia, S., Liu, H., Fu, G., Zhang, J., Lei, M., & Chen, Z. (2022). Axial Compression Property Test of GFRP Tube-Confined Coal Gangue Steel Fiber Short Concrete Column. Polymers, 14(21), 4528. https://doi.org/10.3390/polym14214528
