Improving the Performance of Polymer Solar Cells with Benzo[ghi]perylenetriimide-Based Small-Molecules as Interfacial Layers
Abstract
1. Introduction
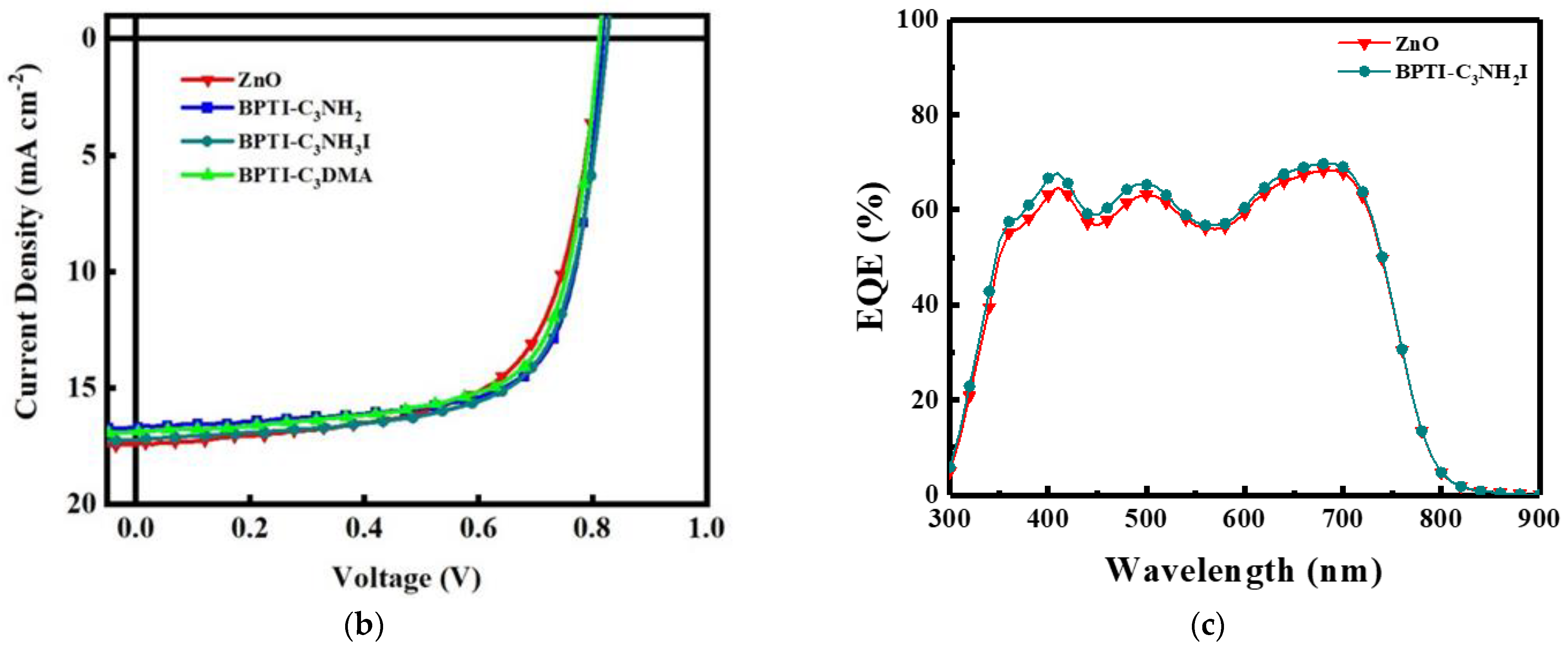
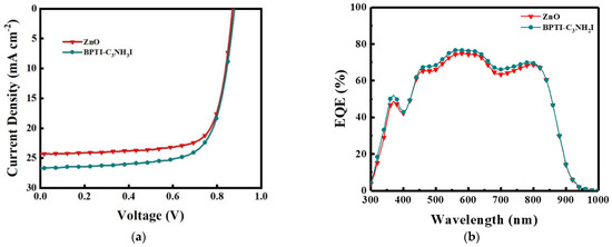
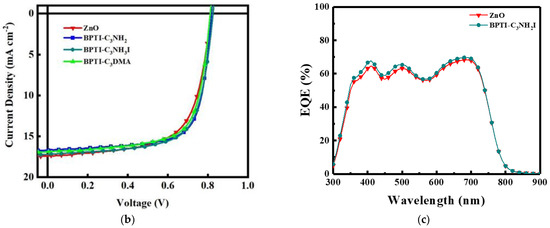
2. Results and Discussion
3. Conclusions
Supplementary Materials
Author Contributions
Funding
Institutional Review Board Statement
Informed Consent Statement
Data Availability Statement
Conflicts of Interest
References
- Yu, Y.Y.; Chen, C.H.; Chueh, C.C.; Chiang, C.Y.; Hsieh, J.H.; Chen, C.P.; Chen, W.C. Intrinsically stretchable nanostructured silver electrodes for realizing efficient strain sensors and stretchable organic photovoltaics. ACS Appl. Mater. Interfaces 2017, 9, 27853–27862. [Google Scholar] [CrossRef] [PubMed]
- Lee, C.-Y.; Tsao, C.-S.; Lin, H.-K.; Cha, H.-C.; Chung, T.-Y.; Sung, Y.-M.; Huang, Y.-C. Encapsulation improvement and stability of ambient roll-to-roll slot-die-coated organic photovoltaic modules. Sol. Energy 2021, 213, 136–144. [Google Scholar] [CrossRef]
- Huang, Y.-C.; Cha, H.-C.; Chen, C.-Y.; Tsao, C.-S. A universal roll-to-roll slot-die coating approach towards high-efficiency organic photovoltaics. Prog. Photovolt. Res. Appl. 2017, 25, 928–935. [Google Scholar] [CrossRef]
- Sun, R.; Wang, W.; Yu, H.; Chen, Z.; Xia, X.; Shen, H.; Guo, J.; Shi, M.; Zheng, Y.; Wu, Y.; et al. Achieving over 17% efficiency of ternary all-polymer solar cells with two well-compatible polymer acceptors. Joule 2021, 5, 1548–1565. [Google Scholar] [CrossRef]
- Cheng, P.; Yang, Y. Narrowing the band gap: The key to high-performance organic photovoltaics. Acc. Chem. Res. 2020, 53, 1218–1228. [Google Scholar] [CrossRef]
- Teshima, Y.; Saito, M.; Mikie, T.; Komeyama, K.; Yoshida, H.; Osaka, I. Dithiazolylthienothiophene bisimide-based π-conjugated polymers: Improved synthesis and application to organic photovoltaics as p-type semiconductor. Bull. Chem. Soc. Jpn. 2020, 93, 561–567. [Google Scholar] [CrossRef]
- Fujimoto, K.; Izawa, S.; Arikai, Y.; Sugimoto, S.; Oue, H.; Inuzuka, T.; Uemura, N.; Sakamoto, M.; Hiramoto, M.; Takahashi, M. Regioselective bay-functionalization of perylenes toward tailor-made synthesis of acceptor materials for organic photovoltaics. Chempluschem 2020, 85, 285–293. [Google Scholar] [CrossRef]
- Bi, P.; Zhang, S.; Chen, Z.; Xu, Y.; Cui, Y.; Zhang, T.; Ren, J.; Qin, J.; Hong, L.; Hao, X.; et al. Reduced non-radiative charge recombination enables organic photovoltaic cell approaching 19% efficiency. Joule 2021, 5, 2408–2419. [Google Scholar] [CrossRef]
- Jiang, B.H.; Wang, Y.P.; Liao, C.Y.; Chang, Y.M.; Su, Y.W.; Jeng, R.J.; Chen, C.P. Improved blend film morphology and free carrier generation provide a high-performance ternary polymer solar cell. ACS Appl. Mater. Interfaces 2021, 13, 1076–1085. [Google Scholar] [CrossRef]
- Jiang, B.-H.; Peng, Y.-J.; Su, Y.-W.; Chang, J.-F.; Chueh, C.-C.; Shieh, T.-S.; Huang, C.-I.; Chen, C.-P. A polymer donor with versatility for fabricating high-performance ternary organic photovoltaics. Chem. Eng. J. 2022, 431, 133950. [Google Scholar] [CrossRef]
- Zhan, L.; Li, S.; Li, Y.; Sun, R.; Min, J.; Chen, Y.; Fang, J.; Ma, C.-Q.; Zhou, G.; Zhu, H.; et al. Manipulating charge transfer and transport via intermediary electron acceptor channels enables 19.3% efficiency organic photovoltaics. Adv. Energy Mater. 2022, 12, 2201076. [Google Scholar] [CrossRef]
- Wei, Y.; Chen, Z.; Lu, G.; Yu, N.; Li, C.; Gao, J.; Gu, X.; Hao, X.; Lu, G.; Tang, Z.; et al. Binary organic solar cells breaking 19% via manipulating the vertical component distribution. Adv. Mater. 2022, 34, 2204718. [Google Scholar] [CrossRef] [PubMed]
- Wang, J.; Zhang, M.; Lin, J.; Zheng, Z.; Zhu, L.; Bi, P.; Liang, H.; Guo, X.; Wu, J.; Wang, Y.; et al. An asymmetric wide-bandgap acceptor simultaneously enabling highly efficient single-junction and tandem organic solar cells. Energy Environ. Sci. 2022, 15, 1585–1593. [Google Scholar] [CrossRef]
- Sun, R.; Wu, Y.; Yang, X.; Gao, Y.; Chen, Z.; Li, K.; Qiao, J.; Wang, T.; Guo, J.; Liu, C.; et al. Single-junction organic solar cells with 19.17% efficiency enabled by introducing one asymmetric guest acceptor. Adv. Mater. 2022, 34, 2110147. [Google Scholar] [CrossRef]
- He, C.; Pan, Y.; Ouyang, Y.; Shen, Q.; Gao, Y.; Yan, K.; Fang, J.; Chen, Y.; Ma, C.-Q.; Min, J.; et al. Manipulating the D:A interfacial energetics and intermolecular packing for 19.2% efficiency organic photovoltaics. Energy Environ. Sci. 2022, 15, 2537–2544. [Google Scholar] [CrossRef]
- Gao, W.; Qi, F.; Peng, Z.; Lin, F.R.; Jiang, K.; Zhong, C.; Kaminsky, W.; Guan, Z.; Lee, C.-S.; Marks, T.J.; et al. Achieving 19% power conversion efficiency in planar-mixed heterojunction organic solar cells using a pseudosymmetric electron acceptor. Adv. Mater. 2022, 34, 2202089. [Google Scholar] [CrossRef]
- Su, L.-Y.; Huang, H.-H.; Lin, Y.-C.; Chen, G.-L.; Chen, W.-C.; Chen, W.; Wang, L.; Chueh, C.-C. Enhancing long-term thermal stability of non-fullerene organic solar cells using self-assembly amphiphilic dendritic block copolymer interlayers. Adv. Funct. Mater. 2021, 31, 2005753. [Google Scholar] [CrossRef]
- Bai, Y.; Zhao, C.; Chen, X.; Zhang, S.; Zhang, S.; Hayat, T.; Alsaedi, A.; Tan, Z.a.; Hou, J.; Li, Y. Interfacial engineering and optical coupling for multicolored semitransparent inverted organic photovoltaics with a record efficiency of over 12%. J. Mater. Chem. A 2019, 7, 15887–15894. [Google Scholar] [CrossRef]
- Yu, Y.-Y.; Tseng, C.; Chien, W.-C.; Chen, C.-P. Interface modification layers for high-performance inverted organic photovoltaics. Org. Electron. 2019, 69, 20–25. [Google Scholar] [CrossRef]
- Chen, Y.-C.; Lin, D.-Z.; Wang, J.-C.; Ni, J.-S.; Yu, Y.-Y.; Chen, C.-P. Facile star-shaped tetraphenylethylene-based molecules with fused ring-terminated diarylamine as interfacial hole transporting materials for inverted perovskite solar cells. Mater. Chem. Front. 2021, 5, 1373–1387. [Google Scholar] [CrossRef]
- Lang, K.; Guo, Q.; He, Z.; Bai, Y.; Yao, J.; Wakeel, M.; Alhodaly, M.S.; Hayat, T.; Tan, Z. High performance tandem solar cells with inorganic perovskite and organic conjugated molecules to realize complementary absorption. J. Phys. Chem. Lett. 2020, 11, 9596–9604. [Google Scholar] [CrossRef] [PubMed]
- Yao, J.; Ding, S.; Zhang, R.; Bai, Y.; Zhou, Q.; Meng, L.; Solano, E.; Steele, J.A.; Roeffaers, M.B.J.; Gao, F.; et al. Fluorinated perylene-diimides: Cathode interlayers facilitating carrier collection for high-performance organic solar cells. Adv. Mater. 2022, 34, 2203690. [Google Scholar] [CrossRef] [PubMed]
- Wen, X.; Zhang, Y.; Xie, G.; Rausch, R.; Tang, N.; Zheng, N.; Liu, L.; Würthner, F.; Xie, Z. Phenol-functionalized perylene bisimides as amine-free electron transporting interlayers for stable nonfullerene organic solar cells. Adv. Funct. Mater. 2022, 32, 2111706. [Google Scholar] [CrossRef]
- Kang, Q.; Liao, Q.; Yang, C.; Yang, Y.; Xu, B.; Hou, J. A new pedot derivative for efficient organic solar cell with a fill factor of 0.80. Adv. Energy Mater. 2022, 12, 2103892. [Google Scholar] [CrossRef]
- Chen, Q.; Wang, C.; Li, Y.; Chen, L. Interfacial dipole in organic and perovskite solar cells. J. Am. Chem. Soc. 2020, 142, 18281–18292. [Google Scholar] [CrossRef]
- Park, J.; Yoon, S.E.; Lee, J.; Whang, D.R.; Lee, S.Y.; Shin, S.J.; Han, J.M.; Seo, H.; Park, H.J.; Kim, J.H.; et al. Unraveling doping capability of conjugated polymers for strategic manipulation of electric dipole layer toward efficient charge collection in perovskite solar cells. Adv. Funct. Mater. 2020, 30, 2001560. [Google Scholar] [CrossRef]
- Kozma, E.; Catellani, M. Perylene diimides based materials for organic solar cells. Dye. Pigment. 2013, 98, 160–179. [Google Scholar] [CrossRef]
- Chen, H.-C.; Yu, Y.-Y.; Chien, W.-C.; Peng, Y.-C.; Hsu, H.-L.; Kuo, C.-C.; Yang, C.-C.; Chen, C.-C.; Chen, C.-P. Benzo [ghi] perylenetriimide derivatives as effective interfacial passivation and electron transporting layers for inverted perovskite solar cells. Dye. Pigment. 2021, 192, 109385. [Google Scholar] [CrossRef]
- Karuppuswamy, P.; Chen, H.-C.; Wang, P.-C.; Hsu, C.-P.; Wong, K.-T.; Chu, C.-W. The 3d structure of twisted benzo[ghi]perylene-triimide dimer as a non-fullerene acceptor for inverted perovskite solar cells. ChemSusChem 2018, 11, 415–423. [Google Scholar] [CrossRef]
- Zdziennicka, A.; Szymczyk, K.; Krawczyk, J.; Jańczuk, B. Some remarks on the solid surface tension determination from contact angle measurements. Appl. Surf. Sci. 2017, 405, 88–101. [Google Scholar] [CrossRef]
- Fowkes, F.M. Attractive forces at interfaces. Ind. Eng. Chem. 1964, 56, 40–52. [Google Scholar] [CrossRef]
- Jiang, B.-H.; Chan, P.-H.; Su, Y.-W.; Hsu, H.-L.; Jeng, R.-J.; Chen, C.-P. Surface properties of buffer layers affect the performance of pm6:Y6–based organic photovoltaics. Org. Electron. 2020, 87, 105944. [Google Scholar] [CrossRef]
- Bulliard, X.; Ihn, S.-G.; Yun, S.; Kim, Y.; Choi, D.; Choi, J.-Y.; Kim, M.; Sim, M.; Park, J.-H.; Choi, W.; et al. Enhanced performance in polymer solar cells by surface energy control. Adv. Funct. Mater. 2010, 20, 4381–4387. [Google Scholar] [CrossRef]
- Ito, S.; Akiyama, H.; Sekizawa, R.; Mori, M.; Yoshida, M.; Kihara, H. Light-induced reworkable adhesives based on aba-type triblock copolymers with azopolymer termini. ACS Appl. Mater. Interfaces 2018, 10, 32649–32658. [Google Scholar] [CrossRef] [PubMed]
- Kranthiraja, K.; Saeki, A. Impact of sequential fluorination of donor and/or acceptor polymers on the efficiency and morphology of all-polymer solar cells. ACS Appl. Polym. Mater. 2021, 3, 2759–2767. [Google Scholar] [CrossRef]
- Chen, D.; Liu, S.; Liu, J.; Han, J.; Chen, L.; Chen, Y. Regulation of the miscibility of the active layer by random terpolymer acceptors to realize high-performance all-polymer solar cells. ACS Appl. Polym. Mater. 2021, 3, 1923–1931. [Google Scholar] [CrossRef]
- Du, F.; Wang, H.; Zhang, Z.; Yang, L.; Cao, J.; Yu, J.; Tang, W. An unfused-ring acceptor with high side-chain economy enabling 11.17% as-cast organic solar cells. Mater. Horiz. 2021, 8, 1008–1016. [Google Scholar] [CrossRef] [PubMed]
- Jiang, B.H.; Peng, Y.-J.; Huang, Y.-C.; Jeng, R.-J.; Shieh, T.-S.; Huang, C.-I.; Chen, C.-P. Greater miscibility and energy level alignment of conjugated polymers enhance the optoelectronic properties of ternary blend films in organic photovoltaics. Dye. Pigment. 2021, 193, 109543. [Google Scholar] [CrossRef]
- Zhang, B.; Thampy, S.; Dunlap-Shohl, W.A.; Xu, W.; Zheng, Y.; Cao, F.Y.; Cheng, Y.J.; Malko, A.V.; Mitzi, D.B.; Hsu, J.W.P. Mg doped cucro2 as efficient hole transport layers for organic and perovskite solar cells. Nanomaterials 2019, 9, 1311. [Google Scholar] [CrossRef] [PubMed]
- Jain, N.; Marwaha, N.; Verma, R.; Gupta, B.K.; Srivastava, A.K. Facile synthesis of defect-induced highly-luminescent pristine mgo nanostructures for promising solid-state lighting applications. RSC Adv. 2016, 6, 4960–4968. [Google Scholar] [CrossRef]
- Saliba, M.; Etgar, L. Current density mismatch in perovskite solar cells. ACS Energy Lett. 2020, 5, 2886–2888. [Google Scholar] [CrossRef]
- Yin, Z.; Wei, J.; Zheng, Q. Interfacial materials for organic solar cells: Recent advances and perspectives. Adv. Sci. 2016, 3, 1500362. [Google Scholar] [CrossRef]
- Xiao, B.; Wu, H.; Cao, Y. Solution-processed cathode interfacial layer materials for high-efficiency polymer solar cells. Mater. Today 2015, 18, 385–394. [Google Scholar] [CrossRef]
- Chueh, C.-C.; Li, C.-Z.; Jen, A.K.Y. Recent progress and perspective in solution-processed interfacial materials for efficient and stable polymer and organometal perovskite solar cells. Energy Environ. Sci. 2015, 8, 1160–1189. [Google Scholar] [CrossRef]
- Zhou, Y.; Fuentes-Hernandez, C.; Shim, J.; Meyer, J.; Giordano, A.J.; Li, H.; Winget, P.; Papadopoulos, T.; Cheun, H.; Kim, J.; et al. A universal method to produce low–work function electrodes for organic electronics. Science 2012, 336, 327–332. [Google Scholar] [CrossRef] [PubMed]
- Courtright, B.A.E.; Jenekhe, S.A. Polyethylenimine interfacial layers in inverted organic photovoltaic devices: Effects of ethoxylation and molecular weight on efficiency and temporal stability. ACS Appl. Mater. Interfaces 2015, 7, 26167–26175. [Google Scholar] [CrossRef]
- Kim, H.H.; Park, S.; Yi, Y.; Son, D.I.; Park, C.; Hwang, D.K.; Choi, W.K. Inverted quantum dot light emitting diodes using polyethylenimine ethoxylated modified zno. Sci. Rep. 2015, 5, 8968. [Google Scholar] [CrossRef]
- Lee, J.-H.; Jeong, S.Y.; Kim, G.; Park, B.; Kim, J.; Kee, S.; Kim, B.; Lee, K. Reinforcing the built-in field for efficient charge collection in polymer solar cells. Adv. Funct. Mater. 2018, 28, 1705079. [Google Scholar] [CrossRef]
- Rasool, S.; Khan, N.; Jahankhan, M.; Kim, D.H.; Ho, T.T.; Do, L.T.; Song, C.E.; Lee, H.K.; Lee, S.K.; Lee, J.-C. Amine-based interfacial engineering in solutionprocessed organic and perovskite solar cells. ACS Appl. Mater. Interfaces 2019, 11, 16785–16794. [Google Scholar] [CrossRef]







| θwater (°) | θDIM (°) | γpolar (mN m−1) | γdispersive (mN m−1) | γtotal (mN m−1) | |
|---|---|---|---|---|---|
| ZnO a | 40.45 | 26.91 | 26.19 | 45.58 | 71.77 |
| ZnO/BPTI-C3NH2 a | 54.65 | 24.67 | 19.11 | 46.37 | 65.48 |
| ZnO/BPTI-C3NH3I a | 60.60 | 26.95 | 16.36 | 45.57 | 61.93 |
| ZnO/BPTI-C3DMA a | 46.76 | 20.74 | 22.71 | 47.61 | 70.32 |
| ZnO b | - | - | 20.87 | 45.45 | 66.32 |
| ZnO/BPTI-C3NH2 b | - | - | 12.95 | 46.27 | 59.22 |
| ZnO/BPTI-C3NH3I b | - | - | 10.19 | 45.43 | 55.62 |
| ZnO/BPTI-C3DMA b | - | - | 16.65 | 47.56 | 64.21 |
| Sample | Solvent Annealing (SA) | JSC (mA cm–2) | VOC (V) | FF (%) | PCE (%) | PCEBest (%) |
|---|---|---|---|---|---|---|
| Active layer:/PTB7-Th:PC71BM | ||||||
| Without IFL | − | 0.82 ± 0.01 | 17.3 ± 0.39 | 63.7 ± 2.0 | 9.1 ± 0.13 | 9.3 |
| BPTI−C3NH2 | Without | 0.82 ± 0.01 | 16.81 ± 0.31 | 67.1 ± 1.20 | 9.3 ± 0.13 | 9.4 |
| CF | 0.82 ± 0.01 | 17.1 ± 0.31 | 67.9 ± 3.47 | 9.6 ± 0.31 | 9.9 | |
| BPTI−C3NH3I | Without | 0.81 ± 0.01 | 16.7 ± 0.18 | 68.4 ± 2.42 | 9.3 ± 0.48 | 9.4 |
| CF | 0.82 ± 0.01 | 17.1 ± 0.31 | 70.5 ± 1.20 | 9.9 ± 0.11 | 10.0 | |
| MeOH | 0.82 ± 0.01 | 17.5 ± 0.84 | 70.6 ± 0.75 | 10.2 ± 0.53 | 10.8 | |
| BPTI−C3DMA | Without | 0.81 ± 0.01 | 16.61 ± 0.31 | 68.1 ± 1.20 | 9.1 ± 0.11 | 9.2 |
| CF | 0.81 ± 0.01 | 17.2 ± 0.47 | 67.4 ± 0.66 | 9.3 ± 0.26 | 9.6 | |
| Active layer: PM6:Y6:PC71BM | ||||||
| Without IFL | − | 0.88 ± 0.01 | 24.9 ± 0.39 | 71.8 ± 1.9 | 15.6 ± 0.25 | 15.8 |
| BPTI−C3NH3I | MeOH | 0.88 ± 0.01 | 25.6 ± 0.70 | 73.3 ± 1.7 | 16.5 ± 0.18 | 16.8 |
| ECut off (eV) | Φh (eV) | WF (eV) | HOMO (eV) | |
|---|---|---|---|---|
| ZnO | 17.68 | 3.66 | 3.54 | 7.20 |
| ZnO/BPTI-C3NH2 | 17.72 | 3.71 | 3.50 | 7.21 |
| ZnO/BPTI-C3NH3I | 17.73 | 3.75 | 3.49 | 7.24 |
| ZnO/BPTI-C3DMA | 17.69 | 3.64 | 3.53 | 7.17 |
Publisher’s Note: MDPI stays neutral with regard to jurisdictional claims in published maps and institutional affiliations. |
© 2022 by the authors. Licensee MDPI, Basel, Switzerland. This article is an open access article distributed under the terms and conditions of the Creative Commons Attribution (CC BY) license (https://creativecommons.org/licenses/by/4.0/).
Share and Cite
Yu, Y.-Y.; Chen, H.-C.; Shih, K.-Y.; Peng, Y.-C.; Jiang, B.-H.; Liu, C.-I.; Hsu, M.-W.; Kuo, C.-C.; Chen, C.-P. Improving the Performance of Polymer Solar Cells with Benzo[ghi]perylenetriimide-Based Small-Molecules as Interfacial Layers. Polymers 2022, 14, 4466. https://doi.org/10.3390/polym14204466
Yu Y-Y, Chen H-C, Shih K-Y, Peng Y-C, Jiang B-H, Liu C-I, Hsu M-W, Kuo C-C, Chen C-P. Improving the Performance of Polymer Solar Cells with Benzo[ghi]perylenetriimide-Based Small-Molecules as Interfacial Layers. Polymers. 2022; 14(20):4466. https://doi.org/10.3390/polym14204466
Chicago/Turabian StyleYu, Yang-Yen, Hung-Cheng Chen, Kai-Yu Shih, Yan-Cheng Peng, Bing-Huang Jiang, Chao-I Liu, Ming-Wei Hsu, Chi-Ching Kuo, and Chih-Ping Chen. 2022. "Improving the Performance of Polymer Solar Cells with Benzo[ghi]perylenetriimide-Based Small-Molecules as Interfacial Layers" Polymers 14, no. 20: 4466. https://doi.org/10.3390/polym14204466
APA StyleYu, Y.-Y., Chen, H.-C., Shih, K.-Y., Peng, Y.-C., Jiang, B.-H., Liu, C.-I., Hsu, M.-W., Kuo, C.-C., & Chen, C.-P. (2022). Improving the Performance of Polymer Solar Cells with Benzo[ghi]perylenetriimide-Based Small-Molecules as Interfacial Layers. Polymers, 14(20), 4466. https://doi.org/10.3390/polym14204466

