Abstract
A series of bis(phenoxy-imine) (FI) titanium(IV) and zirconium(IV) complexes have been synthesized. The effect of the nature of the activator (MAO, combinations EtnAlCl3-n + Bu2Mg and iBu3Al + [Ph3C]+[B(C6F5)4]−) on the catalytic activity and properties of the resulting polymers was studied. It was found that Ti-Fi complexes, despite the nature of the outgoing ligands (Cl or iPrO) in the presence of Al/Mg activators, effectively catalyze the polymerization of ethylene (with the formation of UHMWPE); copolymerization of ethylene with 1-octene (with the formation of ultra-high molecular weight copolymers); and the ternary copolymerization of ethylene, propylene and 5-vinyl-2-norbornene (with the formation of polyolefin elastomers). It has been shown that Zr-FI complexes are not activated by these Al/Mg compositions. The resulting UHMWPE can be processed by a solventless method into high-strength and high-modulus oriented films; however, their mechanical characteristics do not exceed those obtained using MAO.
1. Introduction
Phenoxyimine complexes of Group 4 metals (FI-catalysts) are obviously the most well-studied class of post-metallocene catalysts for olefin polymerization, comparable in productivity to the most “successful” metallocenes [1,2,3,4]. Catalytic systems based on FI complexes effectively catalyze the polymerization of all basic olefin monomers as well as the processes of their copolymerization, with high activity and unprecedented selectivity. Currently, technologies for the industrial production of polymer materials using FI catalysts have been developed [5]. It is important that these catalytic systems are capable of producing ultra-high molecular weight polyethylene including polymers with a low degree of entanglement of macromolecules, which opens up opportunities for their processing by the solventless solid-phase method into high-strength high-modulus materials [6,7,8,9,10].
It is postulated that during the activation neutral FI complexes are transformed into coordinatively unsaturated, highly electrophilic monoalkyl cationic complexes, which mediate olefin polymerizations via a coordination-insertion mechanism. Changing activation methods is one of the main ways to control the properties of the resulting polymers (the molecular weight, molecular weight distribution, degree of entanglement, content and distribution of comonomer units in the polymer chain). The authors of [11], comparing the effect of various alkylalumoxanes (MAO, polymethylaluminoxane-improved performance (PMAO), modified methylaluminoxane type 12 (MMAO12) and type 3A (MMAO3A)) on solid-state processability (uniaxial solid-state deformation) of UHMWPE samples, came to the conclusion that the best mechanical characteristics are achieved when using MMAO-12.
Alkylaluminoxane derivatives are traditional activators for FI catalysts. However, the use of expensive MAO derivatives in significant excess (as a minimum, 500–1000 eq. per mole of transition metal) has been a critical concern in commercial operation. Therefore, in recent years, significant efforts of researchers have been directed to the development of new types of activators. In particular, attempts have been made (generally not very successful) to use traditional trialkylaluminum and alkylaluminum chlorides for FI catalysts activation [12,13,14,15]. Many efforts have been made to replace MAO with non-coordinating anions (e.g., [B(C6F5)4]−); however, their cost is also very high. When FI catalysts are activated by iBu3Al and Ph3CB(C6F5)4, the imine moiety is reduced to an amine by iBu3Al (or contaminant iBu2AlH) accompanied by isobutene formation (FI catalysts and iBu3Al are mixed for 10 min before polymerization) [16,17], resulting in phenoxy–amine complexes. The reduced species exhibited a number of interesting polymerization characteristics owing to their unusual N donors, iBu2Al–N, which will be bulkier and weaker as a coordinating donor than the imine-N [18]. Zirconium(IV)dichloride complexes having two phenoxy−imine chelate ligands polymerized ethylene with activity up to 550 kg/mmol of cat·h using MAO as a cocatalyst; PE have a viscosity average molecular weight (Mv) value of 0.9 × 104. The same pre-catalysts, activated with Ph3CB(C6F5)4/i-Bu3Al, produce extremely high molecular weight polyethylene, Mv 5.05⸱106 while the activity remained quite high 11 kg/mmol of cat·h [19].
Some progress has been made in the development of activators containing neither alumoxanes nor perfluorophenylborates. MgCl2/AlRn(OEt)3-n or MgCl2/AlRnCl(OEt)2-n,, obtained by reaction of AlR3 or Et2AlCl with adducts of MgCl2 and ethanol, have been shown to be effective for the immobilization and activation of metallocenes and FI catalysts without the use of methylaluminoxane or a borate activator [1]. Ti-, Zr-, and V-based FI catalysts combined MgCl2/R’nAl(OR)3-n formed highly active supported single-site catalysts demonstrated superior catalytic properties, compared to the corresponding homogeneous methylaluminoxane-(Ti and Zr-FI catalysts) or alkylaluminum-activation systems (V-FI catalysts) [20].
In our early works, we demonstrated the possibility of using mixtures of alkylaluminium chlorides with dibutylmagnesium for the activation of phenoxy-imine pre-catalysts [21,22]. In such catalytic systems, MgCl2 is formed in situ [23,24], however, in much smaller amounts. The optimal molar ratio Ti/Al/Mg is 1/100/300.
In the vast majority of cases, phenoxy-imine pre-catalysts are dichloride complexes of Group 4 metals, and the role of the “leaving” σ-ligand other than chlorine or hydrocarbyl has been little studied. In one of the few works [25], it was shown that the Zr-amido complex FI2Zr(NMe2) activated with Me3Al/Ph3C+B(C6F5)4− in the copolymerization of ethylene and octene-1 surpasses the benzyl and chloride analogs in terms of activity and degree of inclusion of the comonomer.
Titanium dialkoxide phenoxy-imine complexes, according to the literature data, exhibit moderate activity in the presence of alkylalumoxanes [26,27,28]; however, it is inferior to dichloride complexes by orders of magnitude. One of the goals of this work is to study the catalytic activity of alkoxide analogs of dichloride phenoxy-imine complexes activated with MAO, mixtures {EtnAlCl3-n + Bu2Mg} and perfluorophenylborates.
The main aim of present work is to compare catalytic performance of Ti(IV) and Zr(IV) phenoxy- imine complexes in the ethylene polymerization and its copolymerization with 1-octene and ternary copolymerization of ethylene/propylene/5-vinyl-2-norbornene as well as the properties of the resulting polymers, depending on the nature of the activator (MMAO-12, combinations EtnAlCl3-n+Bu2Mg and iBu3Al + [Ph3C]+[B(C6F5)4]).
2. Experiments
All manipulations with air-sensitive materials were performed using standard Schlenk techniques. Argon and ethylene of special-purity grade (Linde gas) were dried by purging through a Super Clean™ Gas Filters.
Toluene was distilled over Na/benzophenone ketyl. Diethylaluminum chloride, ethylaluminum sesquichloride, triisobutylaluminum and di-n-butylmagnesium (Aldrich) were used as 1.0 M solution in heptane. Trimethylaluminum (Aldrich) was used as 2.0 M solution in hexanes. Methylaluminoxane (Sigma-Aldrich) was used as 10 wt% solutions in toluene. The preparation of the ligands L1 and L2 followed the procedure described in [29,30]; their properties corresponded to literature data.
NMR spectra were recorded on Bruker AMX-400 instrument. Elemental analysis (C, H, Cl) was performed by the microanalytical laboratory at A. N. Nesmeyanov Institute of Organoelement Compounds on Carlo Erba-1106 and Carlo Erba-1108 instruments. The contents of Ti were performed by X-ray fluorescence analysis on the VRA-30 device (Karl Zeiss, Germany).
2.1. Bis[N-(3,5-di-tert-butylsalicylidene)-anilinato]titanium(IV) Dichloride, (L1)2TiCl2
In a 50 mL flame-dried Schlenk flask, ligand L1 (0.309 g, 0.10 mmol) was dissolved in anhydrous toluene (10 mL). A solution of TiCl2(OiPr)2 (0.117 g, 0.05 mmol) in toluene (10 mL) was added to the resulting solution under stirring in an argon atmosphere. The solution was stirred for 14 h at room temperature, the resulting red precipitate was filtered off, washed with hexane (5 mL) and dried in vacuum. The yield of the complex was 0.52 g (71%). Calculated (%) for C42H52Cl2N2O2Ti (734.29): C, 68.57; H, 7.12; N, 3.81; Cl, 9.64; Ti 6.51. Found (%): C, 68.53; H, 7.09; N, 3.77; Cl 9.58; Ti, 6.46. 1 H NMR (toluene-d8), δ (ppm): 1.38 (s, 18H, t-Bu), 1.68 (s, 18H, t-Bu), 7.15–6.95 (m, 12H, Ar), 7.64 (s, 2H, Ar), 8.12 (s, 2H, N=CH). 13C (toluene-d8), δ (ppm): 19.46, 19.65, 19.85, 25.86, 29.52, 29.63, 29.93, 31.22, 31.27, 33.81, 39.06, 78.17, 123.13, 124.50, 124.74, 127.34, 127.57, 127.58, 127.81, 127.82, 128.00, 129.51, 137.10, 167.70. IR, ν, cm–1: 1642 (C=N); 529 (Ti—O); 447 (Ti—N).
Obtained by a similar method:
2.2. Bis[N-(3,5-di-tert-butylsalicylidene)-(2,3,5,6-tetrafluoroanilinato)]titanium(IV) Dichloride, (L2)2TiCl2
The yield—0.75 g (85%). Calculated (%) for C42H44Cl2F8N2O2Ti (878.21): C, 57.35; H, 5.04; N, 3.18; Cl 8.06; F 17.28; Ti, 5.44. Found (%): C, 57.28; H, 4.98; N, 3.15; Cl 8.01; Ti, 5.39. 1 H NMR (CDCl3), δ (ppm): 1.33 (s, 9H, t-Bu), 1.48 (s, 9H, t-Bu), 6.92 (tt, 3JHF = 10 Hz, 4JHF = 7 Hz, 1H, p-C6F4), 7.22 (d, 4JHH = 2.3 Hz, 1H, Ar), 7.55 (s, 1H, Ar), 8.83 (s, 1H, N=CH), 12.82 (s, 1 H). 13C (CDCl3), δ (ppm): 29.27, 29.39, 39.29, 31.39, 34.22, 35.18, 101.91, 102.14, 102.36, 117.85, 127.65, 129.98, 137.58, 141.12, 158,89, 171,68. IR, ν, cm–1: 1610 (C=N); 520 (Ti—O); 450 (Ti—N).
2.3. Bis[N-(3,5-di-tert-butylsalicylidene)-anilinato]zirconium(IV) Dichloride (L1)2ZrCl2
The yield of the complex was 0.37 g (45%). The single crystal for X-rays was obtained by recrystallization of the resulting crystalline powder in a 3 mL hexane. Calculated (%) for C42H52Cl2N2O2Zr (776.24): C, 64.76; H, 6.73; N, 3.60; Cl, 9.10; Zr, 11.71. Found (%): C, 64.72; H, 6.67; N, 3.55; Cl 9.02; Ti, 5.39. 1H NMR (toluene-d8), δ (ppm): 1.36 (s, 18H, t-Bu), 1.67 (s, 18H, t-Bu), 7.07–6.74 (m, 12H, Ar), 7.62 (s, 2H, N=CH). 13C NMR (101 MHz, toluene-d8) δ 169.61, 161.02, 153.10, 138.79, 138.08, 130.02, 129.05, 128.24, 128.04, 127.80, 127.56, 125.45, 123.37, 123.12, 121.96, 71.81, 70.54, 35.30, 33.88, 31.45, 29.84, 29.57, 27.34, 22.80, 14.11.
2.4. Bis[N-(3,5-di-tert-butylsalicylidene)-(2,3,5,6-tetrafluoroanilinato)] Zirconium (IV) Dichloride, (L2)2ZrCl2
The yield of the complex was 0.45 g (54%). Calculated (%) for C42H44Cl2F8N2O2Zr (920.17): C, 54.66; H, 4.81; N, 3.04; Cl, 7.68; F, 16.47; Zr, 9.88. Found (%): C, 54.62; H, 4.76; N, 2.98; Cl, 7.64; Zr, 9.85. 1 H NMR (400 MHz, toluene-d8), δ (ppm): δ 1.30 (s, 9H), 1.60 (s, 9H), 6.14 (s, 1H), 7.01 (d, J = 2.5 Hz, 2H), 7.65 (s, 1H). 13C NMR (101 MHz, toluene-d8), δ, (ppm) 171.79, 159.34, 140.97, 137.76, 129.99, 118.18, 101.70, 35.23, 34.02, 31.24, 31.11, 29.39.
2.5. Bis[N-(3,5-di-tert-butylsalicylidene)-anilinato]titanium(IV) Diisopropoxide, (L1)2Ti(OiPr)2
In a 50 mL flame-dried Schlenk flask, ligand L1 (0. 309 g, 0.10 mmol) was dissolved in anhydrous toluene (10 mL). A solution of Ti(OiPr)4 (0.142 g, 0.05 mmol) in toluene (10 mL) was added to the resulting solution under stirring in an argon atmosphere. The solution was stirred for 14 h at room temperature, the resulting orange solution was evaporated to dryness, the residue was recrystallized from hexane. The precipitated complex was filtered off, washed with hexane (5 mL) and dried in a vacuum. The yield of the complex was 0.63 g (68%). The single crystal for X-rays was obtained by recrystallization of the resulting crystalline powder in a mixture 5 mL hexane and 1 mL toluene. Calculated (%) for C48H66N2O4Ti (782.45): C, 73.64; H, 8.50; N, 3.58; Ti, 6.11. Found (%): C, 73,61; H, 8,45; N, 3,52; Ti, 6,06. 1H NMR (400 MHz, CDCl3) δ (ppm); 1.31 (s, 9H, t-Bu), 1.37 (s, 9H, t-Bu), 1.54 (s, 12H, CH3), 4.05 (1H, CH), 4.76 (1H, CH), 7.45–7.02 (m, 12H, Ar), 8.68 (s, 2H, N=CH). 13C NMR (101 MHz, CDCl3), δ (ppm): 168.26, 167.48, 166.31, 163.84, 162.02, 160.62, 158.27, 155.21, 154.45, 153.87, 148.75, 140.57, 140.02, 138.70, 138.21, 138.02, 137.89, 137.43, 136.99, 129.92, 129.44, 129.41, 129.35, 129.06, 128.42, 128.35, 128.25, 128.11, 128.03, 127.90, 127.80, 127.63, 126.83, 126.55, 125.54, 125.32, 125.07, 125.01, 123.67, 123.13, 123.07, 121.62, 121.28, 121.20, 118.31, 35.30, 35.13, 35.08, 34.97, 34.21, 34.17, 34.04, 33.97, 31.54, 31.50, 31.47, 29.81, 29.56, 29.51, 29.47, 29.45, 26.57, 25.88, 24.76, 21.49. IR, ν, cm–1: 1595 (C=N); 512 (Ti—O).
Obtained by a similar method:
2.6. Bis[N-(3,5-di-tert-butylsalicylidene)-(2,3,5,6-tetrafluoroanilinato)]titanium(IV) Diisopropoxide, (L2)2Ti(OiPr)2
The yield of the complex was 0.65 g (71%). Calculated (%) for C48H58F8N2O4Ti (926.37): C, 62.20; H, 6.31; N, 3.02; F, 16.40; Ti, 5.16. Found (%): C, 62.13; H, 6.28; N, 2.96; Ti, 5.13. 1 H NMR (CDCl3), δ (ppm): 1.26 (s, 9H, t-Bu), 1.32 (s, 9H, t-Bu), 1.50 (s, 12H, CH3), 4.81 (2H, CH), 6.93 (tt, 3JHF = 10 Hz, 4JHF = 7 Hz, 1H, p-C6F4), 7.60 (s, 1H, Ar), 7.15 (s, 1H, Ar), 8.31 (s, 1H, N=CH). 13C NMR (CDCl3), δ (ppm): 172.81, 171.72, 162.15, 158.89, 141.11,140.07, 138.78, 137.56, 131.25, 131.19, 129.97, 128.74, 128.67, 120.89, 120.20, 117.84, 102.14, 101.94, 191.64, 76.22, 35.33, 35.18, 35.07, 34.22, 34.15, 31.33, 31.35, 31.24, 29.45, 29.38, 26.55, 25.79. IR, ν, cm–1: 1590 (C=N); 530 (Ti-O).
2.7. Bis[N-(3,5-di-tert-butylsalicylidene)-(2,3,5,6-tetrafluoroanilinato)]zirconium(IV) Diisopropoxide, (L1)2Zr(OiPr)2
The yield of the complex was 0.49 g (56%). The single crystal for X-rays was obtained by recrystallization of the resulting crystalline powder in a mixture 2 mL hexane and 1 mL toluene. Calculated (%) for C48H66N2O4Zr (824.41): C, 69.77; H, 8.05; N, 3.39; Zr, 11.04. Found (%): C, 69.72; H, 8.01; N, 3.35; Zr, 11.00. 1H NMR (400 MHz, C6D6), δ (ppm): 1.42 (s, 9H, t-Bu), 1.52 (s, 9H, t-Bu), 1.74 (s, 12H, CH3), 2.02 (m, 2H, CH), 6.91–7.70 (m, 12H, Ar), 7.88 (s, 2H, N=CH). 13C NMR (101 MHz, C6D6), δ (ppm): 169.61, 161.02, 153.10, 138.79, 138.08, 130.02, 129.05, 128.24, 128.04, 127.80, 127.56, 125.45, 123.37, 123.12, 121.96, 71.81, 70.54, 35.30, 33.88, 31.45, 29.84, 29.57, 27.34.
2.8. Bis[N-(3,5-di-tert-butylsalicylidene)-(2,3,5,6-tetrafluoroanilinato)] Zirconium (IV) Diisopropoxide, (L2)2Zr(OiPr)2
The yield of the complex was 0.36 g (38%). The single crystal for X-rays was obtained by recrystallization of the resulting crystalline powder in 2 mL hexane. Calculated (%) for C48H58F8N2O4Zr (968.33): C, 59.42; H, 6.03; N, 2.89; F, 15.67; Zr, 9.40. Found (%): C, 59.35; H, 5.93; N, 2.82; Zr, 9.38. IR, ν, cm–1: 1610 (C=N); 540 (Ti—O). 1H NMR (400 MHz, toluene-d8), δ, (ppm): 1.22 (s, 3H), 1.24 (s, 3H), 1.31 (s, 3H), 1.32 (s, 3H), 1.36 (s, 18H), 1.48 (s, 18H), 4.58 (s, 2H), 6.10 (s, 2H), 6.91 (s, 2H), 7.57 (s, 2H), 7.62 (s, 2H). 13C NMR (101 MHz, toluene-d8), δ (ppm): 175.18, 161.97, 139.20, 131.90, 129.58, 121.44, 101.83, 72.53, 35.29, 33.95, 31.16, 29.49, 26.99.
2.9. X-ray Crystal Structure Determination
X-ray diffraction data for (L1)2Ti(OiPr)2, (L1)2Zr(OiPr)2, (L2)2Zr(OiPr)2, and (L1)2Zr(Cl)2 were collected at 100 K with a Bruker D8 Quest CMOS diffractometer using the graphite monochromated Mo-Kα radiation (λ = 0.71073 Å, ω-scans). Using Olex2 [31], the structures were solved with the ShelXT [32] structure solution program using Intrinsic Phasing and refined with the XL refinement package [33] using Least Squares minimization against F2 in anisotropic approximation for non-hydrogen atoms. Hydrogen atoms were calculated and refined in the isotropic approximation within the riding model. Crystal data and structure refinement parameters are given in Table S1. CCDC 2189402–2189405 contain the supplementary crystallographic data for of (L1)2Ti(OiPr)2, (L1)2Zr(OiPr)2, (L2)2Zr(OiPr)2, and (L1)2Zr(Cl)2, respectively.
2.10. Polymerization Experiments
2.10.1. Polymerization with MAO or {EtnAlCl3-n + Bu2Mg}
The ethylene polymerization was performed in a 450-mL reactor (Parr Instrument Co., Moline, IL, USA) equipped with a magnetic stirrer and inlets for loading components of catalytic systems and ethylene at a total ethylene and toluene vapors pressure of 1.7 atm. The ethylene polymerization technique is described in detail in [34].
2.10.2. Polymerization with (iBu)3Al/CPh3+B(C6F5)4−
Ninety mL of anhydrous toluene was introduced at room temperature into the pre-prepared reactor. In a Schlenk tube, a solution of pre-catalyst (5 · 10−6 M) in 5 mL of anhydrous toluene and a 1M solution of iBu3Al (0.04 mL) were mixed and stirred for 30 min at room temperature. Then, a solution of Ph3CB(C6F5)4 (9.23 mg, 1 · 10−5 M) in toluene (5 mL) was added and stirred for 1 min, and the resulting mixture was added into the reactor to initiate polymerization. All other manipulations were carried out by analogy with the procedure described in previous section.
2.10.3. Copolymerization of Ethylene and 1-Octene
One hundred mL of toluene and ten mL of 1-octene were introduced at room temperature into the pre-prepared reactor under stirring; the mixture was saturated with ethylene; next, a required amount of a cocatalyst {1.5Et3Al2Cl3 + Bu2Mg}—was introduced; the resulting mixture was stirred for 5 min. Polymerization was initiated by adding a precatalyst solution in 1 mL of toluene to the reaction mixture. All other manipulations were carried out by analogy with the procedure described in section “Polymerization with MAO or {EtnAlCl3-n + Bu2Mg}”.
Copolymerization of ethylene, propylene, and 5-vinyl-2-norbornene is described in detail in [34].
2.11. Polymer Evaluation Methods
DSC was performed by a differential scanning calorimeter DSC-822e (Mettler-Toledo, Switzerland) at a heating rate 10 °C/min in air or in argon. The heating cycle was performed twice.
Viscosity-average molecular weight of synthesized UHMWPE samples was calculated with the Mark-Houwink equation [35].
The mechanical characteristics of the oriented materials prepared from the synthesized polymers were evaluated using the oriented tapes obtained by a solid-state processing of UHMWPE nascent reactor powders. The monolithic tapes uniform over the entire length (100 mm in thickness and 10 mm in width) were formed at a pressure and shear deformation below the polymer melting point (124–126 °C). The tapes were subjected to uniaxial drawing while using a Spinline Daca equipment. The drawing temperature was set 4 °C below the polymer melting point. The mechanical characteristics of the tapes were measured with a Hounsfield H1KS machine at the gauge length of the tested samples 120 mm with 2 mm/min initial deformation rate. The reported values were the average of at least 8 samples.
Particle size analysis of UHMWPE nascent reactor powders was carried out with laser diffraction particle size analyzer Mastersizer 3000 (Malvern Instruments, Malvern, UK). The sample dispersion in acetone was prepared in the Hydro EV device at room temperature and 1100 rpm.
Scanning electron microscopy investigations of morphologies of nascent reactor powders were carried out with a high-resolution Tescan VEGA3 SEM operated at 5 kV. As-polymerized particles were carefully deposited on SEM stubs, and the samples were coated with gold by a sputtering technique. GPC analysis of the polymer samples was carried out with a Waters GPCV-2000 chromatograph equipped with two columns (PL-gel, 5 m J Mixed-C, 300 °C 7.5 mm) and a refractometer.
3. Results and Discussion
Phenoxyimine ligands L1 and L2 containing bulky tert-butyl groups in the ortho- and para-positions to the phenolic hydroxyl were used as objects of study in this work. These substituents protect the metal center, stabilize the catalytically active sites, and ensure good solubility of the complex. The imine fragment is represented by the residue of aniline and 2,3,5,6-tetrafluoroaniline. The latter will allow us to find out whether the “fluorine effect”-obtaining a polymer with a monomodal distribution under conditions of “living” polymerization-manifests itself when MAO is replaced by binary Al/Mg activators.
The ligands L1 and L2 were obtained by acid-catalyzed condensation of 3,5-di-tert-butylsalicylic aldehyde with the corresponding anilines (Scheme 1), their properties correspond to the literature data [29,30], and the spectra are given in Supplementary Information (Figures S1–S14).
Scheme 1.
Synthetic procedures for Ti(IV) and Zr(IV) phenoxy-imine complexes.
Titanium (IV) dichloride complexes were obtained by interaction of ligands with TiCl2(OiPr)2 in anhydrous toluene. Zirconium (IV) dichloride complexes were synthesized by the reaction of ZrCl4 with two equivalents of sodium salt of the corresponding phenoxy-imine ligands.
The desired alkoxide complexes were obtained by the interaction of ligands with titanium or zirconium tetraisopropoxides in anhydrous toluene by elimination of isopropyl alcohol.
The composition and structure of the synthesized complexes were confirmed by elemental analysis, IR and NMR spectroscopy. In the IR spectra of the complexes, there are no absorption bands of hydroxyl groups, which indicates the formation of a Ti-O bond. The intense peak around 575 cm−1 can be attributed to the stretching vibrations of the Ti bond with the oxygen atoms of the ligand [36]. The downfield shift of the ν(C=N) band compared to the ligand as well as the appearance of a new band in the 470–488 cm−1 region indicate the formation of the Ti-N coordination bond [37].
In the 1H NMR spectra of the complexes, the signals of hydroxyl groups also disappear. The proton signals of the imine fragment (CH=N) are shifted downfield by 0.3–1.1 ppm, which also confirms the complex formation. In the spectra of dialkoxide complexes, in addition to the signals of the ligand protons, there appears a set of signals assigned to the protons of the iso-propoxy groups.
Thermal gravimetric analysis (TGA) was undertaken on complex (L2)2TiCl2 and corresponding ligand (Figure 1). The results indicate a significant thermal stability of the complex at least up to a temperature of 100 °C. It is of interest to note that ligand L2 is thermally less stable as compared to complex (L2)2TiCl2.
Figure 1.
Thermogravimetry curve of ligand L2 and complex (L2)2TiCl2.
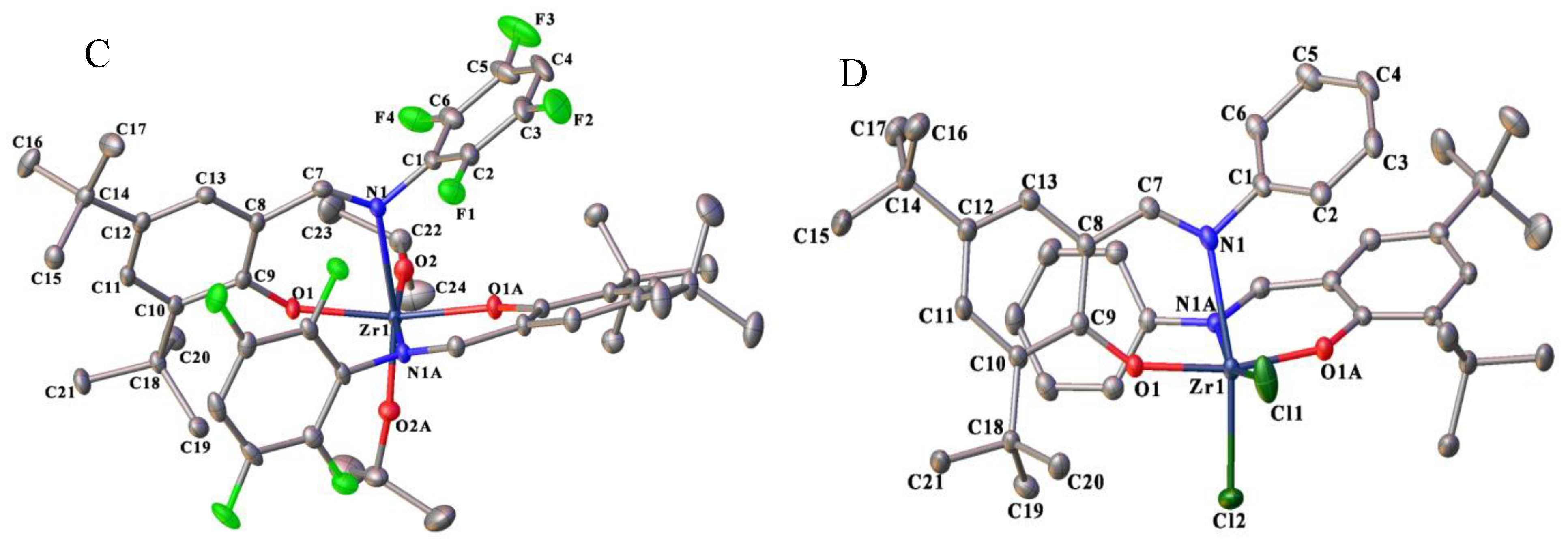
For the complexes (L1)2Ti(OiPr)2 (A), (L1)2Zr(OiPr)2 (B), (L2)2Zr(OiPr)2 (C), and (L1)2Zr(Cl)2 (D), we managed to grow single crystals suitable for X-ray diffraction studies; the results are shown in Figure 2. According to X-ray diffraction data, all isopropoxide complexes (L1)2Ti(OiPr)2, (L1)2Zr(OiPr)2, and (L2)2Zr(OiPr)2 have similar structure and contain two ligand molecules and two isopropoxide groups. Metal atoms in these complexes have a distorted octahedral environment by the four O atoms and two N atoms of ligands. The oxygen atoms of two phenoxy imine ligands are situated in the trans-position and two oxygen atoms of isopropoxide group are in the cis-position. Dichloride complex (L2)2ZrCl2 also has octahedral structure with similar orientation of phenoxy imine ligands. Selected bond and angles are presented in Table S2.

Figure 2.
ORTEP representation of the molecular structure of complexes (L1)2Ti(OiPr)2 (A), (L1)2Zr(OiPr)2 (B), (L2)2Zr(OiPr)2 (C), (L1)2ZrCl2 (D) and with thermal ellipsoids drawn at the 30% probability level.
The catalytic activity of phenoxyimine complexes of titanium and zirconium was studied in ethylene polymerization. The complexes were activated using MMAO-12 (modified methylalumoxane), tetrakis-perfluorophenyl borate in combination with i-Bu3Al, and mixtures of Et2AlCl or Et3Al2Cl3 with di-n-butylmagnesium in a molar ratio of Al/Mg = 3:1. The most interesting results are shown in Table 1. Comparative characteristics of the effectiveness of various activators are shown in Figure 3.
Table 1.
Ethylene Polymerization by Ti(IV) and Zr(IV) phenoxy-imine complexes a.
Figure 3.
Dependence of the activity of the catalyst systems in ethylene polymerization on the catalyst system composition.
MAO, a traditional co-catalyst for FI complexes, quite effectively activates titanium and zirconium dichloride complexes (experiments 5,13, 14, 21, 25, Table 1). The zirconium complex with a non-fluorinated ligand-(L1)2ZrCl2 showed the highest activity (3200 kg of PE⸱mol−1 h−1 atm−1). Polymers obtained using MAO are characterized by the maximum values of molecular weights in this series-4–6 · 106 Da. Using the (L2)2TiCl2 complex as an example, the effect of the AlMAO/Ti ratio on the productivity of the catalytic system and the properties of the formed polymer was studied. It was found that with an increase in this ratio from 1:500 to 1:1000, the productivity slightly decreases, and the molecular weight of the polymer increases from 4.1 to 4.6 × 106 (experiments 13–14). This observation is consistent with the data [38], the authors of which believe that an increase in Al/Ti ratio leads to not only an increase in the number of active centers but also increases in the polarity of the medium, which leads to better ion separation and stabilization of the ion-pair. We also do not rule out that an increase in the Al/Ti ratio promotes the reduction of Ti(IV) to Ti(III).
The Ti and Zr alkoxide complexes in the presence of MAO either showed no activity at all, or it was very insignificant.
The cocatalyst (iBu)3Al/CPh3+B(C6F5)4− turned out to be ineffective on the whole. Only for the complex (L1)2ZrCl2, an activity of 900 kg of PE⸱mol−1 h−1 atm−1 was recorded (the polymer has a molecular weight of about 5 million Da.
Al/Mg activators of the composition {EtnAlCl3-n + Bu2Mg} with titanium phenoxy-imine complexes form highly active catalytic systems, often superior in productivity to systems with MAO. It is important that these cocatalysts effectively activate alkoxide titanium complexes. The productivity of such catalytic systems often is comparable to dichloride analogues.
For the (L1)2TiCl2/Et2AlCl+Bu2Mg catalytic system, the influence of the polymerization temperature on the activity and on the molecular weights of the resulting polyethylene was studied (Figure 4). It has been established that this catalytic system exhibits a sufficiently high thermal stability: with an increase in the polymerization temperature from 30 to 50 °C, the activity increases by more than 1.5 times. However, a further increase in temperature to 80 °C leads to its deactivation. With an increase in the synthesis temperature, the processes of polymer chain termination are accelerated, which is reflected in a significant decrease in the molecular weights of the polymer. Thus, the process temperature allows you to control the molecular weight of the resulting polymers.
Figure 4.
Dependence of the activity of the catalyst systems and molecular weight of PE on the polymerization temperature.
However, the Al/Mg cocatalysts are unable to activate zirconium phenoxy-imine complexes. We assume that the ability of {EtnAlCl3-n + Bu2Mg} mixtures to effectively activate titanium dichloride and dialkoxide complexes is associated with the reduction of Ti(IV) to Ti(III). Based on this assumption, the inertness of zirconium complexes with the same Al/Mg cocatalysts can be explained by significant differences in the values of the electrochemical potentials of titanium and zirconium. For example, for metallocenes Cp2MCl2: −E1\2 = 1.4 (Ti), 1.6–2.3 (Zr) and 2.7 (Hf) [39,40,41] and for titanium and zirconium complexes with an oxopyran ligand: −E1\2 = 0.48 (Ti), 1.3 (Zr) [42]. However, in the available literature, we were unable to find arguments in favor of such a version; on the contrary, the reduction of a group 4 metal is considered as one of the deactivation pathways for phenoxyimine catalysts. In any case, this version needs additional experimental confirmation.
The processes of activation of Ti and Zr complexes, even with the same ligand environment, have their own specifics. For example, the paper [14] reports that Et2AlCl is capable of activating the FI pre-catalyst bis[N-(3-tert-butylsalicylidene)-2,3,4,5,6-pentafluoroanilinato]titanium(IV) dichloride, while Et3Al and i-Bu3Al did not show activating ability. For the zirconium precatalyst-[N-(3-tert-butylsalicylidene)anilinato]zirconium(IV) dichloride-the pattern is reversed: only the alkylaluminum with three linear alkyls can activate it (with productivity in some cases comparable to MAO; Al/Zr = 4000–20000), while Bu3Al or Et2AlCl do not have activating properties at all [12].
3.1. Morphology and Particle Size of UHMWPE Reactor Powders
Morphology, particle size and their uniformity, along with molecular weight and MWD, are important characteristics of UHMWPE nascent reactor powder which determine the possibility of its processing into high-modulus and high-strength oriented materials. To examine the morphologies of these powders, SEM technique was used (Figure 5 and Figure S15–S19). At low magnification, the polymer particles have the irregular shape and porous structure, which determines the low bulk density (0.04–0.09 g/cm3) of the obtained samples. For various grades of UHMWPE produced on an industrial scale, this parameter has significantly higher values. For example, a polymer GUR 2122 (Ticona, Germany) has a bulk density of 0.20–0.25 g/cm3 and this value is considered low [43]. At high magnification, the morphology of polymer powders obtained with catalytic systems containing MAO predominantly revealing a “wave-like” shape, which is usually a feature of relatively ductile material capable of large deformation [44]. On the contrary, polymer powders obtained with the use of Al/Mg activators are characterized by a broccoli-like morphology (Figure 5, bottom).
The method of the laser diffraction in a suspension of UHMWPE powders has been used to estimate particle size and uniformity. The size distributions were reported by the cumulative volume diameter at 10%, 50% and 90% (Figure 6). As can be seen from the results, the powders under study are characterized by a rather large particle size compared to commercially available UHMWPE samples. For example, polymer-grade GUR 2122 has the average particle size of 125 µm [45].
Figure 6.
Particle size distribution of UHMWPE powders obtained in the Runs 1, 4, 7, 8 (A), 11, 14, 17, 21 and 25 (B) (Table 1).
The smallest values of the average particle size (59–81 µm) are possessed by polymers obtained on titanium dialkoxide phenoxyimine complexes activated by {Et2AlCl + Bu2Mg}. It is obvious that the polymer particles, which have an irregular shape and porous structure, “caking” during storage, forming larger agglomerates. This is especially true for polymers obtained using MAO.
3.2. Mechanical Properties of Synthesized UHMWPE
The processing of UHMWPE reactor powders into high-modulus oriented films was carried out by preparing monolithic samples under pressure and shear deformation at temperatures lower than the main melting peak with subsequent uniaxial drawing [8]. The mechanical properties of oriented film tapes are given in Table 2 and Figure 7.
Table 2.
Mechanical properties of UHMWPE oriented film tapes a.
Some samples of UHMWPE reactor powders turned out to be unsuitable for the solid-phase processing. As can be seen from the presented data, oriented films from UHMWPE obtained on catalytic systems containing MAO are characterized by the best mechanical characteristics in this series. It is known that one of the important parameters of the UHMWPE reactor powders, which determine the high tensile strength of the disentangled tapes, are the high molar mass and narrow MWD [7]. Probably, the best mechanical characteristics of the samples obtained in experiments 3 and 4 (Table 1 and Table 2) are due to the ability of the FI/MAO systems to produce polymers with a narrow MWD. The authors [7], using the melt rheological method, showed that UHMWPE obtained on such systems is not monomodal (the classical method for determining MWD-GPC is unacceptable for UHMWPE). However, the use of Al/Mg activators leads to the formation of a set of inhomogeneous catalytically active sites, and, as a consequence, to an even more significant MWD broadening [46,47,48].
Oriented films from UHMWPE powders obtained using Al/Mg activators show fairly good mechanical characteristics (tensile strength up to 2.3 GPa; tensile modulus up to 147 GPa). For comparison, the modulus value for commercially available gel-spun UHMWPE fiber, produced by gel-spinning process, is 113 GPa [49]. In this series of UHMWPE samples, in general, the following trend is traced: the best mechanical characteristics were shown by polymers obtained on a polyfluorinated precatalyst (compare experiments 1 vs. 11 and 4 vs. 12). We believe that this is a manifestation of the “fluorine” effect-the ability of the fluorine atoms of the precatalyst to form weak agnostic interactions with the hydrogen atoms of the growing polymer chain [50,51,52], which prevents both β-hydrogen elimination and β-hydrogen transfer to the monomer, and in particular, contribute to the narrowing of the MWD.
After achieving good results with the polymerization of ethylene, we investigated the activity of titanium FI complexes in the presence of Al/Mg activators in the copolymerization of ethylene with octene-1 and ternary copolymerization ethylene/propylene/5-vinyl-2-norbornene. The obtained copolymers were characterized by DSC, GPC, 1H- and 13C-NMR. The results are summarized in Table 3 and Table 4.
Table 3.
Ethylene/1-Octene copolymerization a.
Table 4.
Ethylene/Propylene/5-ethylidene-norbornene copolymerization a.
Catalytic systems FI/EtnAlCl3-n + Bu2Mg produce high ultrahigh molecular weight ethylene/1-octene copolymers with productivity up to 2.7 tons mol(Ti)−1·h−1 atm−1. In contrast to the considered catalytic systems, FI/MAO do not produce ultrahigh molecular weight copolymers. For example, the authors [52] reported living polymerization of Ethylene/1-Octene with bis[N-(3-methylsalicylidene)-2,3,4,5,6-pentafluoroanilinato]TiCl2/dried MAO; comonomer content reached 32.7 mol% depending the 1-octene feeding ratio, but the Mw values did not exceed 4.9 × 105 Da.
The inclusion of the comonomer is in the range of 2.3–3.8 mol%. The MWD of copolymers is quite wide, which is typical for polymers obtained using Al/Mg activators; however, catalytic system (L1)2Ti(OiPr)2/Et3Al2Cl3+Bu2Mg produces a copolymer with the narrowest MWD-2.3. The same system is the best in terms of productivity and the degree of comonomer inclusion. In this series of experiments, no advantages of complexes with polyfluorinated ligands were revealed.
Such copolymers are of undoubted practical interest, since the introduction of small amounts of long-chain branches into the UHMWPE macromolecule can facilitate its processing. (UHMWPE is a perspective engineering polymer with a unique set of properties and applications. However, the high molecular weight and the presence of a large number of entanglements between chains cause a very high melt viscosity, which greatly complicates the processing of this polymer by conventional methods). For the synthesis of such E/O copolymers, various catalytic systems are used, for example, (F-salalen)TiCl2/MAO [53], hydrocarbyl Zr and Hf complexes supported by α-diimine ligands with the camphyl linker/[Ph3C][B(C6F5)4] [54].
Our systems are significantly superior to the mentioned analogs in terms of activity and are not inferior to them in terms of molecular weights and comonomer content.
Ethylene-propylene-diene terpolymers (EPDM) are one of the popular synthetic rubbers. The Ti-FI complexes in the presence of Et3Al2Cl2/Bu2Mg catalyzed the ternary copolymerization of ethylene, propylene, and 5-vinyl-2-norbornene (Table 4). Tercopolymers with a content of propylene units up to 58 mol% and 5-VBN up to 5 mol% were synthesized; however, the productivity of systems with FI complexes is significantly inferior to titanium complexes with 2-hydroxymethylphenol derivatives with the same Al/Mg activators [55].
The synthesized copolymers are characterized by relatively Mw weights (from 3.9 × 105 to 5.8 × 105 Da), broad molecular weight distributions and low degrees of crystallinity. It is interesting that the copolymers obtained on alkoxide complexes (entries 2 and 4, Table 4, Figures S37–S40) are characterized by a minimum MWD value.
4. Conclusions
A series of Ti(IV) and Zr(IV) dichloride and dialkoxide complexes with phenoxyimine ligands (including polyfluorinated ones) have been synthesized. The structure of the four coordination compounds was determined by X-ray diffraction.
The effects of the nature of the activator (MAO-12, (iBu)3Al/CPh3+B(C6F5)4− and combinations of alkylaluminum chlorides and dibutylmagnesium) on the productivity of catalytic systems in the polymerization of ethylene and its copolymerization with 1-octene and the ternary copolymerization of ethylene, propylene and 5-vinyl-2-norbornene, as well as on the properties of the resulting polymers were studied.
It is found that
- Al/Mg co-catalysts (mixtures of alkylaluminum chlorides with dibutylmagnesium) are effective activators of Ti(IV) phenoxy-imine complexes regardless of the nature of the σ-ligand (Cl or OiPr);
- The productivity of such systems, as a rule, exceeds similar systems containing MAO;
- MAO and (iBu)3Al/CPh3+B(C6F5)4− practically does not activate dialkoxide complexes of titanium and zirconium, while Al/Mg co-catalysts form quite active Ti-containing systems;
- Unfortunately, Al/Mg co-catalysts are not able to activate zirconium-containing systems;
- The UHMWPE nascent reactor powders, obtained on titanium phenoxyimine complexes, can be processed by the solventless solid-phase method into high-strength, high-modulus oriented films. It should be noted that the mechanical characteristics of oriented materials obtained using Al/Mg activators are still inferior to analogs obtained using MAO;
- Polymers obtained on zirconium-containing systems turned out to be unsuitable for solid-phase processing;
- (FI)2TiX2/EtnAlCl3-n + Bu2Mg catalytic systems produce ultra-high molecular weight ethylene-1-octene copolymers and ethylene/propylene/5-vinyl-2-norbornene terpolymers. Polymers obtained on dialkoxide complexes (X = O-iPr) are characterized by a narrow MWD (2–2.5), while for polymers obtained on dichloride complexes, this value is much higher (5.2–10.2).
Thus, the mixtures {EtnAlCln-3 + Bu2Mg} are quite a worthy replacement for expensive activators-alumoxanes and perfluorophenylborates. Work on optimizing the compositions of Al/Mg activators capable of activating not only titanium but also zirconium complexes are ongoing.
Supplementary Materials
The following supporting information can be downloaded at: https://www.mdpi.com/article/10.3390/polym14204397/s1, Figures S1–S14: 1H NMR and 13C NMR spectrums of complex; Figures S15–S19: SEM images of the surface morphology of UHMWPE powders; Figures S20–S30: DSC curves corresponding to UHMWPE; Figures S31–S36: 1H NMR and 13C NMR spectrum of tercopolymer; Figures S37–S40: GPC curves of ethylene copolymers; Table S1:Crystal data and structure refinement parameters for (L1)2Ti(OiPr)2, (L1)2Zr(OiPr)2, (L2)2Zr(OiPr)2, and (L1)2Zr(Cl)2; Table S2: Selected bond lengths (A) and angles (deg) for complexes (L1)2Ti(OiPr)2, (L1)2Zr(OiPr)2, (L2)2Zr(OiPr)2 and (L1)2Zr(Cl)2.
Author Contributions
S.C.G. Conceptualization; Data curation; Validation; Writing—review and editing. K.F.M.: Investigation. V.A.T.: Funding acquisition; Conceptualization; investigation; writing—original draft. V.S.B.: Methodology, investigation. D.A.K.: Methodology, investigation; validation. E.K.G.: Methodology, investigation, formal analysis. G.L.D.: Investigation; formal analysis; validation. G.G.N.: Investigation. M.D.E.: Investigation. D.S.: Investigation; formal analysis. M.I.B.: Investigation; formal analysis. P.B.D.: Investigation. V.I.P.: Investigation. B.M.B.: Data curation; project administration; supervision. All authors have read and agreed to the published version of the manuscript.
Funding
Synthesis of the Ti(IV) and Zr(IV) phenoxy-imine complexes, and study of the ethylene polymerization process and properties of the resulting UHMWPE samples were supported by the Russian Science Foundation (Project No. 22-23-00578). Synthesis of the ethylene copolymers and study of their properties were supported by the Russian Science Foundation (Project No. 18-13-00375). X-ray diffraction studies, DSC and elemental analysis were performed with the financial support of the Ministry of Science and Higher Education of the Russian Federation employing the equipment at the Center for molecular composition studies of INEOS RAS. NMR studies of the copolymers were performed with the financial support from the state budget program (project code AAAA-A16-116053110012-5).
Institutional Review Board Statement
Not applicable.
Informed Consent Statement
Not applicable.
Data Availability Statement
The data presented in this study are available from the corresponding author upon request.
Conflicts of Interest
The authors declare no conflict of interest.
References
- Mitani, M.; Saito, J.; Ishii, S.; Nakayama, Y.; Makio, H.; Matsukawa, N.; Matsui, S.; Mohri, J.; Furuyama, R.; Terao, H.; et al. FI Catalysts: New Olefin Polymerization Catalysts for the Creation of Value-Added Polymers. Chem. Rec. 2004, 4, 137–158. [Google Scholar] [CrossRef] [PubMed]
- Makio, H.; Fujita, T. Development and Application of FI Catalysts for Olefin Polymerization: Unique Catalysis and Distinctive Polymer Formation. Acc. Chem. Res. 2009, 42, 532–1544. [Google Scholar] [CrossRef] [PubMed]
- Matsugia, T.; Fujita, T. High-performance olefin polymerization catalysts discovered on the basis of a new catalyst design concept. Chem. Soc. Rev. 2008, 37, 1264–1277. [Google Scholar] [CrossRef] [PubMed]
- Makio, H.; Terao, H.; Iwashita, A.; Fujita, T. FI Catalysts for Olefin Polymerization—A Comprehensive Treatment. Chem. Rev. 2011, 111, 2363–2449. [Google Scholar] [CrossRef]
- Baier, M.C.; Zuideveld, M.A.; Mecking, S. Post-Metallocenes in the Industrial Production of Polyolefins. Angew. Chem. Int. Ed. 2014, 53, 9722–9744. [Google Scholar] [CrossRef]
- Rastogi, S.; Yao, Y.; Ronca, S.; Bos, J.; van der Eem, J. Unprecedented High-Modulus High-Strength Tapes and Films of Ultrahigh Molecular Weight Polyethylene via Solvent-Free Route. Macromolecules 2011, 44, 5558–5568. [Google Scholar] [CrossRef]
- Ronca, S.; Forte, G.; Tjaden, H.; Rastogi, S. Solvent-Free Solid-State-Processed Tapes of Ultrahigh-Molecular-Weight Polyethylene: Influence of Molar Mass and Molar Mass Distribution on the Tensile Properties. Ind. Eng. Chem. Res. 2015, 54, 7373–7381. [Google Scholar] [CrossRef]
- Ozerin, A.N.; Ivanchev, S.S.; Chvalun, S.N.; Aulov, V.A.; Ivancheva, N.I.; Bakeev, N.F. Properties of oriented film tapes prepared via solid-state processing of a nascent ultrahigh-molecular-weight polyethylene reactor powder synthesized with a postmetallocene catalyst. Polym. Sci. Ser. A 2012, 54, 950–954. [Google Scholar] [CrossRef]
- Oleynik, I.V.; Shundrina, I.K.; Oleyinik, I.I. Highly active titanium(IV) dichloride FI catalysts bearing a diallylamino group for the synthesis of disentangled UHMWPE. Polym. Adv. Technol. 2020, 31, 1–14. [Google Scholar] [CrossRef]
- Antonov, A.A.; Bryliakov, K.P. Post-metallocene catalysts for the synthesis of ultrahigh molecular weight polyethylene: Recent advances. Eur. Polym. J. 2021, 142, 110162. [Google Scholar] [CrossRef]
- Romano, D.; Andablo-Reyesa, E.; Ronca, S.; Rastogi, S. Aluminoxane Co-catalysts for the Activation of a Bis Phenoxyimine Titanium (IV) Catalyst in the Synthesis of Disentangled Ultra-High Molecular Weight Polyethylene. Polymer 2015, 74, 76–85. [Google Scholar] [CrossRef]
- Liu, D.; Wang, S.; Wang, H.; Chen, W. Trialkylaluminums: Efficient cocatalysts for bis(phenoxy-imine)zirconium complexes in ethylene polymerization. J. Mol. Cat. A Chem. 2006, 246, 53–58. [Google Scholar] [CrossRef]
- Glen, A.; Bialek, M.; Czaja, K. Remarkable effect of organoaluminum activator on catalytic performance of bis(phenoxy-imine) titanium complexes in ethylene polymerization. Polimery 2009, 54, 632–638. [Google Scholar] [CrossRef]
- Li, T.; Kong, F.W.; Liu, R.; Li, Z.Y.; Zhu, F.M. Effect of Cocatalysts on Ethylene Polymerization with Fluorinated Bisphenoxyimine Titanium as a Catalyst. J. Appl. Polym. Sci. 2011, 119, 572–576. [Google Scholar] [CrossRef]
- Yang, H.; van Ingen, Y.; Blom, B.; Rastogi, S.; Romano, D. Structural modification of phenoxyimine titanium complexes and activation studies with alkylaluminum compounds. Chem. Cat. Chem. 2020, 12, 5209–5220. [Google Scholar] [CrossRef]
- Makio, H.; Kashiwa, N.; Fujita, T. FI Catalysts: A New Family of High Performance Catalysts for Olefin Polymerization. Adv. Synth. Catal. 2002, 344, 477–493. [Google Scholar] [CrossRef]
- Fujita, T.; Kawai, K. FI Catalysts for Olefin Oligomerization and Polymerization: Production of Useful Olefin-Based Materials by Unique Catalysis. Top. Catal. 2014, 57, 852–877. [Google Scholar] [CrossRef]
- Iwashita, A.; Makio, H.; Fujita, T. Phenoxy–Imine Group 4 Metal Complexes for Olefin (CO)Polymerization Including Polar Monomer Copolymerization. In Olefin Upgrading Catalysis by Nitrogen-Based Metal Complexes II; Catalysis by Metal, Complexes; Campora, J., Giambastiani, G., Eds.; Springer: Dordrecht, The Netherlands, 2011; Volume 36. [Google Scholar] [CrossRef]
- Matsui, S.; Mitani, M.; Saito, J.; Tohi, Y.; Makio, H.; Matsukawa, N.; Takagi, Y.; Tsuru, K.; Nitabaru, M.; Nakano, T.; et al. A Family of Zirconium Complexes Having Two Phenoxy−Imine Chelate Ligands for Olefin Polymerization. J. Am. Chem. Soc. 2001, 123, 6847–6856. [Google Scholar] [CrossRef]
- Nakayama, Y.; Saito, J.; Bando, H.; Fujita, T. MgCl2/R′nAl(OR)3-n: An Excellent Activator/Support for Transition-Metal Complexes for Olefin Polymerization. Chem. Eur. J. 2006, 12, 7546–7556. [Google Scholar] [CrossRef]
- Rishina, L.A.; Kissin, Y.V.; Gagieva, S.C.; Lalayan, S.S. New Cocatalyst for Alkene Polymerization Reactions with Transition Metal Catalysts. Russ. J. Phys. Chem. B 2019, 13, 789–802. [Google Scholar] [CrossRef]
- Gagieva, S.C.; Tuskaev, V.A.; Magomedov, K.F.; Moskalenko, M.A.; Pavlov, A.A.; Meshchankina, M.Y.; Shcherbina, M.A.; Bulychev, B.M. Immobilized on MgCl2 bis(phenoxy-imine) complexes of Ti and Zr as catalysts for preparing UHMWPE and ethylene/higher α-olefin copolymers. Polym. Bull. 2022, 79, 8333–8351. [Google Scholar] [CrossRef]
- Kissin, Y.V.; Nowlin, T.E.; Mink, R.I.; Brandolini, A.J. A New Cocatalyst for Metallocene Complexes in Olefin Polymerization. Macromolecules 2000, 33, 4599–4601. [Google Scholar] [CrossRef]
- Kissin, Y.V.; Mink, R.I.; Brandolini, A.J.; Nowlin, T.E. AlR2Cl/MgR2 combinations as universal cocatalysts for Ziegler–Natta, metallocene, and post-metallocene catalysts. J. Polym. Sci. Part A Polym. Chem. 2009, 47, 3271–3285. [Google Scholar] [CrossRef]
- Gao, Y.; Christianson, M.D.; Wang, Y.; Chen, J.; Marshall, S.; Klosin, J.; Lohr, T.L.; Marks, T.J. Unexpected Precatalyst σ-Ligand Effects in Phenoxyimine Zr-Catalyzed Ethylene/1-Octene Copolymerizations. J. Am. Chem. Soc. 2019, 141, 7822–7830. [Google Scholar] [CrossRef]
- Jia, A.-Q.; Jin, G.-X. Syntheses, Reactions, and Ethylene Polymerization of Titanium Complexes with [N, O, S] Ligands. Organometallics 2009, 28, 1872–1877. [Google Scholar] [CrossRef]
- Saha, T.K.; Mandal, M.; Chakraborty, D.; Ramkumar, V. Imino phenoxide complexes of group 4 metals: Synthesis, structural characterization and polymerization studies. New J. Chem. 2013, 37, 949–960. [Google Scholar] [CrossRef]
- Roymuhury, S.K.; Chakraborty, D.; Ramkumar, V. Synthesis and characterization of group 4 metal alkoxide complexes containing imine based bis-bidentate ligands: Effective catalysts for the ring opening polymerization of lactides, epoxides and polymerization of ethylene. Dalton Trans. 2015, 44, 10352–10367. [Google Scholar] [CrossRef]
- Kasumov, V.T.; Medjidov, A.A.; Yayli, N.; Zeren, Y. Spectroscopic and electrochemical characterization of di-tert-butylated sterically hindered Schiff bases and their phenoxyl radicals. Spectrochim. Acta A 2004, 60, 3037–3047. [Google Scholar] [CrossRef]
- Gagieva, S.C.; Sukhova, T.A.; Savinov, D.V.; Optov, V.A.; Bravaya, N.M.; Belokon’, Y.M.; Bulychev, B.M. New fluorine-containing bissalicylidenimine-titanium complexes for olefin polymerization. J. Appl. Polym. Sci. 2005, 95, 1040–1049. [Google Scholar] [CrossRef]
- Dolomanov, O.V.; Bourhis, L.J.; Gildea, R.J.; Howard, J.A.K.; Puschmann, H. OLEX2: A complete structure solution, refinement and analysis program. J. Appl. Cryst. 2009, 42, 339–341. [Google Scholar] [CrossRef]
- Sheldrick, G.M. SHELXT—Integrated Space-Group and Crystal-Structure Determination. Acta Crystallogr. A 2015, 71, 3–8. [Google Scholar] [CrossRef] [PubMed]
- Sheldrick, G.M. A Short History of SHELX. Acta Crystallogr. A 2008, 64, 112–122. [Google Scholar] [CrossRef] [PubMed]
- Gagieva, S.C.; Kurmaev, D.A.; Tuskaev, V.A.; Khrustalev, V.N.; Churakov, A.V.; Golubev, E.K.; Sizov, A.I.; Zvukova, T.M.; Buzin, M.I.; Nikiforova, G.G.; et al. First example of cationic titanium (III) complexes with crown ether as catalysts for ethylene polymerization. Eur. Polym. J. 2022, 170, 111166. [Google Scholar] [CrossRef]
- Kurtz, M.S. Ultra-High Molecular Weight Polyethylene in Total Joint Replacement. In The Uhmwpe Handbook; Elsevier Inc.: Amsterdam, The Netherlands, 2004. [Google Scholar]
- Sharma, N.; Sharma, V.; Bohra, R.; Raju, V.S.; Lorenz, I.-P.; Krinninger, C.H.; Mayer, P. Glycol modified cis-diisopropoxy-bis(N-phenylsalicylideneiminato) titanium(IV). Syntheses, characterization, X-ray structures of Ti{O(C6H4)CH = NPh}2(OPri)2, [{Ti(O(C6H4)CH = NPh)2}O]3 and their low temperature transformation to pure grains of nanosized titania. Inorg. Chim. Acta 2007, 360, 3002–3012. [Google Scholar] [CrossRef]
- Mishra, S.; Singh, A. Synthesis and spectroscopic studies of homo- and heteroleptic N-arylsalicylaldiminates of titanium(IV), zirconium(IV) and chromium(III). Transit. Met. Chem. 2004, 29, 164–169. [Google Scholar] [CrossRef]
- Khaubunsongserm, S.; Hormnirun, P.; Nanok, T.; Jongsomjit, B.; Praserthdam, P. Fluorinated bis(phenoxy-imine)titanium complexes with methylaluminoxane for the synthesis of ultra high molecular weight polyethylene. Polymer 2013, 54, 3217–3222. [Google Scholar] [CrossRef]
- Dessy, R.E.; King, R.B.; Waldrop, M. Organometallic Electrochemistry. V. The Transition Series. J. Am. Chem. Soc. 1966, 88, 5112–5117. [Google Scholar] [CrossRef]
- Wailes, P.C.; Coutts, R.S.P.; Weigold, H. Organometallic Chemistry of Titanium, Zirconium and Hafnium; Academic Press: New York, NY, USA, 1974. [Google Scholar]
- Samuel, E. Reduction of zirconocene dihalides with magnesium studied by ESR. Evidence of zirconium(III) hydride formation by hydrogen transfer from the cyclopentadienyl ring. Inorg. Chem. 1983, 22, 2967–2970. [Google Scholar] [CrossRef]
- Basso, N.R.D.S.; Greco, P.P.; Carone, C.L.; Livotto, P.R.; Simplício, L.M.; Da Rocha, Z.N.; Galland, G.B.; Dos Santos, J.H. Reactivity of zirconium and titanium alkoxides bidentade complexes on ethylene polymerization. J. Mol. Catal. A Chem. 2007, 267, 129–136. [Google Scholar] [CrossRef]
- Available online: http://www.acechemical.co.kr/pdf/GUR2122.pdf (accessed on 11 March 2013).
- Rocha, M.; Mansur, A.; Mansur, H. Characterization and Accelerated Ageing of UHMWPE Used in Orthopedic Prosthesis by Peroxide. Materials 2009, 2, 562–576. [Google Scholar] [CrossRef]
- Khalil, Y.; Hopkinson, N.; Kowalski, A.; Fairclough, J.P.A. Characterisation of UHMWPE Polymer Powder for Laser Sintering. Materials 2019, 12, 3496. [Google Scholar] [CrossRef]
- Rishina, L.A.; Lalayan, S.S.; Gagieva, S.C.; Tuskaev, V.A.; Perepelitsyna, E.O.; Kissin, Y.V. Polymers of propylene and higher 1-alkenes produced with post-metallocene complexes containing a saligenin-type ligand. Polymer 2013, 54, 6526–6535. [Google Scholar] [CrossRef]
- Rishina, L.; Galashina, N.; Gagieva, S.; Tuskaev, V.; Kissin, Y. Cocatalyst effect in propylene polymerization reactions with post-metallocene catalysts. Eur. Polym. J. 2013, 49, 147–155. [Google Scholar] [CrossRef]
- Tuskaev, V.A.; Gagieva, S.C.; Kurmaev, D.A.; Vasil’ev, V.G.; Kolosov, N.A.; Zubkevich, S.V.; Mikhaylik, E.S.; Golubev, E.K.; Nikiforova, G.G.; Zhizhko, P.A.; et al. Binuclear and hexanuclear Ti(IV) complexes supported by [OOOO]4–-type ligand for preparing disentangled UHMWPE. Chin. J. Polym. Sci. 2019, 37, 471–477. [Google Scholar] [CrossRef]
- Available online: https://www.teijinaramid.com/wp-content/uploads/2018/12/18033TEI-Prodbroch-Endumax_LR.pdf (accessed on 7 March 2011).
- Chan, M.C.W. Weak Attractive Ligand–Polymer and Related Interactions in Catalysis and Reactivity: Impact, Applications, and Modeling. Chem. Asian J. 2008, 3, 18–27. [Google Scholar] [CrossRef]
- Falivenea, L.; Cavallo, L.; Talarico, G. The role of noncovalent interactions in olefin polymerization catalysis: A further look to the fluorinated ligand effect. Mol. Catal. 2020, 494, 111118. [Google Scholar] [CrossRef]
- Liu, W.; Zhang, K.; Fan, H.; Wang, W.-J.; Li, B.-G.; Zhu, S. Living Copolymerization of Ethylene/1-Octene with Fluorinated FI-Ti Catalyst. J. Polym. Sci. Part A Polym. Chem. 2013, 51, 405–414. [Google Scholar] [CrossRef]
- Zou, B.; Zhan, Y.; Xie, X.; Zhang, T.T.; Qiua, R.; Zhu, F. Synthesis of ultrahigh-molecular-weight ethylene/1-octene copolymers with salalen titanium(IV) complexes activated by methyaluminoxane. RSC Adv. 2022, 12, 11715. [Google Scholar] [CrossRef]
- Feng, C.; Gou, Q.; Liu, S.; Gao, R.; Li, Z. Synthesis of Ethylene/1-Octene Copolymers with Ultrahigh Molecular Weights by Zr and Hf Complexes Bearing Bidentate NN Ligands with the Camphyl Linker. Catalysts 2021, 11, 276. [Google Scholar] [CrossRef]
- Tuskaev, V.A.; Gagieva, S.C.; Bogdanov, V.S.; Kurmaev, D.A.; Melnikova, E.K.; Saracheno, D.; Buzin, M.I.; Golubev, E.K.; Kechek’Yan, A.S.; Myagkova, K.Z.; et al. Binuclear Ti(IV) complex with new compartmental ligand 2,6-(bis-CF3-carbinol)-4-tert-butylphenol as precatalysts for ethylene polymerization and its copolymerization with propylene and 5-ethylidene-norbornene. Appl. Organomet. Chem. 2021, 35, e6396. [Google Scholar] [CrossRef]
Publisher’s Note: MDPI stays neutral with regard to jurisdictional claims in published maps and institutional affiliations. |
© 2022 by the authors. Licensee MDPI, Basel, Switzerland. This article is an open access article distributed under the terms and conditions of the Creative Commons Attribution (CC BY) license (https://creativecommons.org/licenses/by/4.0/).








