Chemical, Thermal and Mechanical Characterization of Licorice Root, Willow, Holm Oak, and Palm Leaf Waste Incorporated into Maleated Polypropylene (MAPP)
Abstract
1. Introduction
2. Materials and Methods
2.1. Materials
2.2. Biomass Chemical Composition Analysis and Characterization
2.3. Composite Processing
2.4. Characterization of Injection Molded Composites
2.4.1. Mechanical Testing
2.4.2. Thermal Testing
2.5. Morphological Characterization
3. Results
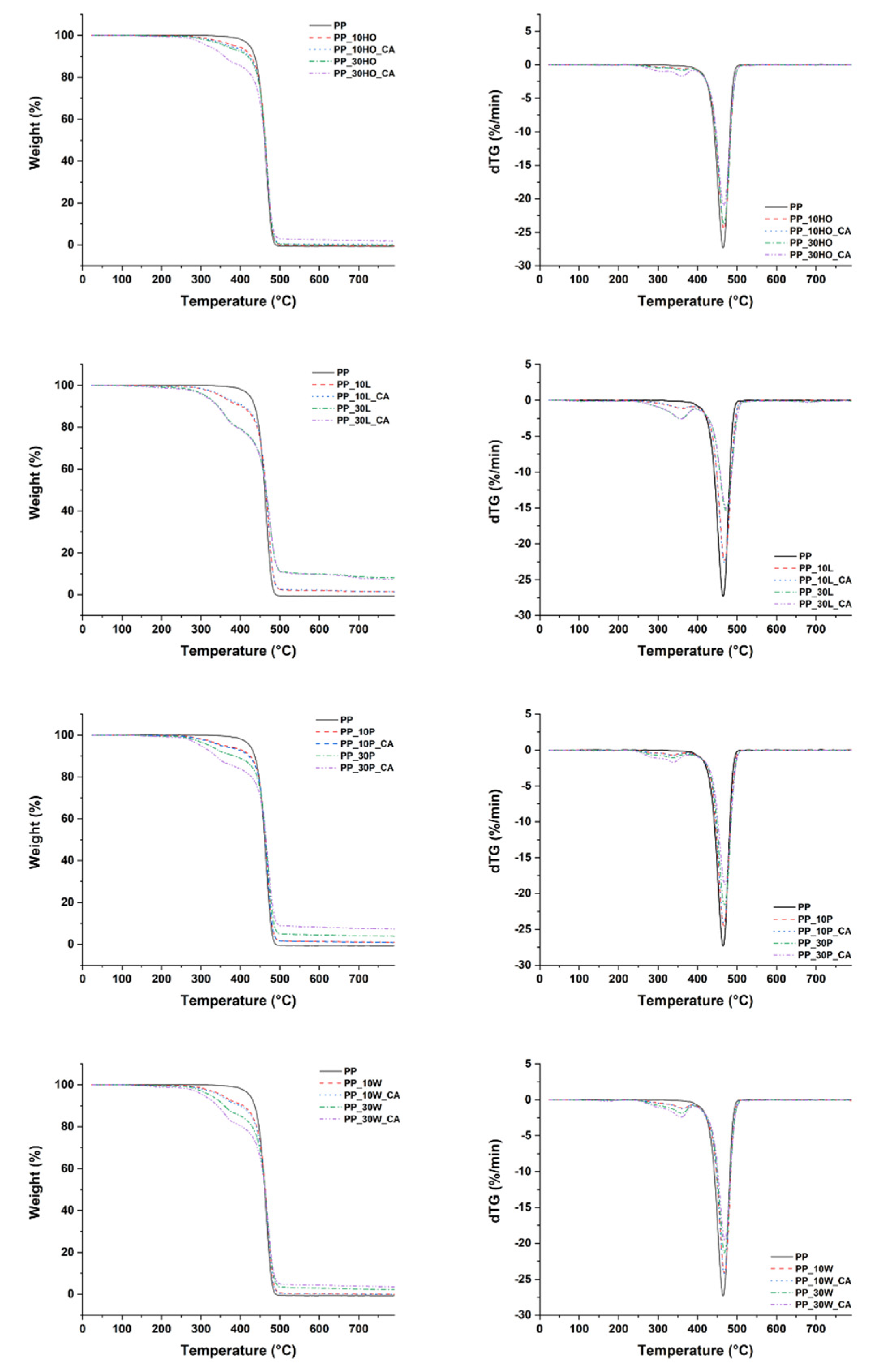
3.1. Filler Morphology and Thermal Stability
3.2. Thermal Properties of Injection Molded Composites
3.3. Dynamic Mechanical Behavior of Injection Molded Composites
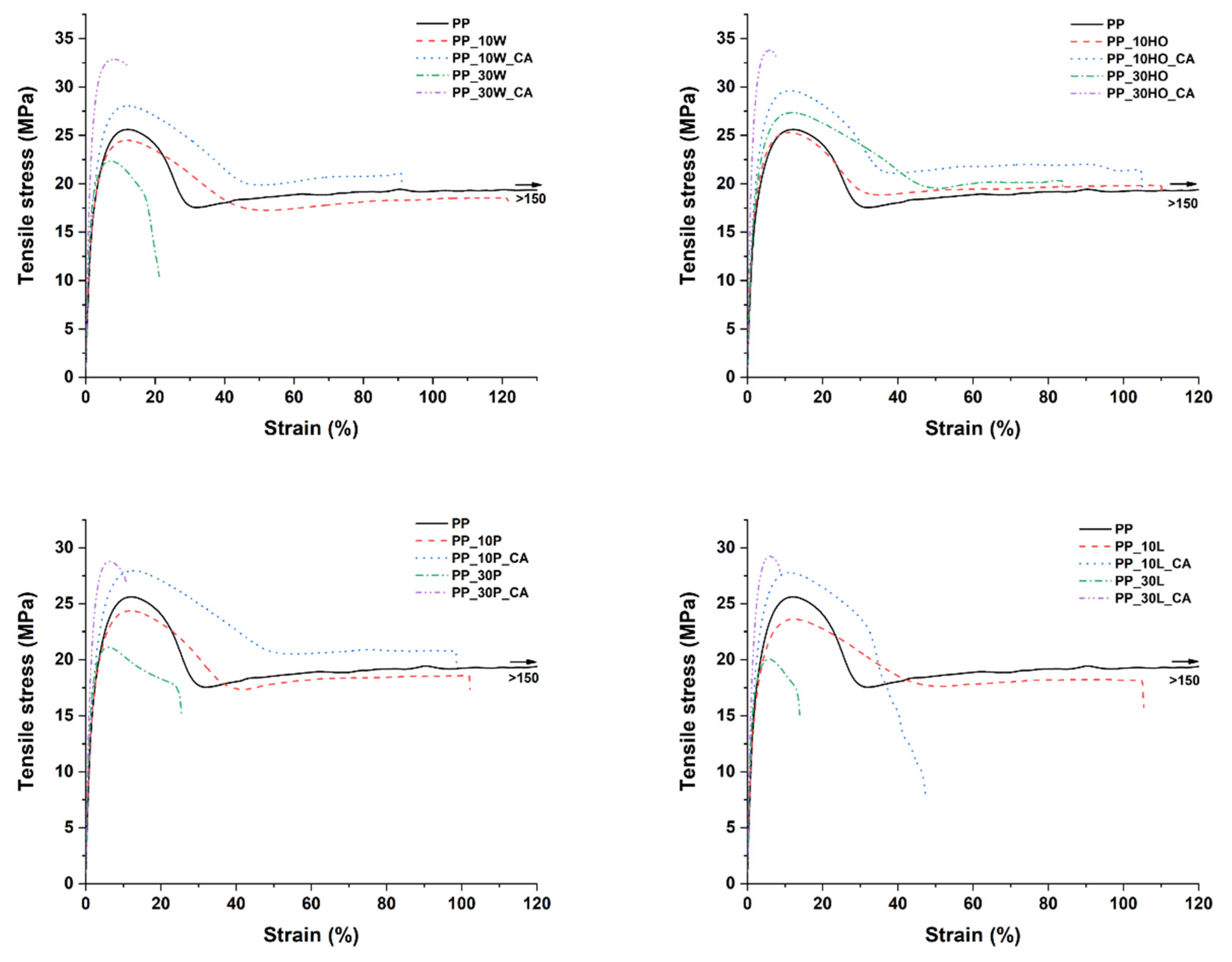
3.4. Mechanical Properties of Injection Molded Composites
| Matrix Type | Filler Type | Coupling Agent | Tensile Modulus (GPa) | Tensile Strength (MPa) | Flexural Strength (MPa) | Flexural Modulus (GPa) | Filler Content (wt%) | Reference |
|---|---|---|---|---|---|---|---|---|
| PP | Yerba mate | no | 0.8 | 22.5 | 39.4 | 2.2 | 30 | [54] |
| PP (recycled) | Yerba mate | yes | 0.6 | 23.7 | 35.4 | 1.8 | 30 | [55] |
| PP | Buckwheat husk | no | 1.6 | 18.5 | - | - | 30 | [47] |
| PP | Wood flour | no | 2.5 | 26.0 | - | - | 30 | [47] |
| PP | Buckwheat husk | yes | 1.6 | 29.0 | - | - | 30 | [47] |
| PP | Wood flour | yes | 2.2 | 35.5 | - | - | 30 | [47] |
| PP | Flax | yes | 1.1 | 27.5 | 49.5 | 1.7 | 30 | [56] |
| PP | Poplar | yes | 1.4 | 23.0 | 37.5 | 2.4 | 30 | [57] |
| PP | Rice husk | yes | 1.6 | 26.5 | 38.0 | 2.3 | 30 | [57] |
| PP | Wheat straw | yes | 1.5 | 27.0 | 42.0 | 2.5 | 30 | [57] |
| PP | Corn stalk | no | 3.7 | 26.1 | - | - | 40 | [58] |
| PP | Corn stalk | yes | 3.8 | 38.5 | - | - | 40 | [58] |
| PP | Microcrystalline cellulose | no | 2.4 | 32.0 | 37.5 | 1.6 | 20 | [59] |
| PP | Microcrystalline cellulose | yes | 2.7 | 42.0 | 42.5 | 1.6 | 20 | [59] |
| PP | Poplar | yes | 5.4 | 28.2 | 47.1 | 5.3 | 50 | [60] |
| PP | Hemp | yes | 2.7 | 32.0 | 49.5 | 1.8 | 30 | [61] |
4. Conclusions
Author Contributions
Funding
Institutional Review Board Statement
Informed Consent Statement
Data Availability Statement
Conflicts of Interest
Appendix A




References
- Liuzzi, S.; Rubino, C.; Stefanizzi, P. Use of clay and olive pruning waste for building materials with high hygrothermal performances. Energy Procedia 2017, 126, 234–241. [Google Scholar] [CrossRef]
- Auriga, R.; Auriga, A.; Borysiuk, P.; Wilkowski, J.; Fornalczyk, O.; Ochmian, I. Lignocellulosic Biomass from Grapevines as Raw Material for Particleboard Production. Polymers 2022, 14, 2483. [Google Scholar] [CrossRef] [PubMed]
- Cai, J.; He, Y.; Yu, X.; Banks, S.W.; Yang, Y.; Zhang, X.; Yu, Y.; Liu, R.; Bridgwater, A.V. Review of physicochemical properties and analytical characterization of lignocellulosic biomass. Renew. Sustain. Energy Rev. 2017, 76, 309–322. [Google Scholar] [CrossRef]
- Correa, C.A.; Razzino, C.A.; Hage, E. Role of Maleated Coupling Agents on the Interface Adhesion of Polypropylene—Wood Composites. J. Thermoplast. Compos. Mater. 2016, 20, 323–339. [Google Scholar] [CrossRef]
- Ramezani Kakroodi, A.; Leduc, S.; Rodrigue, D. Effect of hybridization and compatibilization on the mechanical properties of recycled polypropylene-hemp composites. J. Appl. Polym. Sci. 2012, 124, 2494–2500. [Google Scholar] [CrossRef]
- Mohanty, S.; Nayak, S.K.; Verma, S.K.; Tripathy, S.S. Effect of MAPP as a Coupling Agent on the Performance of Jute–PP Composites. J. Reinf. Plast. Compos. 2016, 23, 625–637. [Google Scholar] [CrossRef]
- Arbelaiz, A.; Fernández, B.; Cantero, G.; Llano-Ponte, R.; Valea, A.; Mondragon, I. Mechanical properties of flax fibre/polypropylene composites. Influence of fibre/matrix modification and glass fibre hybridization. Compos. Part A Appl. Sci. Manuf. 2005, 36, 1637–1644. [Google Scholar] [CrossRef]
- Ayrilmis, N.; Jarusombuti, S.; Fueangvivat, V.; Bauchongkol, P.; White, R.H. Coir fiber reinforced polypropylene composite panel for automotive interior applications. Fibers Polym. 2011, 12, 919–926. [Google Scholar] [CrossRef]
- Kárpáti, Z.; Kun, D.; Fekete, E.; Móczó, J. Structural biomaterials engineered from lignocellulosic agricultural waste. J. Appl. Polym. Sci. 2021, 138, 50617. [Google Scholar] [CrossRef]
- Nasution, H.; Pandia, S.; Maulida; Sinaga, M.S. Impact Strength and Thermal Degradation of Waste Polypropylene (wPP)/Oil Palm Empty Fruit Bunch (OPEFB) Composites: Effect of Maleic Anhydride -g-polypropylene (MAPP) Addition. Procedia Chem. 2015, 16, 432–437. [Google Scholar] [CrossRef][Green Version]
- Eugenio, M.E.; Alaejos, J.; Diaz, M.J.; Lopez, F.; Vidal, T. Evaluation of holm oak (Quercus ilex) wood as an alternative source for cellulose pulp. Cellul. Chem. Technol. 2006, 40, 53–61. [Google Scholar]
- Barton-Pudlik, J.; Czaja, K. Fast-growing willow (Salix viminalis) as a filler in polyethylene composites. Compos. Part B Eng. 2018, 143, 68–74. [Google Scholar] [CrossRef]
- Zafar, M.T.; Zarrinbakhsh, N.; Mohanty, A.K.; Misra, M.; Maiti, S.N.; Ghoshal, A.K. Biocomposites based on poly(lactic acid)/willow-fiber and their injection moulded microcellular foams. eXPRESS Polym. Lett. 2016, 10, 176–186. [Google Scholar] [CrossRef]
- Gabrielli, S.; Pastore, G.; Stella, F.; Marcantoni, E.; Sarasini, F.; Tirillò, J.; Santulli, C. Chemical and Mechanical Characterization of Licorice Root and Palm Leaf Waste Incorporated into Poly(urethane-acrylate) (PUA). Molecules 2021, 26, 7682. [Google Scholar] [CrossRef] [PubMed]
- Pastore, G.; Gabrielli, S.; Giacomantonio, R.; Lupidi, G.; Capodaglio, S.; Stella, F.; Leone, E.; Compagnucci, T.; Marcantoni, E. An efficient synthesis of bio-based Poly(urethane-acrylate) by SiO2-Supported CeCl3·7H2O–NaI as recyclable Catalyst. Results Mater. 2022, 15, 100294. [Google Scholar] [CrossRef]
- Chen, Y.; Zhang, L.; Yu, J.; Lu, Y.; Jiang, B.; Fan, Y.; Wang, Z. High-purity lignin isolated from poplar wood meal through dissolving treatment with deep eutectic solvents. R. Soc. Open Sci. 2019, 6, 181757. [Google Scholar] [CrossRef]
- Wang, X.; Ren, H. Comparative study of the photo-discoloration of moso bamboo (Phyllostachys pubescens Mazel) and two wood species. Appl. Surf. Sci. 2008, 254, 7029–7034. [Google Scholar] [CrossRef]
- Boeriu, C.G.; Bravo, D.; Gosselink, R.J.A.; van Dam, J.E.G. Characterisation of structure-dependent functional properties of lignin with infrared spectroscopy. Ind. Crop. Prod. 2004, 20, 205–218. [Google Scholar] [CrossRef]
- Abderrahim, B.; Abderrahman, E.; Mohamed, A.; Fatima, T.; Abdesselam, T.; Krim, O. Kinetic Thermal Degradation of Cellulose, Polybutylene Succinate and a Green Composite: Comparative Study. World J. Environ. Eng. 2015, 3, 95–110. [Google Scholar]
- Farhat, W.; Venditti, R.; Quick, A.; Taha, M.; Mignard, N.; Becquart, F.; Ayoub, A. Hemicellulose extraction and characterization for applications in paper coatings and adhesives. Ind. Crops Prod. 2017, 107, 370–377. [Google Scholar] [CrossRef]
- Ebnesajjad, S. Handbook of Biopolymers and Biodegradable Plastics: Properties, Processing and Applications; Elsevier: Amsterdam, The Netherlands, 2012; pp. 1–462. [Google Scholar]
- Carlson, E.D.; Krejchi, M.T.; Shah, C.D.; Terakawa, T.; Waymouth, R.M.; Fuller, G.G. Rheological and Thermal Properties of Elastomeric Polypropylene. Macromolecules 1998, 31, 5343–5351. [Google Scholar] [CrossRef]
- Migneault, S.; Koubaa, A.; Erchiqui, F.; Chaala, A.; Englund, K.; Krause, C.; Wolcott, M. Effect of fiber length on processing and properties of extruded wood-fiber/HDPE composites. J. Appl. Polym. Sci. 2008, 110, 1085–1092. [Google Scholar] [CrossRef]
- Azwa, Z.N.; Yousif, B.F.; Manalo, A.C.; Karunasena, W. A review on the degradability of polymeric composites based on natural fibres. Mater. Des. 2013, 47, 424–442. [Google Scholar] [CrossRef]
- Hatakeyama, T.; Nakamura, K.; Hatakeyama, H. Vaporization of bound water associated with cellulose fibres. Thermochim. Acta 2000, 352–353, 233–239. [Google Scholar] [CrossRef]
- Bourmaud, A.; Dhakal, H.; Habrant, A.; Padovani, J.; Siniscalco, D.; Ramage, M.H.; Beaugrand, J.; Shah, D.U. Exploring the potential of waste leaf sheath date palm fibres for composite reinforcement through a structural and mechanical analysis. Compos. Part A Appl. Sci. Manuf. 2017, 103, 292–303. [Google Scholar] [CrossRef]
- Rashid, B.; Leman, Z.; Jawaid, M.; Ghazali, M.J.; Ishak, M.R. Physicochemical and thermal properties of lignocellulosic fiber from sugar palm fibers: Effect of treatment. Cellulose 2016, 23, 2905–2916. [Google Scholar] [CrossRef]
- Antal, M.J.J.; Varhegyi, G. Cellulose Pyrolysis Kinetics: The Current State of Knowledge. Ind. Eng. Chem. Res. 1995, 34, 703–717. [Google Scholar] [CrossRef]
- Indran, S.; Raj, R.E.; Sreenivasan, V.S. Characterization of new natural cellulosic fiber from Cissus quadrangularis root. Carbohydr. Polym. 2014, 110, 423–429. [Google Scholar] [CrossRef] [PubMed]
- Sbardella, F.; Lilli, M.; Seghini, M.C.; Bavasso, I.; Touchard, F.; Chocinski-Arnault, L.; Rivilla, I.; Tirillò, J.; Sarasini, F. Interface tailoring between flax yarns and epoxy matrix by ZnO nanorods. Compos. Part A Appl. Sci. Manuf. 2021, 140, 106156. [Google Scholar] [CrossRef]
- Jeyabalaji, V.; Kannan, G.R.; Ganeshan, P.; Raja, K.; NagarajaGanesh, B.; Raju, P. Extraction and Characterization Studies of Cellulose Derived from the Roots of Acalypha indica L. J. Nat. Fibers 2021, 19, 4544–4556. [Google Scholar] [CrossRef]
- Somasundaram, R.; Rajamoni, R.; Suyambulingam, I.; Divakaran, D.; Mavinkere Rangappa, S.; Siengchin, S. Utilization of discarded Cymbopogon flexuosus root waste as a novel lignocellulosic fiber for lightweight polymer composite application. Polym. Compos. 2022, 43, 2838–2853. [Google Scholar] [CrossRef]
- Rachini, A.; le Troedec, M.; Peyratout, C.; Smith, A. Comparison of the thermal degradation of natural, alkali-treated and silane-treated hemp fibers under air and an inert atmosphere. J. Appl. Polym. Sci. 2009, 112, 226–234. [Google Scholar] [CrossRef]
- Yao, F.; Wu, Q.; Lei, Y.; Guo, W.; Xu, Y. Thermal decomposition kinetics of natural fibers: Activation energy with dynamic thermogravimetric analysis. Polym. Degrad. Stab. 2008, 93, 90–98. [Google Scholar] [CrossRef]
- Doan, T.T.L.; Brodowsky, H.; Mäder, E. Jute fibre/polypropylene composites II. Thermal, hydrothermal and dynamic mechanical behaviour. Compos. Sci. Technol. 2007, 67, 2707–2714. [Google Scholar] [CrossRef]
- Kim, H.S.; Kim, S.; Kim, H.J.; Yang, H.S. Thermal properties of bio-flour-filled polyolefin composites with different compatibilizing agent type and content. Thermochim. Acta 2006, 451, 181–188. [Google Scholar] [CrossRef]
- El-Sabbagh, A. Effect of coupling agent on natural fibre in natural fibre/polypropylene composites on mechanical and thermal behaviour. Compos. Part B Eng. 2014, 57, 126–135. [Google Scholar] [CrossRef]
- Lee, S.-Y.; Kang, I.-A.; Park, B.-S.; Doh, G.-H.; Park, B.-D. Effects of Filler and Coupling Agent on the Properties of Bamboo Fiber-Reinforced Polypropylene. J. Reinf. Plast. Compos. 2008, 28, 2589–2604. [Google Scholar] [CrossRef]
- Arbelaiz, A.; Fernández, B.; Ramos, J.A.; Mondragon, I. Thermal and crystallization studies of short flax fibre reinforced polypropylene matrix composites: Effect of treatments. Thermochim. Acta 2006, 440, 111–121. [Google Scholar] [CrossRef]
- Hansen, B.; Borsoi, C.; Júnior, M.A.D.; Catto, A.L. Thermal and thermo-mechanical properties of polypropylene composites using yerba mate residues as reinforcing filler. Ind. Crops Prod. 2019, 140, 111696. [Google Scholar] [CrossRef]
- Mattos, B.D.; Misso, A.L.; de Cademartori, P.H.G.; de Lima, E.A.; Magalhães, W.L.E.; Gatto, D.A. Properties of polypropylene composites filled with a mixture of household waste of mate-tea and wood particles. Constr. Build. Mater. 2014, 61, 60–68. [Google Scholar] [CrossRef]
- He, S.; Zhou, L.; He, H. Preparation and properties of wood plastic composites based on tea residue. Polym. Compos. 2015, 36, 2265–2274. [Google Scholar] [CrossRef]
- Son, S.-J.; Lee, Y.-M.; Im, S.-S. Transcrystalline morphology and mechanical properties in polypropylene composites containing cellulose treated with sodium hydroxide and cellulase. J. Mater. Sci. 2000, 35, 5767–5778. [Google Scholar] [CrossRef]
- Sarasini, F.; Tirillò, J.; Sergi, C.; Seghini, M.C.; Cozzarini, L.; Graupner, N. Effect of basalt fibre hybridisation and sizing removal on mechanical and thermal properties of hemp fibre reinforced HDPE composites. Compos. Struct. 2018, 188, 394–406. [Google Scholar] [CrossRef]
- Kim, J.W.; Harper, D.P.; Taylor, A.M. Effect of wood species on the mechanical and thermal properties of wood–plastic composites. J. Appl. Polym. Sci. 2009, 112, 1378–1385. [Google Scholar] [CrossRef]
- Hristov, V.; Vasileva, S. Dynamic Mechanical and Thermal Properties of Modified Poly(propylene) Wood Fiber Composites. Macromol. Mater. Eng. 2003, 288, 798–806. [Google Scholar] [CrossRef]
- Andrzejewski, J.; Barczewski, M.; Szostak, M. Injection Molding of Highly Filled Polypropylene-based Biocomposites. Buckwheat Husk and Wood Flour Filler: A Comparison of Agricultural and Wood Industry Waste Utilization. Polymers 2019, 11, 1881. [Google Scholar] [CrossRef]
- Paul, S.A.; Sinturel, C.; Joseph, K.; Mathew, G.D.G.; Pothan, L.A.; Thomas, S. Dynamic mechanical analysis of novel composites from commingled polypropylene fiber and banana fiber. Polym. Eng. Sci. 2010, 50, 384–395. [Google Scholar] [CrossRef]
- Joseph, P.V.; Mathew, G.; Joseph, K.; Groeninckx, G.; Thomas, S. Dynamic mechanical properties of short sisal fibre reinforced polypropylene composites. Compos. Part A Appl. Sci. Manuf. 2003, 34, 275–290. [Google Scholar] [CrossRef]
- Amash, A.; Zugenmaier, P. Thermal and Dynamic Mechanical Investigations on Fiber-Reinforced Polypropylene Composites. J. Appl. Polym. Sci. 1997, 63, 1143–1154. [Google Scholar] [CrossRef]
- Jaramillo, C.M.; Gutiérrez, T.J.; Goyanes, S.; Bernal, C.; Famá, L. Biodegradability and plasticizing effect of yerba mate extract on cassava starch edible films. Carbohydr. Polym. 2016, 151, 150–159. [Google Scholar] [CrossRef]
- Moustafa, H.; Guizani, C.; Dufresne, A. Sustainable biodegradable coffee grounds filler and its effect on the hydrophobicity, mechanical and thermal properties of biodegradable PBAT composites. J. Appl. Polym. Sci. 2017, 134. [Google Scholar] [CrossRef]
- Nyambo, C.; Mohanty, A.K.; Misra, M. Polylactide-Based Renewable Green Composites from Agricultural Residues and Their Hybrids. Biomacromolecules 2010, 11, 1654–1660. [Google Scholar] [CrossRef]
- Catto, A.L.; Dahlem Júnior, M.A.; Hansen, B.; Francisquetti, E.L.; Borsoi, C. Characterization of polypropylene composites using yerba mate fibers as reinforcing filler. Compos. Part B Eng. 2019, 174, 106935. [Google Scholar] [CrossRef]
- Borsoi, C.; Hansen, B.; Gemmer, R.E.; Júnior, M.A.D.; Francisquetti, E.L.; Zattera, A.J.; Santana, R.M.C.; Catto, A.L. Effect of different surface treatments on polypropylene composites reinforced with yerba mate fibers: Physical, mechanical, chemical, and morphological properties. J. Appl. Polym. Sci. 2021, 138, 51350. [Google Scholar] [CrossRef]
- Soleimani, M.; Tabil, L.; Panigrahi, S.; Opoku, A. The effect of fiber pretreatment and compatibilizer on mechanical and physical properties of flax fiber-polypropylene composites. J. Polym. Environ. 2008, 16, 74–82. [Google Scholar] [CrossRef]
- Ashori, A.; Nourbakhsh, A. Mechanical behavior of agro-residue-reinforced polypropylene composites. J. Appl. Polym. Sci. 2009, 111, 2616–2620. [Google Scholar] [CrossRef]
- Flandez, J.; Gonzalez, I.; Resplandis, J.B.; el Mansouri, N.-E.; Vilaseca, F.; Mutjé, P. Management of corn stalk waste as reinforcement for polypropylene injection moulded composites. BioResources 2012, 7, 1836–1849. [Google Scholar] [CrossRef]
- Sergi, C.; Sbardella, F.; Lilli, M.; Tirillò, J.; Calzolari, A.; Sarasini, F. Hybrid cellulose–Basalt polypropylene composites with enhanced compatibility: The role of coupling agent. Molecules 2020, 25, 4384. [Google Scholar] [CrossRef]
- Ayrilmis, N.; Dundar, T.; Kaymakci, A.; Ozdemir, F.; Kwon, J.H. Mechanical and thermal properties of wood-plastic composites reinforced with hexagonal boron nitride. Polym. Compos. 2014, 35, 194–200. [Google Scholar] [CrossRef]
- Sullins, T.; Pillay, S.; Komus, A.; Ning, H. Hemp fiber reinforced polypropylene composites: The effects of material treatments. Compos. Part B Eng. 2017, 114, 15–22. [Google Scholar] [CrossRef]
- Keener, T.; Stuart, R.; Brown, T. Maleated coupling agents for natural fibre composites. Compos. Part A Appl. Sci. Manuf. 2004, 35, 357–362. [Google Scholar] [CrossRef]
- Nourbakhsh, A.; Karegarfard, A.; Ashori, A.; Nourbakhsh, A. Effects of Particle Size and Coupling Agent Concentration on Mechanical Properties of Particulate-filled Polymer Composites. J. Thermoplast. Compos. Mater. 2009, 23, 169–174. [Google Scholar] [CrossRef]
- Sobczak, L.; Lang, R.W.; Haider, A. Polypropylene composites with natural fibers and wood–General mechanical property profiles. Compos. Sci. Technol. 2012, 72, 550–557. [Google Scholar] [CrossRef]
- Wu, J.; Yu, D.; Chan, C.-M.; Kim, J.; Mai, Y.-W. Effect of Fiber Pretreatment Condition on the Interfacial Strength and Mechanical Properties of Wood. J. Appl. Polym. Sci. 2000, 76, 1000–1010. [Google Scholar] [CrossRef]
- Haque, M.M.; Hasan, M.; Islam, M.S.; Ali, M.E. Physico-mechanical properties of chemically treated palm and coir fiber reinforced polypropylene composites. Bioresour. Technol. 2009, 100, 4903–4906. [Google Scholar] [CrossRef] [PubMed]
- Hristov, V.N.; Vasileva, S.; Krumova, M.; Lach, R.; Michler, G.H. Deformation mechanisms and mechanical properties of modified polypropylene/wood fiber composites. Polym. Compos. 2004, 25, 521–526. [Google Scholar] [CrossRef]


















| Biomass | Cellulose a (%) | Lignin a (%) | Hemicellulose a (%) |
|---|---|---|---|
| Palm Leaf b (P) | 26 | 30 | 12 |
| Licorice Root b (L) | 44 | 12 | 15 |
| Willow (W) | 46 | 12 | 12 |
| Holm Oak (HO) | 40 | 13 | 14 |
| Formulation | PP (wt.%) | CA (wt.%) | Licorice Root (wt.%) | Palm Leaf (wt.%) | Willow (wt.%) | Holm Oak (wt.%) |
|---|---|---|---|---|---|---|
| PP | 100 | - | - | - | - | - |
| PP_10L | 90 | - | 10 | - | - | - |
| PP_10L_CA | 85 | 5 | 10 | - | - | - |
| PP_30L | 70 | - | 30 | - | - | - |
| PP_30L_CA | 65 | 5 | 30 | - | - | - |
| PP_10P | 90 | - | - | 10 | - | - |
| PP_10P_CA | 85 | 5 | - | 10 | - | - |
| PP_30P | 70 | - | - | 30 | - | - |
| PP_30P_CA | 65 | 5 | - | 30 | - | - |
| PP_10HO | 90 | - | - | - | - | 10 |
| PP_10HO_CA | 85 | 5 | - | - | - | 10 |
| PP_30HO | 70 | - | - | - | - | 30 |
| PP_30HO_CA | 65 | 5 | - | - | - | 30 |
| PP_10W | 90 | - | - | - | 10 | - |
| PP_10W_CA | 85 | 5 | - | - | 10 | - |
| PP_30W | 70 | - | - | - | 30 | - |
| PP_30W_CA | 65 | 5 | - | - | 30 | - |
| Lignocellulosic Filler | Td5 (°C) a | Td10 (°C) b | Tmax (°C) c |
|---|---|---|---|
| Palm leaf | 254.4 ± 0.9 | 275.5 ± 0.8 | 335.4 ± 0.7 |
| Licorice root | 269.1 ± 1.1 | 295.9 ± 0.9 | 355.3 ± 1.1 |
| Holm oak | 262.1 ± 0.9 | 285.3 ± 1.2 | 358.5 ± 0.8 |
| Willow | 269.7 ± 0.7 | 289.8 ± 0.9 | 354.3 ± 1.2 |
| Sample | Td5 (°C) | Td10 (°C) | Tmax (°C) |
|---|---|---|---|
| PP | 423.7 ± 0.5 | 436.1 ± 0.6 | 464.8 ± 0.6 |
| PP_10W | 354.1 ± 0.9 | 407.5 ± 1.1 | 468.2 ± 0.9 |
| PP_10W_CA | 349.2 ± 1.2 | 399.7 ± 0.8 | 467.8 ± 1.3 |
| PP_30W | 324.4 ± 0.9 | 359.4 ± 0.6 | 468.3 ± 1.2 |
| PP_30W_CA | 306.6 ± 1.3 | 342.5 ± 0.9 | 469.3 ± 1.1 |
| PP_10HO | 389.3 ± 1.0 | 427.2 ± 0.8 | 466.8 ± 0.9 |
| PP_10HO_CA | 371.6 ± 1.2 | 422.5 ± 1.1 | 466.8 ± 0.7 |
| PP_30HO | 361.7 ± 1.2 | 419.0 ± 0.9 | 466.8 ± 1.3 |
| PP_30HO_CA | 317.2 ± 1.1 | 359.5 ± 1.3 | 466.5 ± 0.9 |
| PP_10P | 358.8 ± 0.9 | 424.9 ± 1.2 | 466.3 ± 1.4 |
| PP_10P_CA | 349.6 ± 0.7 | 421.5 ± 1.1 | 466.4 ± 1.2 |
| PP_30P | 321.8 ± 0.9 | 385.4 ± 0.9 | 468.1 ± 0.9 |
| PP_30P_CA | 299.1 ± 0.8 | 337.9 ± 0.8 | 469.4 ± 0.9 |
| PP_10L | 349.9 ± 1.2 | 402.1 ± 1.3 | 468.8 ± 1.3 |
| PP_10L_CA | 354.7 ± 1.3 | 408.7 ± 1.2 | 468.2 ± 0.9 |
| PP_30L | 312.5 ± 1.1 | 344.1 ± 1.4 | 472.3 ± 0.8 |
| PP_30L_CA | 308.9 ± 1.2 | 342.8 ± 1.3 | 473.2 ± 0.9 |
| Sample | Tc (°C) | Tm (°C) | Xc (%) |
|---|---|---|---|
| PP | 116.6 ± 0.3 | 152.0 ± 0.3 | 36.3 ± 0.1 |
| PP_10W | 114.4 ± 0.6 | 150.3 ± 0.3 | 37.5 ± 0.3 |
| PP_10W_CA | 108.6 ± 0.4 | 149.5 ± 0.4 | 38.4 ± 0.2 |
| PP_30W | 108.1 ± 0.2 | 149.0 ± 0.4 | 42.5 ± 0.1 |
| PP_30W_CA | 107.5 ± 0.4 | 149.0 ± 0.6 | 40.0 ± 0.3 |
| PP_10HO | 115.8 ± 0.1 | 151.5 ± 0.3 | 40.3 ± 0.2 |
| PP_10HO_CA | 110.0 ± 0.4 | 149.1 ± 0.5 | 40.7 ± 0.2 |
| PP_30HO | 111.9 ± 0.8 | 150.4 ± 0.7 | 50.8 ± 0.5 |
| PP_30HO_CA | 108.1 ± 0.2 | 149.2 ± 0.3 | 44.3 ± 0.7 |
| PP_10P | 109.4 ± 0.6 | 149.2 ± 0.3 | 36.6 ± 0.5 |
| PP_10P_CA | 108.6 ± 0.1 | 149.0 ± 0.1 | 38.5 ± 0.2 |
| PP_30P | 107.1 ± 0.2 | 148.0 ± 0.4 | 44.6 ± 0.6 |
| PP_30P_CA | 109.7 ± 0.6 | 148.6 ± 0.6 | 39.6 ± 0.2 |
| PP_10L | 106.2 ± 0.3 | 148.2 ± 0.6 | 35.3 ± 0.3 |
| PP_10L_CA | 107.8 ± 0.3 | 149.4 ± 0.6 | 36.4 ± 0.3 |
| PP_30L | 107.0 ± 0.6 | 147.2 ± 0.5 | 31.5 ± 0.6 |
| PP_30L_CA | 108.0 ± 0.3 | 148.9 ± 0.2 | 33.4 ± 0.1 |
| Sample | Tg (°C) | E’@−50 °C (MPa) | E’@0 °C (MPa) | E’@25 °C (MPa) | E’@50 °C (MPa) | E’@80 °C (MPa) |
|---|---|---|---|---|---|---|
| PP | 3.2 ± 0.1 | 4380.2 ± 16.4 | 2330.5 ± 17.2 | 1262.8 ± 14.5 | 712.2 ± 14.1 | 298.4 ± 11.8 |
| PP_10W | −2.2 ± 0.1 | 4917.3 ± 13.4 | 2085.4 ± 9.7 | 1230.3 ± 12.4 | 739.8 ± 12.1 | 350.7 ± 12.6 |
| PP_10W_CA | −2.3 ± 0.1 | 4840.6 ± 20.1 | 2095.3 ± 11.1 | 1243.4 ± 10.8 | 752.3 ± 11.4 | 362.4 ± 11.9 |
| PP_30W | −0.4 ± 0.1 | 5399.4 ± 11.8 | 2609.1 ± 12.8 | 1614.8 ± 13.1 | 1023.8 ± 12.1 | 506.7 ± 12.1 |
| PP_30W_CA | −2.3 ± 0.1 | 5529.4 ± 12.1 | 2653.8 ± 11.4 | 1674.4 ± 12.1 | 1077.4 ± 11.4 | 554.8 ± 12.2 |
| PP_10HO | 2.7 ± 0.1 | 4785.7 ± 12.8 | 2420.7 ± 10.9 | 1342.4 ± 10.2 | 763.2 ± 11.1 | 361.4 ± 9.9 |
| PP_10HO_CA | 0.3 ± 0.1 | 4836.8 ± 13.1 | 2486.4 ± 12.8 | 1401.7 ± 13.1 | 800.9 ± 11.9 | 370.7 ± 11.4 |
| PP_30HO | 0.3 ± 0.1 | 4810.3 ± 14.7 | 2436.4 ± 11.4 | 1347.8 ± 13.9 | 785.6 ± 11.7 | 368.4 ± 12.2 |
| PP_30HO_CA | 0.4 ± 0.1 | 5136.4 ± 12.6 | 2656.3 ± 11.8 | 1596.2 ± 12.9 | 999.4 ± 10.9 | 510.4 ± 12.4 |
| PP_10P | 0.4 ± 0.1 | 4776.1 ± 11.1 | 2241.7 ± 10.8 | 1249.4 ± 13.4 | 736.8 ± 12.1 | 334.4 ± 11.9 |
| PP_10P_CA | 1.4 ± 0.1 | 4848.7 ± 10.8 | 2367.4 ± 11.7 | 1367.8 ± 12.1 | 814.7 ± 13.1 | 374.4 ± 12.9 |
| PP_30P | −0.6 ± 0.1 | 4953.1 ± 11.7 | 2371.4 ± 12.8 | 1378.1 ± 10.9 | 828.4 ± 12.1 | 396.5 ± 11.9 |
| PP_30P_CA | −0.5 ± 0.1 | 5394.1 ± 11.9 | 2688.4 ± 12.6 | 1630.7 ± 11.9 | 1018.7 ± 13.4 | 512.4 ± 10.9 |
| PP_10L | −0.5 ± 0.1 | 4627.4 ± 10.8 | 2051.8 ± 9.9 | 1168.4 ± 11.7 | 698.4 ± 10.8 | 324.4 ± 11.7 |
| PP_10L_CA | −0.5 ± 0.1 | 4890.4 ± 11.9 | 2150.3 ± 10.9 | 1231.4 ± 12.7 | 756.4 ± 11.1 | 346.8 ± 12.3 |
| PP_30L | −2.6 ± 0.1 | 6152.3 ± 11.2 | 3023.8 ± 11.4 | 1902.8 ± 10.9 | 1203.7 ± 12.8 | 597.9 ± 12.6 |
| PP_30L_CA | −1.4 ± 0.1 | 6680.7 ± 12.7 | 3444.9 ± 12.6 | 2302.7 ± 11.9 | 1504.2 ± 13.1 | 804.7 ± 11.9 |
Publisher’s Note: MDPI stays neutral with regard to jurisdictional claims in published maps and institutional affiliations. |
© 2022 by the authors. Licensee MDPI, Basel, Switzerland. This article is an open access article distributed under the terms and conditions of the Creative Commons Attribution (CC BY) license (https://creativecommons.org/licenses/by/4.0/).
Share and Cite
Gabrielli, S.; Caviglia, M.; Pastore, G.; Marcantoni, E.; Nobili, F.; Bottoni, L.; Catorci, A.; Bavasso, I.; Sarasini, F.; Tirillò, J.; et al. Chemical, Thermal and Mechanical Characterization of Licorice Root, Willow, Holm Oak, and Palm Leaf Waste Incorporated into Maleated Polypropylene (MAPP). Polymers 2022, 14, 4348. https://doi.org/10.3390/polym14204348
Gabrielli S, Caviglia M, Pastore G, Marcantoni E, Nobili F, Bottoni L, Catorci A, Bavasso I, Sarasini F, Tirillò J, et al. Chemical, Thermal and Mechanical Characterization of Licorice Root, Willow, Holm Oak, and Palm Leaf Waste Incorporated into Maleated Polypropylene (MAPP). Polymers. 2022; 14(20):4348. https://doi.org/10.3390/polym14204348
Chicago/Turabian StyleGabrielli, Serena, Miriam Caviglia, Genny Pastore, Enrico Marcantoni, Francesco Nobili, Luca Bottoni, Andrea Catorci, Irene Bavasso, Fabrizio Sarasini, Jacopo Tirillò, and et al. 2022. "Chemical, Thermal and Mechanical Characterization of Licorice Root, Willow, Holm Oak, and Palm Leaf Waste Incorporated into Maleated Polypropylene (MAPP)" Polymers 14, no. 20: 4348. https://doi.org/10.3390/polym14204348
APA StyleGabrielli, S., Caviglia, M., Pastore, G., Marcantoni, E., Nobili, F., Bottoni, L., Catorci, A., Bavasso, I., Sarasini, F., Tirillò, J., & Santulli, C. (2022). Chemical, Thermal and Mechanical Characterization of Licorice Root, Willow, Holm Oak, and Palm Leaf Waste Incorporated into Maleated Polypropylene (MAPP). Polymers, 14(20), 4348. https://doi.org/10.3390/polym14204348

