Performance Improvement of Gold Electrode towards Methanol Electrooxidation in Akaline Medium: Enhanced Current Density Achieved with Poly(aniline-co-2-hydroxyaniline) Coating at Low Overpotential
Abstract
:1. Introduction
2. Experimental
2.1. Materials and Equipment
2.2. Preparation of Copolymer Coated Electrode and Electrochemical Characterization
2.3. Sample Preparation for FTIR Analysis
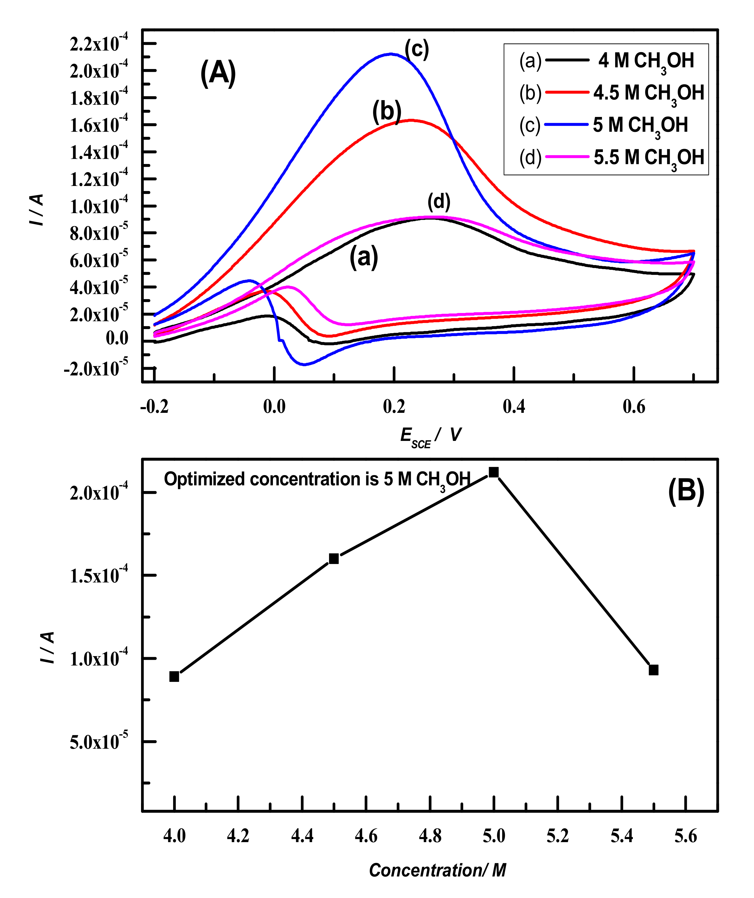
3. Results and Discussion
3.1. Electrochemical Preparation of Poly(aniline-co-2-hydroxyaniline) Coated Gold Electrode and Characterization
3.2. Electro Oxidation of Methanol on PACHA Coated Gold
- (a)
- Electro-oxidation of Methanol at Lower Potential Region
- (b)
- Electrooxidation of Methanol at Higher Potential Region
3.3. Electrochemical Impedance Study
4. Conclusions
Supplementary Materials
Author Contributions
Funding
Institutional Review Board Statement
Informed Consent Statement
Data Availability Statement
Acknowledgments
Conflicts of Interest
References
- Yusoff, N.; Kuman, S.V.; Rameshkumar, P.; Pandikumar, A.; Shahid, M.M.; Rehman, A.; Huang, M.N. A Facile Preparation of Titanium Dioxide-Iron Oxide Silicon Dioxide Incorporated Reduced Graphene Oxide Nanohybrid for Electrooxidation of Methanol in Alkaline Medium. Electrochim. Acta 2016, 192, 167–176. [Google Scholar] [CrossRef]
- Guo, D.J.; Qiu, X.P.; Chen, L.Q.; Zhu, W.T. Multi-Walled carbon nanotubes modified by sulfated TiO2–A promising support for Pt catalyst in a direct ethanol fuel cell. Carbon 2009, 47, 1680–1685. [Google Scholar] [CrossRef]
- Cui, G.; Shen, P.K.; Meng, H.; Zhao, J.; Wu, G. Tungsten carbide as supports for Pt electrocatalysts with improved CO tolerance in methanol oxidation. J. Power Sources 2011, 196, 6125–6130. [Google Scholar] [CrossRef]
- Guo, D.J.; Jing, Z.H. Electrocatalytic properties of platinum nanoparticles supported on fluorine tin dioxide/multi-walled carbon nanotube composites for methanol electrooxidation in acidic medium. J. Colloid Interface Sci. 2011, 359, 257–260. [Google Scholar] [CrossRef] [PubMed]
- Ortega, J.M. Conducting potential range for poly(o-aminophenol). Thin Solid Films 2000, 371, 28–35. [Google Scholar] [CrossRef]
- Wang, Y.; Li, L.; Hu, L.; Zhuang, L.; Lu, L.J.; Xu, B. A feasibility analysis for alkaline membrane direct methanol fuel cell: Thermodynamic disadvantages versus kinetic advantages. Electrochem. Commun. 2003, 5, 662–666. [Google Scholar] [CrossRef]
- Fang, J.; Shen, P.K. Quaternized poly (phthalazinon ether sulfone ketone) membrane for anion exchange membrane fuel cells. J. Membr. Sci. 2006, 285, 317–322. [Google Scholar] [CrossRef]
- Borkowska, Z.; Tymosiak-Zielinska, A.; Shul, G. Electrooxidation of methanol on polycrystalline and single crystal gold electrodes. Electrochim. Acta 2004, 49, 1209–1220. [Google Scholar] [CrossRef]
- Giorgi, L.; Leccese, F. Fuel cell technologies and applications. Open Fuel Cell J. 2013, 6, 1–20. [Google Scholar] [CrossRef] [Green Version]
- Yu, H.; Krewer, U.; Scott, K. Principles and materials aspects of direct alkaline alcohol fuel cells. Energies 2010, 3, 1499–1528. [Google Scholar] [CrossRef]
- Matsuoka, K.; Iriyama, Y.; Abe, T.; Matsuoka, M.; Ogumi, Z. Alkaline direct alcohol fuel cells using an anion exchange membrane. J. Power Sources 2005, 150, 27–31. [Google Scholar] [CrossRef]
- Slade, R.C.T.; Kizewski, J.P.; Poynton, S.D.; Zeng, R.; Varcoe, J.R. Alkalline Membrane Fuel Cells; Springer: New York, NY, USA, 2013; Volume 801, pp. 9–29. [Google Scholar]
- Simões, M.; Baranton, S.; Coutanceau, C. Electro-oxidation of glycerol at Pd based nano-catalysts for an application in alkaline fuel cells for chemicals and energy cogeneration. Appl. Catal. B Environ. 2010, 93, 354–362. [Google Scholar] [CrossRef]
- Mansoor, M.; Timmiati, S.N.; Wong, W.Y.; Zainoodin, A.M.; Lim, K.L.; Kamarudin, S.K. NiPd Supported on Mesostructured Silica Nanoparticle as Efficient Anode Electrocatalyst for Methanol Electrooxidation in Alkaline Media. Catalysts 2020, 10, 1325. [Google Scholar] [CrossRef]
- Gamburzev, S.; Petrov, K.; Appleby, A. Silver–carbon electrocatalyst for air cathodes in alkaline fuel cells. J. Appl. Electrochem. 2002, 32, 805–809. [Google Scholar] [CrossRef]
- Park, J.; Bae, S.; Park, J.-S.; Bong, S.; Lee, J. Crusty-Structured Cu@NiCo Nanoparticles as Anode Catalysts in Alkaline Fuel Cells. ACS Appl. Nano Mater. 2021, 4, 8145–8153. [Google Scholar] [CrossRef]
- Suntivich, J.; Gasteiger, H.A.; Yabuuchi, N.; Nakanishi, H.; Goodenough, J.B.; Shao-Horn, Y. Design principles for oxygen-reduction activity on perovskite oxide catalysts for fuel cells and metal–air batteries. Nat. Chem. 2011, 3, 546–550. [Google Scholar] [CrossRef]
- Janarthanan, R.; Serov, A.; Pilli, S.K.; Gamarra, D.A.; Atanassov, P.; Hibbs, M.R.; Herring, A. Direct Methanol Anion Exchange Membrane Fuel Cell with a Non-Platinum Group Metal Cathode based on Iron-Aminoantipyrine Catalyst. Electrochim. Acta 2015, 175, 202–208. [Google Scholar] [CrossRef] [Green Version]
- Jurzinsky, T.; Bär, R.; Cremers, C.; Tübke, J.; Elsner, P. Highly active carbon supported palladium-rhodium PdXRh/C catalysts for methanol electrooxidation in alkaline media and their performance in anion exchange direct methanol fuel cells (AEM-DMFCs). Electrochim. Acta 2015, 176, 1191–1201. [Google Scholar] [CrossRef]
- Li, P.-C.; Liao, G.M.; Kumar, S.R.; Shih, C.-M.; Yang, C.-C.; Wang, D.-M.; Lue, S.J. Fabrication and Characterization of Chitosan Nanoparticle-Incorporated Quaternized Poly(Vinyl Alcohol) Composite Membranes as Solid Electrolytes for Direct Methanol Alkaline Fuel Cells. Electrochim. Acta 2016, 187, 616–628. [Google Scholar] [CrossRef]
- Kruusenberg, I.; Ratso, S.; Vikkisk, M.; Kanninen, P.; Kallio, T.; Kannan, A.M.; Tammeveski, K. Highly active nitrogen-doped nanocarbon electrocatalysts for alkaline direct methanol fuel cell. J. Power Sources 2015, 281, 94–102. [Google Scholar] [CrossRef] [Green Version]
- Galvan, V.; Shrimant, B.; Bae, C.; Parkash, G.K.S. Ionomer significance in alkaline direct methanol fuel cell to achieve high power with a quarternized poly(terphenylene) membrane. ACS Appl. Energy Mater. 2021, 4, 5858–5867. [Google Scholar] [CrossRef]
- Brokwaska, Z.; Zielinska, A.T.; Nowakowski, R. High catalytic activity of chemically activated gold electrodes towards electro-oxidation of methanol. Electrochim. Acta 2004, 49, 2613–2621. [Google Scholar] [CrossRef]
- Kown, Y.; Lai, S.C.S.; Rodriguez, P.; Koper, M.T.M. Electrocatalytic Oxidation of Alcohols on Gold in Alkaline Media: Base or Gold Catalysis? J. Am. Chem. Soc. 2011, 133, 6914–6917. [Google Scholar] [CrossRef] [PubMed]
- Lv, C.-Q.; Liu, J.-H.; Wang, H.; Wang, G.-H. Origion of CO promoted methanol oxidation in alkaline media catalyzed by gold: A first-principal investigation. Catal. Commun. 2015, 60, 60–64. [Google Scholar] [CrossRef]
- Hernandez, J.; Solla-Gullon, J.; Herrero, E.; Aldaz, A.; Feliu, J.M. Methanol electrooxidation on gold nanoparticles in alkaline media: Unusual electrocatalytic activity. Electrochim. Acta 2006, 2, 1662–1669. [Google Scholar] [CrossRef]
- Parpot, P.; Muiuane, V.P.; Defontaine, V.; Bettencourt, A.P. Electrocatalytic oxidation of readily available disaccharides in alkaline medium at gold electrode. Electrochim. Acta 2010, 55, 3157–3163. [Google Scholar] [CrossRef]
- Cherevko, S.; Kulyk, N.; Chung, C.H. Utilization of surface active sites on gold in preparation of highly reactive interfaces for alcohols electrooxidation in alkaline media. Electrochim. Acta 2012, 69, 190–196. [Google Scholar] [CrossRef]
- Zhang, J.H.; Liang, Y.J.; Li, N.; Li, Z.Y.; Zu, C.; Jiang, S.P. A remarkable activity of glycerol electrooxidation on gold in alkaline medium. Electrochim. Acta 2012, 59, 156–159. [Google Scholar] [CrossRef]
- Shah, A.A.; Yasmeen, N.; Rahman, G.; Bilal, S. High Electrocatalytic Behaviour of Ni Impregnated Conducting Polymer Coated Platinum and Graphite Electrodes for Electrooxidation of Methanol. Electrochim. Acta 2017, 224, 468–474. [Google Scholar] [CrossRef]
- Shah, A.A.; Holze, R. Spectroelectrochemistry of aniline-o-aminophenol copolymers. Electrochim. Acta 2006, 52, 1374–1382. [Google Scholar] [CrossRef]
- Mu, S. Electrochemical copolymerization of aniline and o-aminophenol. Synth. Met. 2004, 143, 259–268. [Google Scholar]
- Yang, Y.; Mu, S. Poly (aniline-co-o-aminophenol): In situ Electrochemical–ESR Measurements in Aqueous Solutions and as a Probe of Radical Scavengers. J. Phys. Chem. C 2011, 115, 18721–18728. [Google Scholar] [CrossRef]
- Shah, A.A.; Holze, R. Copolymers and two-layered composites of poly(o-aminophenol) and polyaniline. J. Solid State Electrochem. 2005, 11, 38–51. [Google Scholar] [CrossRef]
- Mu, S.; Chen, C. Electron Spin Resonance Spectroscopic Studies on the Radical Scavenging Capacities of Catechin and Pyrogallol. J. Phy. Chem. C 2012, 116, 3065–3070. [Google Scholar] [CrossRef]
- Shah, A.A.; Inayat, A.; Bilal, S. Enhanced electrocatalytic behaviour of poy(aniline-co-2-hydroxyaniline) coated electrode for hydrogen peroxide electrooxidation. Catalysts 2019, 9, 631. [Google Scholar] [CrossRef] [Green Version]
- Korent, A.; Soderznik, K.Z.; Sturm, S.; Rozman, K.Z.; Redon, N.; Wojkiewicz, J.L.; Duc, C. Facile Fabrication of an Ammonia-Gas Sensor Using Electrochemically Synthesised Polyaniline on Commercial Screen-Printed Three-Electrode Systems. Sensors 2021, 21, 169. [Google Scholar] [CrossRef]
- Moravkova, Z.; Sedenkova, I.; Bober, P. The First Stages of Chemical and Electrochemical Aniline Oxidation—Spectroscopic Comparative Study. Appl. Sci. 2020, 10, 2091. [Google Scholar] [CrossRef] [Green Version]
- Quynh, B.T.P.; Byun, J.Y.; Kim, S.H. Non-Enzymatic amperometric detection of phenol and catechol using nanoporous gold. Sens. Actuators B Chem. 2015, 221, 191–200. [Google Scholar] [CrossRef]
- Samet, Y.; Kraiem, D.; Abdelhedi, R. Electropolymerization of phenol, o-nitrophenol and o-methoxyphenol on gold and carbon steel materials and their corrosion protection effects. Prog. Org. Coat. 2010, 69, 335. [Google Scholar] [CrossRef]
- Scot, A.J.; Penlidis, A. Computational Package for Copolymerization Reactivity Ratio Estimation: Improved Access to the Error-in-Variables-Model. Processes 2018, 6, 8. [Google Scholar] [CrossRef] [Green Version]
- Shah, A.A.; Holze, R. In situ UV–vis spectroelectrochemical studies of the copolymerization of o-aminophenol and aniline. Synth. Met. 2006, 156, 566–575. [Google Scholar] [CrossRef]
- Ibrahim, K.A. Synthesis and characterization of polyaniline and poly(aniline-co-o-nitroaniline) using vibrational spectroscopy. Arab. J. Chem. 2017, 10, S2668–S2674. [Google Scholar] [CrossRef] [Green Version]
- Dend, C. Synthesis and Characterization of Polyaniline. Master’s Thesis, University of Cincinnati, Cincinnati, OH, USA, 2020. [Google Scholar]
- Abdiryim, T.; Xiao-Gang, Z.; Jamal, R. Comparative studies of solid-state synthesized polyaniline doped with inorganic acids. Mater. Chem. Phys. 2005, 90, 367. [Google Scholar]
- Butoi, B.; Groza, A.; Dinca, P.; Balan, A.; Barna, V. Morphological and structural analysis of polyaniline and poly (o-anisidine) layers generated in a DC glow discharge plasma by using an oblique angle electrode deposition configuration. Polymers 2017, 9, 732. [Google Scholar] [CrossRef] [Green Version]
- Waware, U.S.; Hamouda, A.M.S.; Rashid, M. Poly (aniline-co-2-hydroxyaniline): Towards the thermal stability and higher solubility of polyaniline. App. Phy. A 2019, 125, 127. [Google Scholar] [CrossRef]
- Trivedi, M.K.; Tallapragda, R.M.; Branton, A.; Trivedi, D.; Nayak, G.; Kumar, R. Characterization of physical, thermal and spectral properties of biofield o-aminophenol. Pharm. Anal. Acta 2015, 6, 10. [Google Scholar]
- Syedi, N.; Zahedifar, M. Chitosan nanoparticles functionalized poly-2-hydroxyanilinesupported CuO nanoparticles: An efficient heterogeneousand recyclable nanocatalyst for N-arylation of amines withphenylboronic acid at ambient temperature. Appl. Organomet. Chem. 2021, 35, 6364. [Google Scholar]
- Holze, R. Copolymers—A refined way to tailor intrinsically conducting polymers. Electrochim. Acta. 2011, 56, 10479–10492. [Google Scholar] [CrossRef]
- Gebka, K.; Jarosz, T.; Stolarczyk, A. The Different Outcomes of Electrochemical Copolymerisation: 3-Hexylthiophene with Indole, Carbazole or Fluorene. Polymers 2019, 11, 355. [Google Scholar] [CrossRef] [Green Version]
- Assiongbon, K.A.; Roy, D. Electro-Oxidation of methanol on gold in alkaline media: Adsorption characteristics of reaction intermediates studied using time resolved electro-chemical impedance and surface plasmon resonance techniques. Surf. Sci. 2005, 594, 99–119. [Google Scholar] [CrossRef]
- Avramov-Ivić, M.; Jovanović, V.; Vlajnić, G.; Popić, J. The electrocatalytic properties of the oxides of noble metals in the electro-oxidation of some organic molecules. J. Electroanal. Chem. 1997, 423, 119–124. [Google Scholar] [CrossRef]
- Zhang, J.; Liu, P.; Ma, A.H.; Ding, Y. Nanostructured Porous Gold for Methanol Electro-Oxidation. J. Phys. Chem. C 2007, 111, 10382–10388. [Google Scholar] [CrossRef]
- Yu, C.; Jia, F.; Ai, Z.; Zhang, L. Direct Oxidation of Methanol on Self-Supported Nanoporous Gold Film Electrodes with High Catalytic Activity and Stability. Chem. Mater. 2007, 19, 6065–6067. [Google Scholar] [CrossRef]
- Golabi, S.M.; Nozad, A. Electrocatalytic Oxidation of Methanol at Lower Potentials on Glassy Carbon Electrode Modified by Platinum and Platinum Alloys Incorporated in Poly(o-Aminophenol) Film. Electroanalysis 2003, 15, 278–286. [Google Scholar] [CrossRef]
- Viliana, A.T.E.; Hwang, S.K.; Kwak, C.H.; Oh, S.Y.; Kim, C.; Leeb, G.W.; Lee, J.B.; Huh, Y.S.; Han, Y.K. Pt-Au bimetallic nanoparticles decorated on reduced graphene oxide as an excellent electrocatalysts for methanol oxidation. Synth. Met. 2016, 219, 52–59. [Google Scholar] [CrossRef]
- Pandey, R.K.; Lakshminarayanan, V. Electro-Oxidation of Formic Acid, Methanol, and Ethanol on Electrodeposited Pd-Polyaniline Nanofiber Films in Acidic and Alkaline Medium. J. Phys. Chem. C 2009, 113, 21596–21603. [Google Scholar] [CrossRef]
- Xie, A.; Tao, F.; Jiang, C.; Sun, W.; Li, Y.; Hu, L.; Du, X.; Luo, S.; Yao, C.A. Coralliform-structured γ-MnO2/polyaniline nanocomposite for high-performance supercapacitors. J. Electroanal. Chem. 2017, 789, 29–37. [Google Scholar] [CrossRef]
- Selvaraj, V.; Alagar, M. Pt and Pt–Ru nanoparticles decorated polypyrrole/multiwalled carbon nanotubes and their catalytic activity towards methanol oxidation. Electrochem. Commun. 2007, 9, 1145–1153. [Google Scholar] [CrossRef]
- Xie, A.; Zhou, X.; Zhou, W.; Cai, K.; Li, W.; Luo, S.; Yao, C. Fabrication of Pt/porous PANI using attapulgite as template for electro-oxidation of glycerol. Electrochim. Acta 2016, 189, 215–223. [Google Scholar] [CrossRef]
- Li, J.; Luo, Z.; Zuo, Y.; Liu, J.; Zhang, T.; Tang, P.; Arbiol, J.; Llorca, J.; Cabot, A. NiSn bimetallic nanoparticles as stable electrocatalysts for methanol oxidation reaction. Appl. Catal. B 2018, 234, 10−18. [Google Scholar] [CrossRef]
- Abdullah, M.I.; Hameed, A.; Zhang, N.; Islam, M.H.; Ma, M.; Pollet, B.G. Ultrasonically Surface-Activated Nickel Foam as a Highly Efficient Monolith Electrode for the Catalytic Oxidation of Methanol to Formate. ACS Appl. Mater. Interfaces 2021, 13, 30603–30613. [Google Scholar] [CrossRef] [PubMed]
- Danaee, I.; Jafarian, M.; Mirzapoor, A.; Gobal, F.; Mahjani, M. Electrooxidation of methanol on NiMn alloy modified graphite electrode. Electrochim. Acta 2010, 55, 2093−2100. [Google Scholar] [CrossRef]
- Gorshkov, N.V.; Mikhailova, D.A.; Vikulova, M.A.; Gorbunov, M.V.; Gorokhovskii, A.V. Electrochemical properties of hollandite K1.5Fe1.5Ti6.5O16 with carbon coating. Russ. J. Inor. Chem. 2021, 66, 1121–1127. [Google Scholar] [CrossRef]
- Nagashree, K.L.; Ahmed, M.F. Electrocatalytic oxidation of methanol on Cu modified polyaniline electrode in alkaline medium. J. Appl. Electrochem. 2009, 39, 403–410. [Google Scholar] [CrossRef]
- Jeng, K.T.; Chien, C.C.; Hsu, N.Y.; Huang, W.M.; Chiou, S.D.; Lin, S.D. Fabrication and impedance studies of DMFC anode incorporated with CNT-supported high-metal-content electrocatalyst. J. Power Sources 2007, 164, 33–44. [Google Scholar] [CrossRef]
- Cai, G.X.; Guo, J.W.; Wang, J.; Li, S. Negative resistance for methanol electro-oxidation on platinum/carbon (Pt/C) catalyst investigated by an electrochemical impedance spectroscopy. J. Power Sources 2015, 276, 279–290. [Google Scholar] [CrossRef]
- Yang, C.C.; Wu, T.; Chen, H.; Hsieh, T.; Ho, K.; Kuo, C.W. Platinum particles embedded into nanowires of polyaniline doped with poly(acrylic acid-co-maleic acid) as electrocatalyst for methanol oxidation. Int. J. Electrochem. Sci. 2011, 6, 1642–1654. [Google Scholar]
- Hameed, R.M.A.; Amin, R.S.; El-Khatib, K.M.; Fetohi, A.E. Preparation and characterization of Pt–CeO2/C and Pt–TiO2/C electrocatalysts with improved electrocatalytic activity for methanol oxidation. Appl. Surf. Sci. 2016, 367, 382–390. [Google Scholar] [CrossRef]













| Electrolyte | R1 (Ω) | CPE (F) | R2 (Ω) |
|---|---|---|---|
| 0.6 M NaOH +5 M CH3OH | 288 | 1.63 × 10−5 | 62,755 |
| 1.8 M NaOH +5 M CH3OH | 31.01 | 4.37 × 10−5 | 43,437 |
Publisher’s Note: MDPI stays neutral with regard to jurisdictional claims in published maps and institutional affiliations. |
© 2022 by the authors. Licensee MDPI, Basel, Switzerland. This article is an open access article distributed under the terms and conditions of the Creative Commons Attribution (CC BY) license (https://creativecommons.org/licenses/by/4.0/).
Share and Cite
Shah, A.u.H.A.; Zia, S.; Rahman, G.; Bilal, S. Performance Improvement of Gold Electrode towards Methanol Electrooxidation in Akaline Medium: Enhanced Current Density Achieved with Poly(aniline-co-2-hydroxyaniline) Coating at Low Overpotential. Polymers 2022, 14, 305. https://doi.org/10.3390/polym14020305
Shah AuHA, Zia S, Rahman G, Bilal S. Performance Improvement of Gold Electrode towards Methanol Electrooxidation in Akaline Medium: Enhanced Current Density Achieved with Poly(aniline-co-2-hydroxyaniline) Coating at Low Overpotential. Polymers. 2022; 14(2):305. https://doi.org/10.3390/polym14020305
Chicago/Turabian StyleShah, Anwar ul Haq Ali, Sadaf Zia, Gul Rahman, and Salma Bilal. 2022. "Performance Improvement of Gold Electrode towards Methanol Electrooxidation in Akaline Medium: Enhanced Current Density Achieved with Poly(aniline-co-2-hydroxyaniline) Coating at Low Overpotential" Polymers 14, no. 2: 305. https://doi.org/10.3390/polym14020305
APA StyleShah, A. u. H. A., Zia, S., Rahman, G., & Bilal, S. (2022). Performance Improvement of Gold Electrode towards Methanol Electrooxidation in Akaline Medium: Enhanced Current Density Achieved with Poly(aniline-co-2-hydroxyaniline) Coating at Low Overpotential. Polymers, 14(2), 305. https://doi.org/10.3390/polym14020305

