Methylethynyl-Terminated Polyimide Nanofibrous Membranes: High-Temperature-Resistant Adhesives with Low-Temperature Processability
Abstract
:1. Introduction
2. Materials and Methods
2.1. Materials
2.2. Characterization and Methods
2.3. Synthesis of METI Resins
2.4. Preparation of METI NFMs
2.5. Preparation of Stainless Steel Samples Adhered with the METI NFMs
3. Results and Discussion
3.1. Molecular Weight and Solubility
3.2. Electrospinning Fabrications of METI NFMs and the Micromorphology
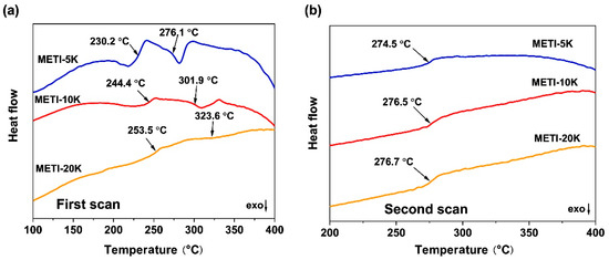
3.3. Thermal Properties
3.4. Adhesive Properties
4. Conclusions
Author Contributions
Funding
Institutional Review Board Statement
Informed Consent Statement
Data Availability Statement
Conflicts of Interest
References
- Ebnesajjad, S. Handbook of Adhesives and Surface Preparation: Technology Applications and Manufacturing, 1st ed.; Elsevier: Amsterdam, The Netherlands, 2011; Volume 9, pp. 185–220. [Google Scholar]
- Marques, E.; Da Silva, L.F.; Banea, M.; Carbas, R. Adhesive joints for low-and high-temperature use: An overview. J. Adhes. 2015, 91, 556–585. [Google Scholar] [CrossRef]
- Bowditch, M.; Shaw, S. Adhesive bonding for high performance materials. Adv. Perform. Mater. 1996, 3, 325–342. [Google Scholar] [CrossRef]
- Xu, S.; Guo, S.; Dillard, D.A. Evaluation of the long-term durability of high-performance polyimide adhesives for bonding titanium. J. Adhes. 2004, 80, 1153–1172. [Google Scholar]
- Cheng, S.; Han, J.; Wang, X.; Yuan, K.; Jian, X.; Wang, J. Oxidatively stable thermosets derived from thermal copolymerization of acetylene-terminated imide monomer with an acetylenic monomer containing carborane. Polymer 2017, 115, 96–105. [Google Scholar] [CrossRef]
- Naito, K.; Onta, M.; Kogo, Y. The effect of adhesive thickness on tensile and shear strength of polyimide adhesive. Int. J. Adhes. Adhes. 2012, 36, 77–85. [Google Scholar] [CrossRef]
- Connell, J.W.; Smith, J.J.; Hergenrother, P.M.; Rommel, M.L. Neat resin, adhesive and composite properties of reactive additive/PETI-5 blends. High Perform. Polym. 2000, 12, 323–334. [Google Scholar] [CrossRef]
- Connell, J.W.; Smith, J.J.; Hergenrother, P.M.; Cris, J.M. High temperature transfer molding resins: Laminate properties of PETI-298 and PETI-330. High Perform. Polym. 2003, 15, 375–394. [Google Scholar] [CrossRef]
- Yu, P.; Wang, Y.; Yu, J.; Zhu, J.; Hu, Z. Influence of different ratios of a-ODPA/a-BPDA on the properties of phenylethynyl terminated polyimide. J. Polym. Res. 2018, 25, 110. [Google Scholar] [CrossRef]
- Tan, B.; Vasudevan, V.; Lee, Y.J.; Gardner, S.R.; Davis, M.; Bullions, T.; Loos, A.C.; Parvatareddy, H.; Dillard, D.A.; McGrath, J.E.; et al. Design and characterization of thermosetting polyimide structural adhesive and composite matrix systems. J. Polym. Sci. Part A Pol. Chem. 1997, 35, 2943–2954. [Google Scholar] [CrossRef]
- An, H.Y.; Zhan, M.S.; Wang, K. Synthesis and properties of fluorene-based polyimide adhesives. Polym. Eng. Sci. 2011, 51, 1533–1540. [Google Scholar] [CrossRef]
- Smith, J.J.; Connell, J.W.; Hergenrother, P. Imide oligomers containing pendent and terminal phenylethynyl groups. Polymer 1997, 38, 4657–4665. [Google Scholar] [CrossRef]
- Del, C.A.; Arzt, E. Design parameters and current fabrication approaches for developing bioinspired dry adhesives. Macromol. Biosci. 2007, 7, 118–127. [Google Scholar]
- Ratta, V.; Stancik, E.J.; Ayambem, A.; Pavatareddy, H.; McGrath, J.E.; Wilkes, G.L. A melt-processable semicrystalline polyimide structural adhesive based on 1, 3-bis (4-aminophenoxy) benzene and 3,3′,4,4′-biphenyltetracarboxylic dianhydride. Polymer 1999, 40, 1889–1902. [Google Scholar] [CrossRef]
- Kadiyala, A.K.; Sharma, M.; Bijwe, J. Exploration of thermoplastic polyimide as high temperature adhesive and understanding the interfacial chemistry using XPS, ToF-SIMS and Raman spectroscopy. Mater. Design 2016, 109, 622–633. [Google Scholar] [CrossRef]
- St Clair, T.; Progar, D. A novel addition polyimide adhesive. In NASA Technical Memorandum; Report NASA-TM-81976; Nation Aeronautics and Space Administration: Hampton, VA, USA, 1981. [Google Scholar]
- Kuhbander, R.; Aponyi, T. Thermid 600 adhesive formulation studies. In Proceedings of the 11th National SAMPE Technical Conference, Boston, MA, USA, 13–15 November 1979; Volume 11, pp. 295–308. [Google Scholar]
- Connell, J.W.; Smith, J.J.; Hergenrother, P.M. Imide oligomers containing pendent and terminal phenylethynyl groups-II. High Perform. Polym. 1998, 10, 273–284. [Google Scholar] [CrossRef]
- Progar, D.J. Evaluation of polyimide films as adhesives. J. Adhes. Sci. Technol. 1987, 1, 53–68. [Google Scholar] [CrossRef]
- Ding, Y.; Hou, H.; Zhao, Y.; Zhu, Z.; Fong, H. Electrospun polyimide nanofibers and their applications. Prog. Polym. Sci. 2016, 61, 67–103. [Google Scholar]
- Guo, C.; Liu, J.; Yin, L.; Huangfu, M.; Zhang, Y.; Wu, X.; Zhang, X. Preparation and characterization of electrospun polyimide microfibrous mats with high whiteness and high thermal stability from organo-soluble polyimides containing rigid-rod moieties. Fiber. Polym. 2018, 19, 1706–1714. [Google Scholar] [CrossRef]
- Guo, C.; Wang, Q.; Liu, J.; Qi, L.; Huangfu, M.; Wu, X.; Zhang, Y.; Zhang, X. Electrospun polyimide ultrafine non-woven fabrics with high whiteness and good thermal stability from organo-soluble semi-alicyclic polyimides: Preparation and properties. Express Polym. Lett. 2019, 13, 724–738. [Google Scholar] [CrossRef]
- Hao, Z.; Wu, J.; Wang, C.; Liu, J. Electrospun polyimide/metal-organic framework nanofibrous membrane with superior thermal stability for efficient PM2.5 capture. ACS Appl. Mater. Inter. 2019, 11, 11904–11909. [Google Scholar] [CrossRef] [PubMed]
- Qi, L.; Guo, C.; Huangfu, M.; Zhang, Y.; Yin, L.; Wu, L.; Liu, J.; Zhang, X.M. Enhancement of solvent resistance of polyimide electrospun mat via the UV-assisted electrospinning and photosensitive varnish. Polymers 2019, 11, 2055. [Google Scholar] [CrossRef] [PubMed]
- Qi, L.; Guo, C.; Huangfu, M.; Zhang, Y.; Wu, L.; Zhi, X.; Liu, J.; Zhang, X. Highly solvent-stable polyimide ultrafine NFMs fabricated by a novel ultraviolet-assisted electrospinning technique via organo-soluble intrinsically negative photosensitive varnishes. Express Polym. Lett. 2021, 15, 72–87. [Google Scholar] [CrossRef]
- Qi, H.; Shen, D.; Jia, Y.; An, Y.; Wu, H.; Wei, X.; Zhang, Y.; Zhi, X.; Liu, J. Preparation and properties of electrospun phenylethynyl-terminated polyimide nano-NFMs with potential applications as solvent-free and high-temperature resistant adhesives for harsh environments. Nanomaterials 2021, 11, 1525. [Google Scholar] [CrossRef] [PubMed]
- Wu, G.L.; Li, J.L.; Wang, K.K.; Wang, Y.Q.; Pan, C.; Feng, A.L. In situ synthesis and preparation of TiO2/polyimide composite containing phenolphthalein functional group. J. Mater. Sci. Mater. Electron. 2017, 28, 6544–6551. [Google Scholar] [CrossRef]
- Zhang, C.L.; Cao, B.; Li, P. Thermal oxidative crosslinking of phenolphthalein-based cardo polyimides with enhanced gas permeability and selectivity. J. Membr. Sci. 2018, 546, 90–99. [Google Scholar] [CrossRef]
- Yang, C.P.; Lin, J.H. Preparation and properties of aromatic polyamides and polyimides derived from 3,3-bis [4-(4-aminophenoxy) phenyl] phthalide. J. Polym. Sci. Pol. Chem. 1994, 32, 423–433. [Google Scholar] [CrossRef]
- GB/T 7124-2008; ISO 4587:2003; Adhesives—Determination of Tensile Lap-Shear Strength of Rigid-to-Rigid Bonded Assemblies. Administration of Quality Supervision, Inspection and Quarantine: Beijing, China, 2008.
- GJB 444-1988; Test Method for High Temperature Tensile Shear Strength of Adhesives (Metal to Metal). Commission of Science, Technology and Industry for National Defense of the People’s Republic of China: Beijing, China, 1988.
- Yuan, L.; Ji, M.; Yang, S. Molecular weight controlled poly (amic acid) resins end-capped with phenylethynyl groups for manufacturing advanced polyimide films. J. Appl. Polym. Sci. 2017, 134, 45168. [Google Scholar] [CrossRef]
- Fang, X.; Xie, X.Q.; Simone, C.D.; Stevens, M.P.; Scola, D.A. A solid-state 13c NMR study of the cure of 13c-labeled phenylethynyl end-capped polyimides. Macromolecules 2000, 33, 1671–1681. [Google Scholar] [CrossRef]
- Zhang, P.; Liu, H.; Yao, Y.; Yang, T.; Sun, J.; Zhong, X.; Bao, J.; Zhao, Y.; Chen, X. Preparation and properties of modified phenylethynyl terminated polyimide with neodymium oxide. Materials 2022, 15, 4148. [Google Scholar] [CrossRef]
- Li, K.; Ding, J.; Guo, Y.; Wu, H.; Wang, W.; Ji, J.; Pei, Q.; Gong, C.; Ji, Z.; Wang, X. Direct ink writing of phenylethynyl end-capped oligoimide/SiO2 to additively manufacture high-performance thermosetting polyimide composites. Polymers 2022, 14, 2669. [Google Scholar] [CrossRef] [PubMed]
- Hong, W.; Yuan, L.; Ma, T.; Cui, C.; Zhang, H.; Yang, S.; Sun, W. Resin transfer moldable fluorinated phenylethynyl-terminated imide oligomers with high Tg: Structure-melt stability relationship. Polymers 2021, 13, 903. [Google Scholar] [CrossRef] [PubMed]
- Feng, X.; Li, G. UV curable, flame retardant, and pressure-sensitive adhesives with two-way shape memory effect. Polymer 2022, 249, 124835. [Google Scholar] [CrossRef]
- Saeed, M.B.; Zhan, M.S. Adhesive strength of partially imidized thermoplastic polyimide films in bonded joints. Int. J. Adhes. Adhes. 2007, 27, 9–19. [Google Scholar] [CrossRef]












| PI | ODPA (g, mol) | BAPPT (g, mol) | MEPA (g, mmol) |
|---|---|---|---|
| METI-5K | 10.0015, 32.2410 | 19.1412, 38.2411 | 2.2339, 12.0 |
| METI-10K | 10.9975, 34.4516 | 19.2616, 38.4816 | 1.1170, 6.0 |
| PI | (η)inh a (dL/g) | Molecular Weight b (×104 g/mol) | Solubility c | ||||||
|---|---|---|---|---|---|---|---|---|---|
| Mn | Mw | PDI | NMP | DMAc | DMF | CHCl3 | THF | ||
| METI-5K | 1.16 | 1.59 | 2.17 | 1.36 | ++ | ++ | ++ | +− | +− |
| METI-10K | 1.22 | 1.71 | 3.63 | 2.12 | ++ | ++ | ++ | +− | +− |
| METI-20K | 1.01 | 3.53 | 5.87 | 1.66 | ++ | ++ | ++ | +− | +− |
| PI-ref d | 1.21 | 19.0 | 25.8 | 1.36 | ++ | ++ | ++ | +− | − |
| Samples | T5% a (°C) | T10% a (°C) | Rw700 a (wt%) | Tg1 b (°C) | Tc b (°C) | Tg b (°C) |
|---|---|---|---|---|---|---|
| METI-5K | 522.5 | 552.7 | 64.6 | 230.2 | 276.1 | 274.5 |
| METI-10K | 520.2 | 549.9 | 64.7 | 244.4 | 301.9 | 276.5 |
| METI-20K | 534.8 | 554.7 | 65.9 | 253.5 | 323.6 | 276.7 |
| PI-ref | 514.1 | 527.6 | 59.0 | - | - | 288.7 |
| Samples | LSS25 a (MPa) | LSS200 a (MPa) |
|---|---|---|
| METI-5K | 27.2 | 23.8 |
| METI-10K | 29.6 | 26.2 |
| METI-20K | 26.3 | 22.6 |
| PETI-10K b | 26.4 | 23.2 |
| PI-ref | 18.6 | 16.7 |
Publisher’s Note: MDPI stays neutral with regard to jurisdictional claims in published maps and institutional affiliations. |
© 2022 by the authors. Licensee MDPI, Basel, Switzerland. This article is an open access article distributed under the terms and conditions of the Creative Commons Attribution (CC BY) license (https://creativecommons.org/licenses/by/4.0/).
Share and Cite
Qi, H.; Ren, X.; Liu, Y.; Dai, S.; Yang, C.; Wang, X.; Liu, J. Methylethynyl-Terminated Polyimide Nanofibrous Membranes: High-Temperature-Resistant Adhesives with Low-Temperature Processability. Polymers 2022, 14, 4078. https://doi.org/10.3390/polym14194078
Qi H, Ren X, Liu Y, Dai S, Yang C, Wang X, Liu J. Methylethynyl-Terminated Polyimide Nanofibrous Membranes: High-Temperature-Resistant Adhesives with Low-Temperature Processability. Polymers. 2022; 14(19):4078. https://doi.org/10.3390/polym14194078
Chicago/Turabian StyleQi, Haoran, Xi Ren, Yuang Liu, Shengwei Dai, Changxu Yang, Xiaolei Wang, and Jingang Liu. 2022. "Methylethynyl-Terminated Polyimide Nanofibrous Membranes: High-Temperature-Resistant Adhesives with Low-Temperature Processability" Polymers 14, no. 19: 4078. https://doi.org/10.3390/polym14194078
APA StyleQi, H., Ren, X., Liu, Y., Dai, S., Yang, C., Wang, X., & Liu, J. (2022). Methylethynyl-Terminated Polyimide Nanofibrous Membranes: High-Temperature-Resistant Adhesives with Low-Temperature Processability. Polymers, 14(19), 4078. https://doi.org/10.3390/polym14194078

