Development of Polymeric-Based Formulation as Potential Smart Colonic Drug Delivery System
Abstract
:1. Introduction
2. Materials and Methods
2.1. Materials
2.2. Methods
2.2.1. Preparation of Smart Polymeric Formulations
2.2.2. Dynamic Mechanical Thermal (DMT) Analysis
2.2.3. Mechanical Properties
2.2.4. In Vitro Swelling Evaluation
2.2.5. In Vitro Drug Release Studies
3. Results and Discussion
3.1. Preparation of Smart Polymeric Formulations
3.2. Dynamic Mechanical Thermal (DMT) Analysis
3.3. Mechanical Properties
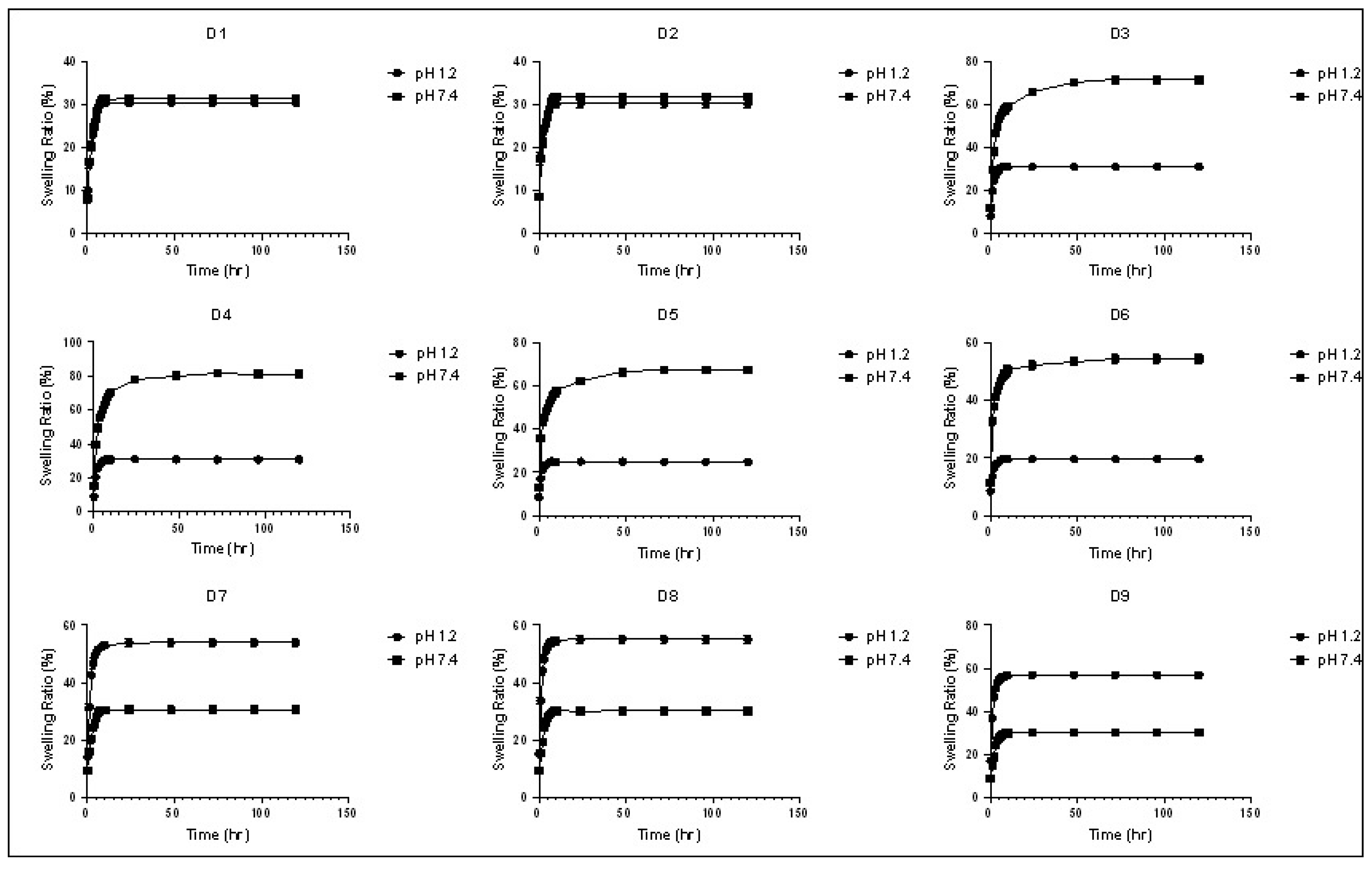
3.4. In Vitro Swelling Evaluation
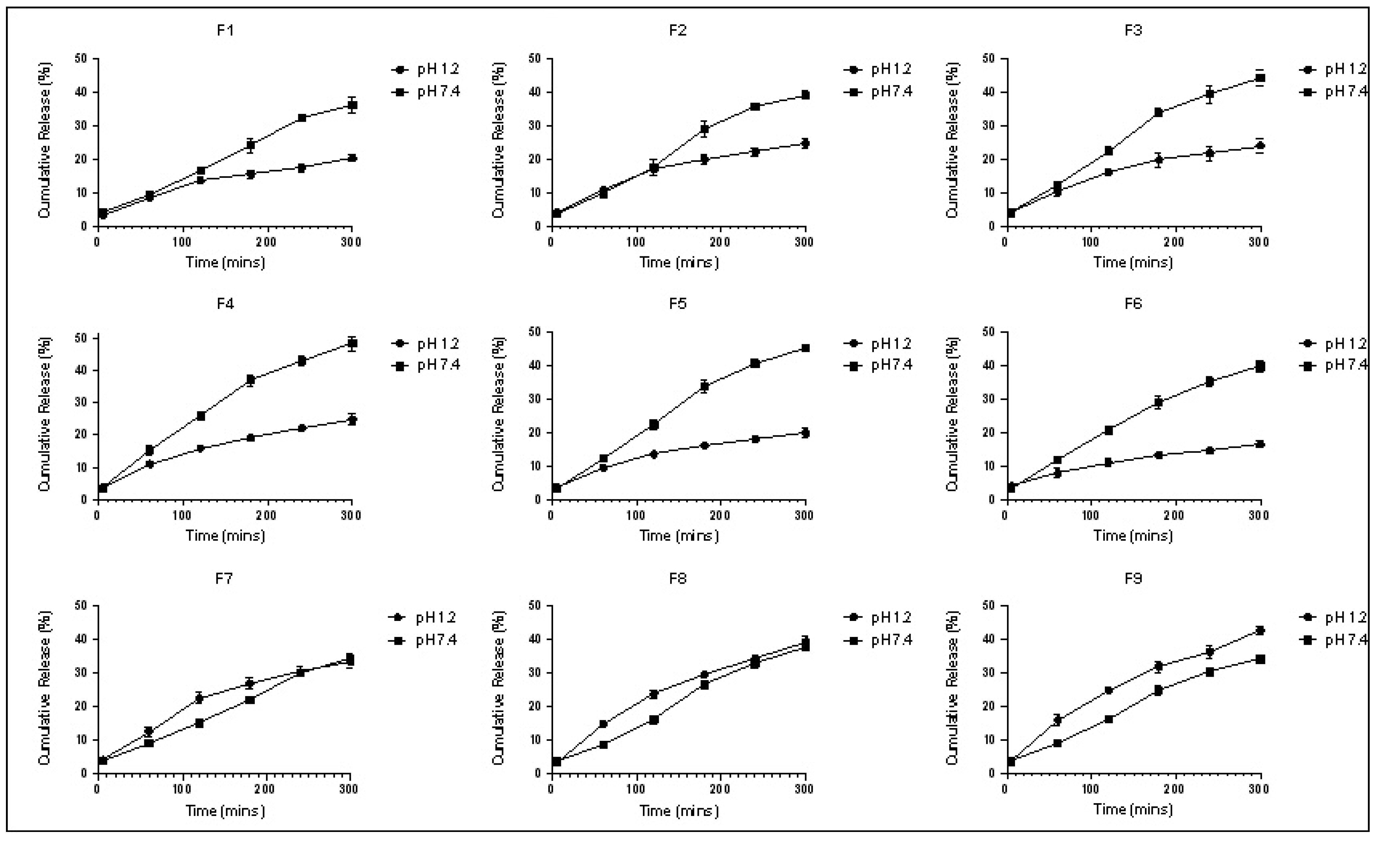
3.5. In Vitro Drug Release Studies
4. Conclusions
Supplementary Materials
Author Contributions
Funding
Institutional Review Board Statement
Informed Consent Statement
Data Availability Statement
Acknowledgments
Conflicts of Interest
References
- Xu, Y.; Shrestha, N.; Préat, V.; Beloqui, A. Overcoming the intestinal barrier: A look into targeting approaches for improved oral drug delivery systems. J. Control. Release 2020, 322, 486–508. [Google Scholar] [CrossRef] [PubMed]
- Bayan, M.F.; Bayan, R.F. Recent advances in mesalamine colonic delivery systems. Futur. J. Pharm. Sci. 2020, 6, 1–7. [Google Scholar] [CrossRef]
- Ruan, W.; Engevik, M.A.; Spinler, J.K.; Versalovic, J. Healthy Human Gastrointestinal Microbiome: Composition and Function After a Decade of Exploration. Dig. Dis. Sci. 2020, 65, 695–705. [Google Scholar] [CrossRef]
- Bayan, M.F.; Salem, M.S.; Bayan, R.F. Development and In Vitro Evaluation of a Large-Intestinal Drug Delivery System. Res. J. Pharm. Technol. 2022, 15, 35–39. [Google Scholar] [CrossRef]
- Guo, Y.; Zong, S.; Pu, Y.; Xu, B.; Zhang, T.; Wang, B. Advances in pharmaceutical strategies enhancing the efficiencies of oral colon-targeted delivery systems in inflammatory bowel disease. Molecules 2018, 23, 1622. [Google Scholar] [CrossRef] [PubMed]
- Ginwala, R.; Bhavsar, R.; Chigbu, D.G.I.; Jain, P.; Khan, Z.K. Potential Role of Flavonoids in Treating Chronic Inflammatory Diseases with a Special Focus on the Anti-Inflammatory Activity of Apigenin. Antioxidants 2019, 8, 35. [Google Scholar] [CrossRef]
- Veloso, P.M.; Machado, R.; Nobre, C. Mesalazine and inflammatory bowel disease—From well-established therapies to progress beyond the state of the art. Eur. J. Pharm. Biopharm. 2021, 167, 89–103. [Google Scholar] [CrossRef] [PubMed]
- Bak, A.; Ashford, M.; Brayden, D.J. Local delivery of macromolecules to treat diseases associated with the colon. Adv. Drug Deliv. Rev. 2018, 136, 2–7. [Google Scholar] [CrossRef]
- Sardou, H.S.; Akhgari, A.; Mohammadpour, A.H.; Namdar, A.B.; Kamali, H.; Jafarian, A.H.; Garekani, H.A.; Sadeghi, F. Optimization study of combined enteric and time-dependent polymethacrylates as a coating for colon targeted delivery of 5-ASA pellets in rats with ulcerative colitis. Eur. J. Pharm. Sci. 2021, 168, 106072. [Google Scholar] [CrossRef]
- Rehman, F.; Rahim, A.; Airoldi, C.; Volpe, P.L. Preparation and characterization of glycidyl methacrylate organo bridges grafted mesoporous silica SBA-15 as ibuprofen and mesalamine carrier for controlled release. Mater. Sci. Eng. C 2016, 59, 970–979. [Google Scholar] [CrossRef]
- Mirabbasi, F.; Dorkoosh, F.A.; Moghimi, A.; Shahsavari, S.; Babanejad, N.; Seifirad, S. Preparation of Mesalamine Nanoparticles Using a Novel Polyurethane-Chitosan Graft Copolymer. Pharm. Nanotechnol. 2018, 5, 230–239. [Google Scholar] [CrossRef] [PubMed]
- Englert, C.; Brendel, J.C.; Majdanski, T.C.; Yildirim, T.; Schubert, S.; Gottschaldt, M.; Windhab, N.; Schubert, U.S. Pharmapolymers in the 21st century: Synthetic polymers in drug delivery applications. Prog. Polym. Sci. 2018, 87, 107–164. [Google Scholar]
- Tomić, S.; Nikodinović-Runić, J.; Vukomanović, M.; Babić, M.M.; Vuković, J.S. Novel Hydrogel Scaffolds Based on Alginate, Gelatin, 2-Hydroxyethyl Methacrylate, and Hydroxyapatite. Polymers 2021, 13, 932. [Google Scholar] [CrossRef] [PubMed]
- Roointan, A.; Farzanfar, J.; Mohammadi-Samani, S.; Behzad-Behbahani, A.; Farjadian, F. Smart pH responsive drug delivery system based on poly (HEMA-co-DMAEMA) nanohydrogel. Int. J. Pharm. 2018, 552, 301–311. [Google Scholar] [CrossRef] [PubMed]
- Zia, M.A.; Sohail, M.; Minhas, M.U.; Sarfraz, R.M.; Khan, S.; de Matas, M.; Hussain, Z.; Abbasi, M.; Shah, S.A.; Kousar, M.; et al. HEMA based pH-sensitive semi IPN microgels for oral delivery; A rationale approach for ketoprofen. Drug Dev. Ind. Pharm. 2020, 46, 272–282. [Google Scholar] [CrossRef]
- Obaidat, R.M.; Tashtoush, B.M.; Bayan, M.F.; Al Bustami, R.T.; Alnaief, M. Drying Using Supercritical Fluid Technology as a Potential Method for Preparation of Chitosan Aerogel Microparticles. AAPS PharmSciTech 2015, 16, 1235–1244. [Google Scholar] [CrossRef]
- Li, S.; Madan, P.; Lin, S. Application of Capmul MCM and caprylic acid for the development of danazol-loaded SEDDS. Pharm. Dev. Technol. 2014, 20, 886–896. [Google Scholar] [CrossRef]
- Shailendrakumar, A.M.; Ghate, V.M.; Kinra, M.; Lewis, S.A. Improved Oral Pharmacokinetics of Pentoxifylline with Palm Oil and Capmul® MCM Containing Self-Nano-Emulsifying Drug Delivery System. AAPS PharmSciTech 2020, 21, 1–12. [Google Scholar]
- Bayan, M.F. Drug release control and enhancement using carriers with different concentrations of Capmul® MCM c8. Int. J. Appl. Pharm. 2021, 13, 249–252. [Google Scholar] [CrossRef]
- Saraydin, D.; Çaldiran, Y. In vitro dynamic swelling behaviors of polyhydroxamic acid hydrogels in the simulated physiological body fluids. Polym. Bull. 2001, 46, 91–98. [Google Scholar] [CrossRef]
- Garnica-Palafox, I.M.; Sánchez-Arévalo, F.M. Influence of natural and synthetic crosslinking reagents on the structural and mechanical properties of chitosan-based hybrid hydrogels. Carbohydr. Polym. 2016, 151, 1073–1081. [Google Scholar] [CrossRef] [PubMed]
- Khan, H.; Chaudhary, J.P.; Meena, R. Anionic carboxymethylagarose-based pH-responsive smart superabsorbent hydrogels for controlled release of anticancer drug. Int. J. Biol. Macromol. 2019, 124, 1220–1229. [Google Scholar] [CrossRef] [PubMed]
- Onoyima, C.C.; Okibe, F.G.; Sholadoye, Q.O. Kinetics and mechanisms of doxorubicin release from hydroxyapatite-sodium alginate nanocomposite. Niger. J. Pharm. Appl. Sci. Res. 2020, 9, 7–13. [Google Scholar]
- de Stéfano, J.C.Q.; Abundis-Correa, V.; Herrera-Flores, S.D.; Alvarez, A.J. pH-sensitive starch-based hydrogels: Synthesis and effect of molecular components on drug release behavior. Polymers 2020, 12, 1974. [Google Scholar] [CrossRef] [PubMed]




| Formula | HEMA (% w/w) | MAA (% w/w) | DMAEMA (% w/w) | EGDMA (% w/w) | Capmul MCM C8 (% w/w) | AIBN (% w/w) | 5-Amino Salicylic Acid (% w/w) |
|---|---|---|---|---|---|---|---|
| D1 | 98 | - | - | 1 | - | 1 | - |
| D2 | 78 | - | - | 1 | 20 | 1 | - |
| D3 | 68 | 10 | - | 1 | 20 | 1 | - |
| D4 | 58 | 20 | - | 1 | 20 | 1 | - |
| D5 | 54 | 20 | - | 5 | 20 | 1 | - |
| D6 | 49 | 20 | - | 10 | 20 | 1 | - |
| D7 | 88 | - | 10 | 1 | - | 1 | - |
| D8 | 68 | - | 10 | 1 | 20 | 1 | - |
| D9 | 58 | - | 20 | 1 | 20 | 1 | - |
| F1 | 93 | - | - | 1 | - | 1 | 5 |
| F2 | 73 | - | - | 1 | 20 | 1 | 5 |
| F3 | 63 | 10 | - | 1 | 20 | 1 | 5 |
| F4 | 53 | 20 | - | 1 | 20 | 1 | 5 |
| F5 | 49 | 20 | - | 5 | 20 | 1 | 5 |
| F6 | 44 | 20 | - | 10 | 20 | 1 | 5 |
| F7 | 83 | - | 10 | 1 | - | 1 | 5 |
| F8 | 63 | - | 10 | 1 | 20 | 1 | 5 |
| F9 | 53 | - | 20 | 1 | 20 | 1 | 5 |
| Formulation | EE% |
|---|---|
| F1 | 90.11 ± 1.84 |
| F2 | 92.73 ± 2.45 |
| F3 | 92.79 ± 1.97 |
| F4 | 93.79 ± 1.16 |
| F5 | 92.48 ± 2.01 |
| F6 | 91.92 ± 3.07 |
| F7 | 91.05 ± 0.53 |
| F8 | 92.31 ± 1.42 |
| F9 | 92.20 ± 1.38 |
| Formulation | Tg (°C) |
|---|---|
| D1 | 127.4 ± 1.27 |
| D2 | 126.6 ± 0.66 |
| D3 | 123.4 ± 0.95 |
| D4 | 120.3 ± 0.78 |
| D5 | 122.6 ± 0.81 |
| D6 | 125.1 ± 1.15 |
| D7 | 129.5 ± 1.04 |
| D8 | 128.1 ± 1.18 |
| D9 | 128.4 ± 0.71 |
| F1 | 126.3 ± 0.91 |
| F2 | 126.0 ± 1.10 |
| F3 | 122.9 ± 0.87 |
| F4 | 121.8 ± 1.31 |
| F5 | 123.0 ± 1.17 |
| F6 | 125.4 ± 0.57 |
| F7 | 129.2 ± 1.39 |
| F8 | 128.6 ± 1.22 |
| F9 | 129.8 ± 0.62 |
| Formulation | Tensile Strength (MPa) | Young’s Modulus (MPa) | Tensile Elongation at Break (%) |
|---|---|---|---|
| D1 | 5.34 ± 0.52 | 33.02 ± 0.87 | 2.38 ± 0.19 |
| D2 | 5.06 ± 0.19 | 31.07 ± 0.49 | 2.08 ± 0.29 |
| D3 | 4.67 ± 0.43 | 28.47 ± 0.79 | 2.62 ± 0.12 |
| D4 | 4.40 ± 0.24 | 23.99 ± 1.26 | 3.97 ± 0.32 |
| D5 | 5.05 ± 0.20 | 27.42 ± 0.71 | 3.25 ± 0.21 |
| D6 | 5.45 ± 0.30 | 33.76 ± 0.36 | 2.35 ± 0.25 |
| D7 | 5.79 ± 0.22 | 36.64 ± 1.76 | 2.07 ± 0.58 |
| D8 | 5.30 ± 0.41 | 33.21 ± 0.77 | 2.52 ± 0.31 |
| D9 | 6.10 ± 0.32 | 37.79 ± 2.60 | 2.15 ± 0.60 |
| F1 | 5.10 ± 0.45 | 32.00 ± 0.50 | 2.38 ± 0.38 |
| F2 | 5.89 ± 1.05 | 30.99 ± 0.79 | 1.92 ± 0.10 |
| F3 | 5.57 ± 0.43 | 26.86 ± 0.90 | 2.93 ± 0.50 |
| F4 | 4.66 ± 0.41 | 25.09 ± 0.64 | 3.87 ± 0.23 |
| F5 | 4.94 ± 0.29 | 27.60 ± 1.04 | 3.18 ± 0.27 |
| F6 | 5.37 ± 0.17 | 31.61 ± 1.28 | 2.43 ± 0.29 |
| F7 | 5.84 ± 0.34 | 36.48 ± 1.95 | 2.15 ± 0.47 |
| F8 | 5.65 ± 0.41 | 33.98 ± 1.35 | 2.60 ± 0.23 |
| F9 | 6.08 ± 0.07 | 37.06 ± 3.00 | 2.07 ± 0.50 |
| Formulation | R2 | k |
|---|---|---|
| D1 pH 1.2 | 0.987 | 0.177 |
| D2 pH 1.2 | 0.999 | 0.176 |
| D3 pH 1.2 | 0.982 | 0.185 |
| D4 pH 1.2 | 0.979 | 0.191 |
| D5 pH 1.2 | 0.980 | 0.165 |
| D6 pH 1.2 | 0.994 | 0.138 |
| D7 pH 1.2 | 0.982 | 0.314 |
| D8 pH 1.2 | 0.982 | 0.331 |
| D9 pH 1.2 | 0.979 | 0.355 |
| D1 pH 7.4 | 0.997 | 0.171 |
| D2 pH 7.4 | 0.998 | 0.175 |
| D3 pH 7.4 | 0.995 | 0.297 |
| D4 pH 7.4 | 0.985 | 0.369 |
| D5 pH 7.4 | 0.969 | 0.313 |
| D6 pH 7.4 | 0.965 | 0.280 |
| D7 pH 7.4 | 0.985 | 0.176 |
| D8 pH 7.4 | 0.973 | 0.174 |
| D9 pH 7.4 | 0.971 | 0.168 |
| Formulation | R2 | n | k |
|---|---|---|---|
| F1 pH 1.2 | 0.989 | 0.444 | 0.095 |
| F2 pH 1.2 | 0.994 | 0.450 | 0.119 |
| F3 pH 1.2 | 0.993 | 0.453 | 0.115 |
| F4 pH 1.2 | 0.998 | 0.449 | 0.117 |
| F5 pH 1.2 | 0.997 | 0.398 | 0.103 |
| F6 pH 1.2 | 0.983 | 0.343 | 0.090 |
| F7 pH 1.2 | 0.990 | 0.518 | 0.147 |
| F8 pH 1.2 | 0.994 | 0.585 | 0.154 |
| F9 pH 1.2 | 0.999 | 0.598 | 0.162 |
| F1 pH 7.4 | 0.965 | 0.556 | 0.133 |
| F2 pH 7.4 | 0.969 | 0.586 | 0.138 |
| F3 pH 7.4 | 0.985 | 0.606 | 0.159 |
| F4 pH 7.4 | 0.997 | 0.634 | 0.172 |
| F5 pH 7.4 | 0.989 | 0.639 | 0.153 |
| F6 pH 7.4 | 0.993 | 0.610 | 0.142 |
| F7 pH 7.4 | 0.964 | 0.541 | 0.128 |
| F8 pH 7.4 | 0.961 | 0.587 | 0.131 |
| F9 pH 7.4 | 0.972 | 0.570 | 0.127 |
Publisher’s Note: MDPI stays neutral with regard to jurisdictional claims in published maps and institutional affiliations. |
© 2022 by the authors. Licensee MDPI, Basel, Switzerland. This article is an open access article distributed under the terms and conditions of the Creative Commons Attribution (CC BY) license (https://creativecommons.org/licenses/by/4.0/).
Share and Cite
Bayan, M.F.; Marji, S.M.; Salem, M.S.; Begum, M.Y.; Chidambaram, K.; Chandrasekaran, B. Development of Polymeric-Based Formulation as Potential Smart Colonic Drug Delivery System. Polymers 2022, 14, 3697. https://doi.org/10.3390/polym14173697
Bayan MF, Marji SM, Salem MS, Begum MY, Chidambaram K, Chandrasekaran B. Development of Polymeric-Based Formulation as Potential Smart Colonic Drug Delivery System. Polymers. 2022; 14(17):3697. https://doi.org/10.3390/polym14173697
Chicago/Turabian StyleBayan, Mohammad F., Saeed M. Marji, Mutaz S. Salem, M. Yasmin Begum, Kumarappan Chidambaram, and Balakumar Chandrasekaran. 2022. "Development of Polymeric-Based Formulation as Potential Smart Colonic Drug Delivery System" Polymers 14, no. 17: 3697. https://doi.org/10.3390/polym14173697
APA StyleBayan, M. F., Marji, S. M., Salem, M. S., Begum, M. Y., Chidambaram, K., & Chandrasekaran, B. (2022). Development of Polymeric-Based Formulation as Potential Smart Colonic Drug Delivery System. Polymers, 14(17), 3697. https://doi.org/10.3390/polym14173697

