A Comparative Study on the Self-Healing Characterizations and Formulation Optimization of Polyurea Coating
Abstract
:1. Introduction
2. Materials and Methods
2.1. Materials
2.2. Fabrication of Self-Healing Polyurea
2.3. Attenuated Total Reflectance-Fourier Transform Infrared Spectroscopy Analysis (ATR-FTIR)
2.4. Differential Scanning Calorimetry (DSC) Analysis
2.5. Optical Analysis
2.6. Tensile Test
3. Result and Discussion
3.1. Fabrication Features and Results
3.2. ATR-FTIR Analysis
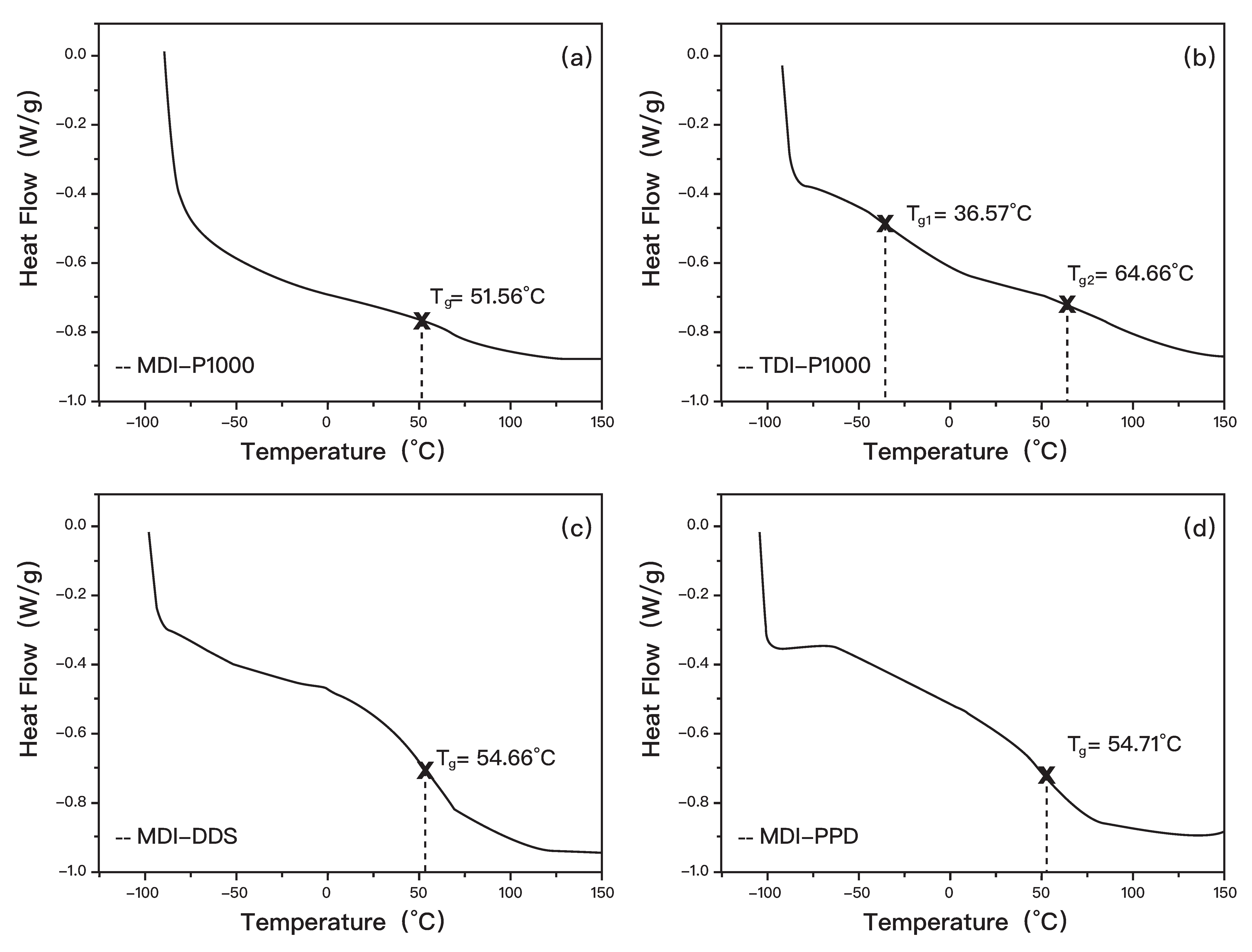
3.3. DSC Analysis
3.4. Optical Analysis
3.4.1. Optical Analysis for Scratching
3.4.2. Optical Analysis for Cutting
- Self-healing after 10 min
- Immediate self-healing at room temperature
- Immediate self-healing at 80 °C
3.4.3. Coherency with FTIR Analysis
3.4.4. Coherency with DSC Analysis
3.5. Tensile Analysis
4. Conclusions and Position
Supplementary Materials
Author Contributions
Funding
Institutional Review Board Statement
Informed Consent Statement
Data Availability Statement
Conflicts of Interest
References
- Wang, S.; Urban, M.W. Self-healing polymers. Nat. Rev. Mater. 2020, 5, 562–583. [Google Scholar] [CrossRef]
- Jud, K.; Kausch, H.H.; Williams, J.G. Fracture mechanics studies of crack healing and welding of polymers. J. Mater. Sci. 1981, 16, 204–210. [Google Scholar] [CrossRef]
- Li, Y.; Fang, C.; Zhuang, W.; Wang, H.; Wang, X. R Antimicrobial Enhancement via Cerium (II)/ Lanthanum (III)-Doped TiO2 for Emergency Leak Sealing Polyurea Coating System. Npj Mater. Degrad. 2022, 6, 41. [Google Scholar] [CrossRef]
- White, S.R.; Sottos, N.R.; Geubelle, P.H.; Moore, J.S.; Kessler, M.R.; Sriram, S.R.; Brown, E.N.; Viswanathan, S. Autonomic healing of polymer composites. Nature 2001, 409, 794–797. [Google Scholar] [CrossRef]
- ESA. Enabling Self-Healing Capabilities—A Small Step to Bio-Mimetic Materials. 4476, issue 1. 2006. Available online: http://esamultimedia.esa.int/docs/gsp/materials_report_4476.pdf (accessed on 1 October 2017).
- Ze, R.; Li, Y.; Lim, R.Z.; Wang, H.; Dong, Z.; Li, K.; Wang, X. Fire-retardant effect of titania-polyurea coating and additional enhancement via aromatic diamine and modified melamine polyphosphate. Npj Mater. Degrad. 2022, 6, 38. [Google Scholar] [CrossRef]
- Schmets, M.A.J.M.; Zwaag, S.V.D. International Conference on Self Healing. In Proceedings of the First International Conference on Self Healing Materials, Noordwijk aan Zee, The Netherlands, 18–20 April 2007. [Google Scholar]
- Luo, J.; Wang, T.; Sim, C.; Li, Y. Mini-Review of Self-Healing Mechanism and Formulation Optimization of Polyurea Coating. Polymers 2022, 14, 2808. [Google Scholar] [CrossRef]
- Polyurea Market Size, Share & Trends Analysis Report by Raw Material, by Product (Coating, Lining, Adhesives & Sealants), by Application (Construction, Industrial, Transportation), and Segment Forecasts, 2019–2025. Grand View Research. Available online: https://www.grandviewresearch.com/industry-analysis/polyurea-market (accessed on 1 April 2019).
- Zechel, S.; Geitner, R.; Abend, M.; Siegmann, M.; Enke, M.; Kuhl, N.; Klein, M.; Vitz, J.; Gräfe, S.; Dietzek, B.; et al. Intrinsic self-healing polymers with a high E-modulus based on dynamic reversible urea bonds. NPG Asia Mater. 2017, 9, e420. [Google Scholar] [CrossRef]
- Lee, D.-W.; Kim, H.-N.; Lee, D.-S. Design of Azomethine Diols for Efficient Self-Healing of Strong Polyurethane Elastomers. Molecules 2018, 23, 2928. [Google Scholar] [CrossRef]
- Hu, J.; Mo, R.; Sheng, X.; Zhang, X. A self-healing polyurethane elastomer with excellent mechanical properties based on phase-locked dynamic imine bonds. Polym. Chem. 2020, 11, 2585–2594. [Google Scholar] [CrossRef]
- Li, Y.; Yang, Z.; Zhang, L.; Ding, L.; Pan, L.; Huang, C.; Zheng, X.; Zeng, C.; Lin, C. Novel polyurethane with high self-healing efficiency for functional energetic composites. Polym. Test. 2019, 76, 82–89. [Google Scholar] [CrossRef]
- Wang, Z.; Yang, H.; Fairbanks, B.D.; Liang, H.; Ke, J.; Zhu, C. Fast self-healing engineered by UV-curable polyurethane contained Diels-Alder structure. Prog. Org. Coat. 2019, 131, 131–136. [Google Scholar] [CrossRef]
- Jiang, L.; Liu, Z.; Lei, Y.; Yuan, Y.; Wu, B.; Lei, J. Sustainable Thermosetting Polyurea Vitrimers Based on a Catalyst-Free Process with Reprocessability, Permanent Shape Reconfiguration and Self-Healing Performance. ACS Appl. Polym. Mater. 2019, 1, 3261–3268. [Google Scholar] [CrossRef]
- Xu, J.; Chen, P.; Wu, J.; Hu, P.; Fu, Y.; Jiang, W.; Fu, J. Notch-insensitive, ultrastretchable, efficient self-healing supramolecular polymers constructed from multiphase Active hydrogen bonds for electronic applications. Chem. Mater. 2019, 31, 7951–7961. [Google Scholar] [CrossRef]
- Guan, S.W. 100% solids polyurethane and polyurea coatings technology. Coat. World 2003, 49–58. [Google Scholar]
- Iqbal, N.; Sharma, P.K.; Kumar, D.; Roy, P.K. Protective polyurea coatings for enhanced blast survivability of concrete. Constr. Build. Mater. 2018, 175, 682–690. [Google Scholar] [CrossRef]
- Nagaraj, S.; Kumaresh Babu, S.P. Protective polyurea coating for enhanced corrosion resistance of sole bars in railway coaches. Mater. Today: Proc. 2020, 27, 2407–2411. [Google Scholar] [CrossRef]
- Li, Y.; Luo, B.; Guet, C.; Narasimalu, S.; Dong, L. Preparation and formula analysis of anti-biofouling titania–polyurea spray coating with nano/micro-structure. Coatings 2019, 9, 560. [Google Scholar] [CrossRef]
- Dai, L.-H.; Wu, C.; An, F.-J.; Liao, S.-S. Experimental Investigation of Polyurea-Coated Steel Plates at Underwater Explosive Loading. Adv. Mater. Sci. Eng. 2018, 2018, 1–7. [Google Scholar] [CrossRef]
- Garcia, S.J. Effect of polymer architecture on the intrinsic self-healing character of polymers. Eur. Polym. J. 2014, 53, 118–125. [Google Scholar] [CrossRef]
- Dry, C. Passive Tuneable Fibers and Matrices. Int. J. Mod. Phys. B 1992, 6, 2763–2771. [Google Scholar] [CrossRef]
- Gennes, P.G.D. Reptation of a Polymer Chain in the Presence of Fixed Obstacles. J. Chem. Phys. 1971, 55, 572–579. [Google Scholar] [CrossRef]
- Wool, R.P.; O’Connor, K.M. A theory crack healing in polymers. J. Appl. Phys. 1981, 52, 5953–5963. [Google Scholar] [CrossRef]
- Li, T.; Zhang, C.; Xie, Z.; Xu, J.; Guo, B.-H. A multi-scale investigation on effects of hydrogen bonding on micro-structure and macro-properties in a polyurea. Polymer 2018, 145, 261–271. [Google Scholar] [CrossRef]
- Chen, T.; Fang, L.; Li, X.; Gao, D.; Lu, C.; Xu, Z. Self-healing polymer coatings of polyurea-urethane/epoxy blends with reversible and dynamic bonds. Prog. Org. Coat. 2020, 147, 105876. [Google Scholar] [CrossRef]
- Hia, I.L.; Vahedi, V.; Pasbakhsh, P. Self-Healing Polymer Composites: Prospects, Challenges, and Applications. Polym. Rev. 2016, 56, 225–261. [Google Scholar] [CrossRef]
- Sun, D.; Zhang, H.; Tang, X.-Z.; Yang, J. Water resistant reactive microcapsules for self-healing coatings in harsh environments. Polymer 2016, 91, 33–40. [Google Scholar] [CrossRef]
- Thorne, M.F.; Simkovic, F.; Slater, A.G. Production of monodisperse polyurea microcapsules using microfluidics. Sci. Rep. 2019, 9, 17983. [Google Scholar] [CrossRef]
- Gite, V.V.; Tatiya, P.D.; Marathe, R.J.; Mahulikar, P.P.; Hundiwale, D.G. Microencapsulation of quinoline as a corrosion inhibitor in polyurea microcapsules for application in anticorrosive PU coatings. Prog. Org. Coat. 2015, 83, 11–18. [Google Scholar] [CrossRef]
- Zhou, J.; Xu, W.; Wang, Y.-N.; Shi, B. Preparation of polyurea microcapsules containing phase change materials in a rotating packed bed. RSC Advances 2017, 7, 21196–21204. [Google Scholar] [CrossRef]
- Zou, G.L.; Lan, X.; Tan, Z.-C.; Sun, L.-X.; Zhang, T. Microencapsulation of n-Hexadecane as a Phase Change Material in Polyurea. Acta Phys. Chim. Sin. 2004, 20, 90–93. [Google Scholar] [CrossRef]
- Williams, H.R.; Trask, R.S.; Knights, A.C.; Williams, E.R.; Bond, I.P. Biomimetic reliability strategies for self-healing vascular networks in engineering materials. J. R. Soc. Interface 2008, 5, 735–747. [Google Scholar] [CrossRef] [PubMed] [Green Version]
- An, S.; Lee, M.W.; Yarin, A.L.; Yoon, S.S. A review on corrosion-protective extrinsic self-healing: Comparison of microcapsule-based systems and those based on core-shell vascular networks. Chem. Eng. J. 2018, 344, 206–220. [Google Scholar] [CrossRef]
- Toohey, K.S.; Sottos, N.R.; Lewis, J.A.; Moore, J.S.; White, S.R. Self-healing materials with microvascular networks. Nat. Mater. 2007, 6, 581–585. [Google Scholar] [CrossRef] [PubMed]
- Qamar, I.P.S.; Sottos, N.R.; Trask, R.S. Grand challenges in the design and manufacture of vascular self-healing. Multifunct. Mater. 2020, 3, 013001. [Google Scholar] [CrossRef]
- Almutairi, M.D.; Aria, A.I.; Thakur, V.K.; Khan, M.A. Self-Healing Mechanisms for 3D-Printed Polymeric Structures: From Lab to Reality. Polymers 2020, 12, 1534. [Google Scholar] [CrossRef]
- Sanders, P.; Young, A.J.; Qin, Y.; Fancey, K.S.; Reithofer, M.R.; Guillet-Nicolas, R.; Kleitz, F.; Pamme, N.; Chin, J.M. Stereolithographic 3D printing of extrinsically self-healing composites. Sci. Rep. 2019, 9, 388. [Google Scholar] [CrossRef]
- Wu, D.Y.; Meure, S.; Solomon, D. Self-healing polymeric materials: A review of recent developments. Prog. Polym. Sci. 2008, 33, 479–522. [Google Scholar] [CrossRef]
- Li, Y.; Woo, Y.; Manoj, S.; Guet, C.; Narasimalu, S.; Dong, Z. Effect of Nano-Titanium Dioxide Contained in Titania-Polyurea Coating on Marina Biofouling and Drag Reduction. J. Biomed. Nanotechnol. 2020, 16, 1530–1541. [Google Scholar] [CrossRef]
- Asnaashari, A.; Grafton, R.J.; Johnnie, M. Precast concrete design-construction of San Mateo-Hayward bridge widening project. PCI J. 2005, 50, 26–43. [Google Scholar] [CrossRef]
- Wool, R.P. Self-healing materials: A review. Soft Matter 2008, 4, 400–418. [Google Scholar] [CrossRef]
- Brochard, F. Spreading of liquid drops on thin cylinders: The ‘‘manchon/droplet’’ transition. J. Chem. Phys. 1986, 84, 4664–4672. [Google Scholar] [CrossRef]
- Wool, R.P. Chapter 8—Diffusion and autohesion. In Adhesion Science and Engineering; Dillard, D.A., Pocius, A.V., Chaudhury, M., Eds.; Elsevier Science B.V.: Amsterdam, The Netherlands, 2002; pp. 351–401. [Google Scholar]
- Wojtecki, R.J.; Meador, M.A.; Rowan, S.J. Using the dynamic bond to access macroscopically responsive structurally dynamic polymers. Nat. Mater. 2011, 10, 14–27. [Google Scholar] [CrossRef] [PubMed]
- He, M.; Chen, X.; Liu, D.; Wei, D. Two-dimensional self-healing hydrogen-bond-based supramolecular polymer film. Chin. Chem. Lett. 2019, 30, 961–965. [Google Scholar] [CrossRef]
- Cordier, P.; Tournilhac, F.; Soulié-Ziakovic, C.; Leibler, L. Self-healing and thermoreversible rubber from supramolecular assembly. Nature 2008, 451, 977–980. [Google Scholar] [CrossRef] [PubMed]
- Ionita, D.; Gaina, C.; Cristea, M.; Banabic, D. Tailoring the hard domain cohesiveness in polyurethanes by interplay between the functionality and the content of chain extender. RSC Adv. 2015, 5, 76852–76861. [Google Scholar] [CrossRef]
- Nevejans, S.; Ballard, N.; Miranda, J.I.; Reck, B.; Asua, J.M. The underlying mechanisms for self-healing of poly(disulfide)s. Phys. Chem. Chem. Phys. 2016, 18, 27577–27583. [Google Scholar] [CrossRef]
- Black, S.P.; Sanders, J.K.M.; Stefankiewicz, A.R. Disulfide exchange: Exposing supramolecular reactivity through dynamic covalent chemistry. Chem. Soc. Rev. 2014, 43, 1861–1872. [Google Scholar] [CrossRef]
- Zhang, F.; Ju, P.; Pan, M.; Zhang, D.; Huang, Y.; Li, G.; Li., X. Self-healing mechanisms in smart protective coatings: A review. Corros. Sci. 2018, 144, 74–88. [Google Scholar] [CrossRef]
- Formoso, E.; Asua, J.M.; Matxain, J.M.; Ruipérez, F. The role of non-covalent interactions in the self-healing mechanism of disulfide-based polymers. Phys. Chem. Chem. Phys. 2017, 19, 18461–18470. [Google Scholar] [CrossRef]
- Javierre, E. Modeling self-healing mechanisms in coatings: Approaches and perspectives. Coatings 2019, 9, 122. [Google Scholar] [CrossRef]
- Nunes, R.W.; Martin, J.R.; Johnson, J.F. Influence of molecular weight and molecular weight distribution on mechanical properties of polymers. Polym. Eng. Sci. 1982, 22, 205–228. [Google Scholar] [CrossRef]
- Balani, K.; Verma, V.; Agarwal, A.; Narayan, R. Physical, Thermal, and Mechanical Properties of Polymers. In Biosurfaces: A Materials Science and Engineering Perspective; John Wiley & Sons, Inc: New York, NY, USA, 2015; pp. 329–344. [Google Scholar] [CrossRef]
- Shrivastava, A. 1—Introduction to Plastics Engineering. In Introduction to Plastics Engineering; Shrivastava, A., Ed.; William Andrew Publishing: Oxford, UK, 2018; pp. 207–232. [Google Scholar] [CrossRef]
- Qu, Q.; Wang, H.; He, J.; Qin, T.; Da, Y.; Tian, X. Analysis of the microphase structure and performance of self-healing polyurethanes containing dynamic disulfide bonds. Soft Matter 2020, 16, 9128–9139. [Google Scholar] [CrossRef] [PubMed]
- Li, Y.; Liu, Y.; Yao, B.; Narasimalu, S.; Dong, Z. Rapid preparation and antimicrobial activity of polyurea coatings with RE-Doped nano-ZnO. Microb. Biotechnol. 2022, 152, 548–560. [Google Scholar] [CrossRef] [PubMed]
- Zhang, L.; Wang, D.; Xu, L.; Zhang, X.; Zhang, A.; Xu, Y. A highly stretchable, transparent, notch-insensitive self-healing elastomer for coating. J. Mater. Chem. C 2020, 8, 2043–2053. [Google Scholar] [CrossRef]
- Stukalin, E.B.; Cai, L.-H.; Kumar, N.A.; Leibler, L.; Rubinstein, M. Self-Healing of Unentangled Polymer Networks with Reversible Bonds. Macromolecules 2013, 46, 7525–7541. [Google Scholar] [CrossRef] [PubMed]
- Ying, H.; Zhang, Y.; Cheng, J. Dynamic urea bond for the design of reversible and self-healing polymers. Nat. Commun. 2014, 5, 1–9. [Google Scholar] [CrossRef] [PubMed]
- Li, Y.; Cui, Z.; Zhu, Q.; Narasimalu, S.; Dong, Z. Fabrication of Zinc Substrate Encapsulated by Fluoropolyurethane and Its Drag-Reduction Enhancement by Chemical Etching. Coatings 2020, 10, 377. [Google Scholar] [CrossRef]
- Das, S.; Cox, D.F.; Wilkes, G.L.; Klinedinst, D.B.; Yilgor, I.; Yilgor, E.; Beyer, F.L. Effect of Symmetry and H-bond Strength of Hard Segments on the Structure-Property Relationships of Segmented, Nonchain Extended Polyurethanes and Polyureas. J. Macromol. Sci. Part B 2007, 46, 853–875. [Google Scholar] [CrossRef]
- Utrera-Barrios, S.; Verdejo, R.; López-Manchado, M.A.; Santana, M.H. Evolution of self-healing elastomers, from extrinsic to combined intrinsic mechanisms: A review. Mater. Horiz. 2020, 7, 2882–2902. [Google Scholar] [CrossRef]
- Li, T.; Xie, Z.; Xu, J.; Weng, Y.; Guo, B.-H. Design of a self-healing cross-linked polyurea with dynamic cross-links based on disulfide bonds and hydrogen bonding. Eur. Polym. J. 2018, 107, 249–257. [Google Scholar] [CrossRef]
- Lefebvre, M.D.; Olvera de la Cruz, M.; Shull, K.R. Phase Segregation in Gradient Copolymer Melts. Macromolecules 2004, 37, 1118–1123. [Google Scholar] [CrossRef]
- Kim, J.; Mok, M.M.; Sandoval, R.W.; Woo, D.J.; Torkelson, J.M. Uniquely Broad Glass Transition Temperatures of Gradient Copolymers Relative to Random and Block Copolymers Containing Repulsive Comonomers. Macromolecules 2006, 39, 6152–6160. [Google Scholar] [CrossRef]







| Sample Number | Sample Name | Mole of Diisocyanate (mmol) | Mole of D2000/P2000 (mmol) | Mole of PPD/DDS (mmol) | Mole Ratio NH2: NCO |
|---|---|---|---|---|---|
| 1 | MD1-D2000 | 0.5 | 0.5 | - | 1:1 |
| 2 | TDI-D2000 | 0.5 | 0.5 | - | 1:1 |
| 3 | MDI-P1000 | 0.5 | 0.5 | - | 1:1 |
| 4 | TDI-P1000 | 0.5 | 0.5 | - | 1:1 |
| 5 | MDI-DDS | 0.5 | - | 0.5 | 1:1 |
| 6 | MDI-PPD | 0.5 | - | 0.5 | 1:1 |
| Wavenumber | Functional Group | Bonding |
|---|---|---|
| ~1690 | C=O stretching of the “free” carbonyl groups | No hydrogen bond |
| ~1670 | C=O stretching of “disordered” hydrogen bonded carbonyl group | Monodentate hydrogen bond |
| ~1640 | C=O stretching of “ordered” hydrogen bonded carbonyl group | Bidentate hydrogen bond |
| Bonding | MDI-P1000 Peak Area | TDI-P1000 Peak Area |
|---|---|---|
| No hydrogen bond | 2.19547 | 2.23605 |
| Monodentate hydrogen bond | 1.81031 | |
| Bidentate hydrogen bond | 3.06643 | 1.33266 |
Publisher’s Note: MDPI stays neutral with regard to jurisdictional claims in published maps and institutional affiliations. |
© 2022 by the authors. Licensee MDPI, Basel, Switzerland. This article is an open access article distributed under the terms and conditions of the Creative Commons Attribution (CC BY) license (https://creativecommons.org/licenses/by/4.0/).
Share and Cite
Shen, X.; Dong, Z.; Sim, C.; Li, Y. A Comparative Study on the Self-Healing Characterizations and Formulation Optimization of Polyurea Coating. Polymers 2022, 14, 3520. https://doi.org/10.3390/polym14173520
Shen X, Dong Z, Sim C, Li Y. A Comparative Study on the Self-Healing Characterizations and Formulation Optimization of Polyurea Coating. Polymers. 2022; 14(17):3520. https://doi.org/10.3390/polym14173520
Chicago/Turabian StyleShen, Xinrui, Zhenyuan Dong, Celine Sim, and Yuanzhe Li. 2022. "A Comparative Study on the Self-Healing Characterizations and Formulation Optimization of Polyurea Coating" Polymers 14, no. 17: 3520. https://doi.org/10.3390/polym14173520
APA StyleShen, X., Dong, Z., Sim, C., & Li, Y. (2022). A Comparative Study on the Self-Healing Characterizations and Formulation Optimization of Polyurea Coating. Polymers, 14(17), 3520. https://doi.org/10.3390/polym14173520

