Cytotoxicity and Apoptotic Mechanism of 2-Hydroxyethyl Methacrylate via Genotoxicity and the Mitochondrial-Dependent Intrinsic Caspase Pathway and Intracellular Reactive Oxygen Species Accumulation in Macrophages
Abstract
:1. Introduction
2. Materials and Methods
2.1. Materials
2.2. Cell Culture and Treatment
2.3. Cell Viability Assay
2.4. Flow Cytometric Analysis of Apoptosis and Necrosis
2.5. Micronucleus Assay
2.6. Single-Cell Gel Electrophoresis
2.7. Flow Cytometric Analysis of Mitochondrial Dysfunction
2.8. Caspase Activation Assay
2.9. AOE Activition Assay
2.10. Intracellular ROS-Generation Measurement
2.11. Statistical Analysis
3. Results
3.1. HEMA’s Effects on the Cellular Viability of RAW264.7 Cells
3.2. HEMA’s Effects on Necrosis or Apoptosis of RAW264.7 Cells
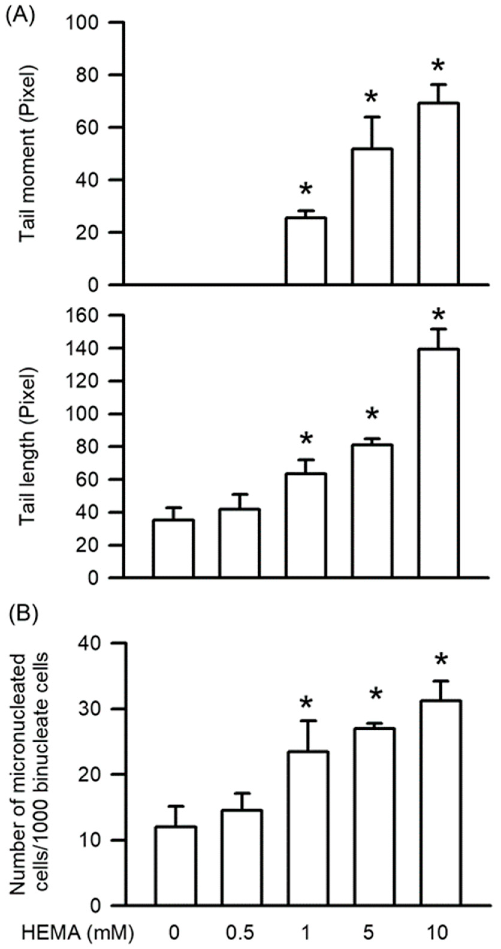
3.3. HEMA’s Effects on Genotoxicity in RAW264.7 Macrophages
3.4. HEMA’s Effects on the Activation of Caspase-3, Caspase-8, and Caspase-9 in RAW264.7 Macrophages
3.5. Effects of HEMA on Mitochondrial Dysfunction in RAW264.7 Macrophages
3.6. Effects of HEMA on Intracellular ROS Generation in RAW264.7 Cells
3.7. Effects of HEMA on AOE Activity in RAW264.7 Cells
4. Discussion
5. Conclusions
Author Contributions
Funding
Institutional Review Board Statement
Informed Consent Statement
Data Availability Statement
Conflicts of Interest
Abbreviations
| AOE | antioxidative enzyme |
| CAT | Catalase |
| Comet | alkaline single-cell gel electrophoresis |
| DCFH-DA | dichlorofluorescin diacetate |
| DMEM | Dulbecco’s modified Eagle’s medium |
| DMSO | dimethyl sulfoxide |
| FBS | Fetal bovine serum |
| HEMA | 2-Hydroxyethyl methacrylate |
| MN | Micronucleus |
| MTT | 3-(4,5-dimethylthiazol-2-yl)-2,5-diphenyl tetrazolium bromide |
| ROS | reactive oxygen species |
References
- Hirayama, D.; Iida, T.; Nakase, H. The Phagocytic Function of Macrophage-Enforcing Innate Immunity and Tissue Homeostasis. Int. J. Mol. Sci. 2017, 19, 92. [Google Scholar] [CrossRef]
- Watanabe, S.; Alexander, M.; Misharin, A.V.; Budinger, G.R.S. The role of macrophages in the resolution of inflammation. J. Clin. Investig. 2019, 129, 2619–2628. [Google Scholar] [CrossRef]
- Laskin, D.L.; Sunil, V.R.; Gardner, C.R.; Laskin, J.D. Macrophages and tissue injury: Agents of defense or destruction? Annu. Rev. Pharmacol. Toxicol. 2011, 51, 267–288. [Google Scholar] [CrossRef]
- Vannella, K.M.; Wynn, T.A. Mechanisms of Organ Injury and Repair by Macrophages. Annu. Rev. Physiol. 2017, 79, 593–617. [Google Scholar] [CrossRef] [PubMed]
- Robinson, N.; Ganesan, R.; Hegedűs, C.; Kovács, K.; Kufer, T.A.; Virág, L. Programmed necrotic cell death of macro-phages: Focus on pyroptosis, necroptosis, and parthanatos. Redox Biol. 2019, 26, 101239. [Google Scholar] [CrossRef] [PubMed]
- Tsai, P.-K.; Wu, S.-W.; Chiang, C.-Y.; Lee, M.-W.; Chen, H.-Y.; Chen, W.-Y.; Chen, C.-J.; Yang, S.-F.; Yeh, C.-B.; Kuan, Y.-H. Evaluation of cytotoxicity, apoptosis, and genotoxicity induced by indium chloride in macrophages through mitochondrial dysfunction and reactive oxygen species generation. Ecotoxicol. Environ. Saf. 2020, 193, 110348. [Google Scholar] [CrossRef] [PubMed]
- Chang, C.-Y.; Chiang, C.-Y.; Chiang, Y.-W.; Lee, M.-W.; Lee, C.-Y.; Chen, H.-Y.; Lin, H.-W.; Kuan, Y.-H. Toxic Effects of Urethane Dimethacrylate on Macrophages Through Caspase Activation, Mitochondrial Dysfunction, and Reactive Oxygen Species Generation. Polymers 2020, 12, 1398. [Google Scholar] [CrossRef] [PubMed]
- Huang, F.-M.; Chang, Y.-C.; Lee, S.-S.; Ho, Y.-C.; Yang, M.-L.; Lin, H.-W.; Kuan, Y.-H. Bisphenol A exhibits cytotoxic or genotoxic potential via oxidative stress-associated mitochondrial apoptotic pathway in murine macrophages. Food Chem. Toxicol. 2018, 122, 215–224. [Google Scholar] [CrossRef] [PubMed]
- Babić Radić, M.M.; Filipović, V.V.; Vukomanović, M.; Nikodinović Runić, J.; Tomić, S.L. Degradable 2-Hydroxyethyl Methacrylate/Gelatin/Alginate Hydrogels Infused by Nanocolloidal Graphene Oxide as Promising Drug Delivery and Scaffolding Biomaterials. Gels 2021, 8, 22. [Google Scholar] [CrossRef]
- Pandey, S.A.; Lokhande, M.T.; Gulve, M.N.; Kolhe, S.J.; Aher, G.B. Shear bond strength of composite resin to res-in-modified glass ionomer cement using 2-hydroxyethyl methacrylate-based and 2-hydroxyethyl methacrylate-free adhesive system. J. Conserv. Dent. 2019, 22, 292–295. [Google Scholar] [CrossRef]
- Yoshii, E. Cytotoxic effects of acrylates and methacrylates: Relationships of monomer structures and cytotoxicity. J. Biomed. Mat. Res. 1997, 37, 517–524. [Google Scholar] [CrossRef]
- Krifka, S.; Spagnuolo, G.; Schmalz, G.; Schweikl, H. A review of adaptive mechanisms in cell responses towards oxidative stress caused by dental resin monomers. Biomaterials 2013, 34, 4555–4563. [Google Scholar] [CrossRef]
- Murakami, Y.; Kawata, A.; Suzuki, S.; Fujisawa, S. Cytotoxicity and Pro-/Anti-inflammatory Properties of Cinnamates, Acrylates and Methacrylates Against RAW264.7 Cells. In Vivo 2018, 32, 1309–1322. [Google Scholar] [CrossRef]
- Inamitsu, H.; Okamoto, K.; Sakai, E.; Nishishita, K.; Murata, H.; Tsukuba, T. The dental resin monomers HEMA and TEGDMA have inhibitory effects on osteoclast differentiation with low cytotoxicity. J. Appl. Toxicol. 2017, 37, 817–824. [Google Scholar] [CrossRef]
- Becher, R.; Kopperud, H.; Al, R.; Samuelsen, J.; Morisbak, E.; Dahlman, H.; Lilleaas, E.; Dahl, J. Pattern of cell death after in vitro exposure to GDMA, TEGDMA, HEMA and two compomer extracts. Dent. Mater. 2006, 22, 630–640. [Google Scholar] [CrossRef]
- Krifka, S.; Hiller, K.A.; Spagnuolo, G.; Jewett, A.; Schmalz, G.; Schweikl, H. The influence of glutathione on redox regulation by antioxidant proteins and apoptosis in macrophages exposed to 2-hydroxyethyl methacrylate (HEMA). Biomaterials 2012, 33, 5177–5186. [Google Scholar] [CrossRef]
- Gallorini, M.; Petzel, C.; Bolay, C.; Hiller, K.-A.; Cataldi, A.; Buchalla, W.; Krifka, S.; Schweikl, H. Activation of the Nrf2-regulated antioxidant cell response inhibits HEMA-induced oxidative stress and supports cell viability. Biomaterials 2015, 56, 114–128. [Google Scholar] [CrossRef]
- Schweikl, H.; Godula, M.; Petzel, C.; Bolay, C.; Hiller, K.; Buchalla, W. Critical role of superoxide anions and hydroxyl radicals in HEMA-induced apoptosis. Dent. Mater. 2016, 33, 110–118. [Google Scholar] [CrossRef]
- Schweikl, H.; Petzel, C.; Bolay, C.; Hiller, K.-A.; Buchalla, W.; Krifka, S. 2-Hydroxyethyl methacrylate-induced apoptosis through the ATM- and p53-dependent intrinsic mitochondrial pathway. Biomaterials 2014, 35, 2890–2904. [Google Scholar] [CrossRef]
- Su, C.H.; Chen, S.P.; Chen, L.Y.; Yang, J.J.; Lee, Y.C.; Lee, S.S.; Chen, H.H.; Ng, Y.Y.; Kuan, Y.H. 3-Bromofluoranthene-induced cardiotoxicity of zebrafish and apoptosis in the vascular endothelial cells via intrinsic and extrinsic caspase-dependent pathways. Ecotoxicol. Environ. Saf. 2021, 228, 112962. [Google Scholar] [CrossRef]
- Wu, S.-W.; Su, C.-H.; Ho, Y.-C.; Huang-Liu, R.; Tseng, C.-C.; Chiang, Y.-W.; Yeh, K.-L.; Lee, S.-S.; Chen, W.-Y.; Chen, C.-J.; et al. Genotoxic effects of 1-nitropyrene in macrophages are mediated through a p53-dependent pathway involving cytochrome c release, caspase activation, and PARP-1 cleavage. Ecotoxicol. Environ. Saf. 2021, 213, 112062. [Google Scholar] [CrossRef]
- Xi, Y.; Sharma, P.K.; Kaper, H.J.; Choi, C.-H. Tribological Properties of Micropored Poly(2-hydroxyethyl methacrylate) Hydrogels in a Biomimetic Aqueous Environment. ACS Appl. Mater. Interfaces 2021, 13, 41473–41484. [Google Scholar] [CrossRef]
- Hitmi, L.; Bouter, D.; Degrange, M. Influence of drying and HEMA treatment on dentin wettability. Dent. Mater. 2002, 18, 503–511. [Google Scholar] [CrossRef]
- Reichl, F.-X.; Löhle, J.; Seiss, M.; Furche, S.; Shehata, M.M.; Hickel, R.; Müller, M.; Dränert, M.; Durner, J. Elution of TEGDMA and HEMA from polymerized resin-based bonding systems. Dent. Mater. 2012, 28, 1120–1125. [Google Scholar] [CrossRef]
- Altunsoy, M.; Botsali, M.S.; Ulker, H.E. Evaluation of HEMA released from four different adhesive systems by HPLC. J. Appl. Biomater. Funct. Mater. 2015, 13, e100–e105. [Google Scholar] [CrossRef]
- Díaz-Álvarez, M.; Martín-Esteban, A.; Turiel, E. Evaluation of 2-hydroxyethyl methacrylate as comonomer in the preparation of water-compatible molecularly imprinted polymers for triazinic herbicides. J. Sep. Sci. 2022, 45, 2356–2365. [Google Scholar] [CrossRef]
- Aalto-Korte, K.; Suuronen, K. Ten years of contact allergy from acrylic compounds in an occupational dermatology clinic. Contact Dermat. 2020, 84, 240–246. [Google Scholar] [CrossRef]
- Symanzik, C.; Weinert, P.; Babić, Ž.; Hallmann, S.; Havmose, M.S.; Johansen, J.D.; Kezic, S.; Macan, M.; Macan, J.; Strahwald, J.; et al. Allergic contact dermatitis caused by 2-hydroxyethyl methacrylate and ethyl cyanoacrylate contained in cosmetic glues among hairdressers and beauticians who perform nail treatments and eyelash extension as well as hair extension applications: A systematic review. Contact Dermat. 2022, 86, 480–492. [Google Scholar] [CrossRef]
- Paranjpe, A.; Bordador, L.; Wang, M.-Y.; Hume, W.; Jewett, A. Resin Monomer 2-Hydroxyethyl Methacrylate (HEMA) is a Potent Inducer of Apoptotic Cell Death in Human and Mouse Cells. J. Dent. Res. 2005, 84, 172–177. [Google Scholar] [CrossRef]
- Buchmueller, J.; Enge, A.-M.; Peters, A.; Ebmeyer, J.; Küpper, J.-H.; Schäfer, B.; Braeuning, A.; Hessel-Pras, S. The chemical structure impairs the intensity of genotoxic effects promoted by 1,2-unsaturated pyrrolizidine alkaloids in vitro. Food Chem. Toxicol. 2022, 164, 113049. [Google Scholar] [CrossRef]
- Tchounwou, P.B. Genotoxic Stress. In Brenner’s Encyclopedia of Genetics, 2nd ed.; Maloy, S., Hughes, K., Eds.; Academic Press: Cambridge, MA, USA, 2013; pp. 313–317. [Google Scholar]
- Ginzkey, C.; Zinnitsch, S.; Steussloff, G.; Koehler, C.; Hackenberg, S.; Hagen, R.; Kleinsasser, N.H.; Froelich, K. Assessment of HEMA and TEGDMA induced DNA damage by multiple genotoxicological endpoints in human lymphocytes. Dent. Mater. 2015, 31, 865–876. [Google Scholar] [CrossRef] [PubMed]
- Szczepanska, J.; Poplawski, T.; Synowiec, E.; Pawlowska, E.; Chojnacki, C.J.; Chojnacki, J.; Blasiak, J. 2-hydroxylethyl methacrylate (HEMA), a tooth restoration component, exerts its genotoxic effects in human gingival fibroblasts trough meth-acrylic acid, an immediate product of its degradation. Mol. Biol. Rep. 2012, 39, 1561–1574. [Google Scholar] [CrossRef] [PubMed]
- Ansteinsson, V.; Solhaug, A.; Samuelsen, J.; Holme, J.; Dahl, J. DNA-damage, cell-cycle arrest and apoptosis induced in BEAS-2B cells by 2-hydroxyethyl methacrylate (HEMA). Mutat. Res. Toxicol. Environ. Mutagen. 2011, 723, 158–164. [Google Scholar] [CrossRef] [PubMed]
- McIlwain, D.R.; Berger, T.; Mak, T.W. Caspase Functions in Cell Death and Disease. Cold Spring Harb. Perspect. Biol. 2015, 7, a026716. [Google Scholar] [CrossRef] [PubMed]
- Elmore, S. Apoptosis: A review of programmed cell death. Toxicol. Pathol. 2007, 35, 495–516. [Google Scholar] [CrossRef]
- Jiao, Y.; Ma, S.; Wang, Y.; Li, H.; Shan, L.; Liu, Q.; Liu, Y.; Song, Q.; Yu, F.; Yu, H.; et al. N-Acetyl Cysteine Depletes Reactive Oxygen Species and Prevents Dental Monomer-Induced Intrinsic Mitochondrial Apoptosis In Vitro in Human Dental Pulp Cells. PLoS ONE 2016, 11, e0147858. [Google Scholar] [CrossRef]
- Teti, G.; Salvatore, V.; Mazzotti, M.C.; Orlandini, B.; Focaroli, S.; Durante, S.; Paternostro, F. Ultrastructural changes in human gin-gival fibroblasts after exposure to 2-hydroxyethyl methacrylate. Ital. J. Anat. Embryol. 2014, 119, 130–140. [Google Scholar]
- Samuelsen, J.T.; Dahl, J.E.; Karlsson, S.; Morisbak, E.; Becher, R. Apoptosis induced by the monomers HEMA and TEGDMA involves formation of ROS and differential activation of the MAP-kinases p38, JNK and ERK. Dent. Mater. 2007, 23, 34–39. [Google Scholar] [CrossRef]
- Covarrubias, L.; Hernández-García, D.; Schnabel, D.; Salas-Vidal, E.; Castro-Obregón, S. Function of reactive oxygen species during animal development: Passive or active? Dev. Biol. 2008, 320, 1–11. [Google Scholar] [CrossRef]
- Redza-Dutordoir, M.; Averill-Bates, D.A. Activation of apoptosis signalling pathways by reactive oxygen species. Biochim. Biophys. Acta (BBA)—Mol. Cell Res. 2016, 1863, 2977–2992. [Google Scholar] [CrossRef]
- Snezhkina, A.V.; Kudryavtseva, A.V.; Kardymon, O.L.; Savvateeva, M.V.; Melnikova, N.V.; Krasnov, G.S.; Dmitriev, A.A. ROS Generation and Antioxidant Defense Systems in Normal and Malignant Cells. Oxidative Med. Cell. Longev. 2019, 2019, 6175804. [Google Scholar] [CrossRef]
- Zhao, R.Z.; Jiang, S.; Zhang, L.; Yu, Z.B. Mitochondrial electron transport chain, ROS generation and uncoupling (Review). Int. J. Mol. Med. 2019, 44, 3–15. [Google Scholar] [CrossRef]
- Di Nisio, C.; Zara, S.; Cataldi, A.; Di Giacomo, V. 2-Hydroxyethyl methacrylate inflammatory effects in human gingival fibroblasts. Int. Endod. J. 2012, 46, 466–476. [Google Scholar] [CrossRef]







| HEMA (mM) | Viable Cells (%) | Necrotic Cells (%) | Apoptotic Cells (%) |
|---|---|---|---|
| 0 | 97.17 ± 1.02 | 0.23 ± 0.10 | 2.83 ± 0.77 |
| 0.5 | 93.70 ± 1.76 | 0.65 ± 0.19 | 5.70 ± 0.57 |
| 1 | 91.90 ±2.38 * | 0.70 ± 0.28 | 7.35 ± 2.52 * |
| 5 | 91.45 ± 1.71 * | 0.55 ± 0.24 | 7.98 ± 1.64 * |
| 10 | 78.43 ± 4.71 * | 1.13 ± 0.75 | 20.40 ± 4.56 * |
| HEMA (mM) | 0 | 0.5 | 1 | 5 | 10 |
|---|---|---|---|---|---|
| JC-1 monomer (%) | 1.53 ± 1.09 | 3.53 ± 1.31 | 4.83 ± 0.85 * | 6.03 ± 1.23 * | 9.68 ± 2.29 * |
| JC-1 aggregates (%) | 98.20 ± 1.24 | 96.20 ± 1.64 | 93.83 ± 0.88 * | 92.73 ± 0.94 * | 89.33 ± 1.25 * |
| JC-1 ratio | 0.02 ± 0.01 | 0.04 ± 0.01 | 0.05 ± 0.01 * | 0.06 ± 0.01 * | 0.11 ± 0.03 * |
Publisher’s Note: MDPI stays neutral with regard to jurisdictional claims in published maps and institutional affiliations. |
© 2022 by the authors. Licensee MDPI, Basel, Switzerland. This article is an open access article distributed under the terms and conditions of the Creative Commons Attribution (CC BY) license (https://creativecommons.org/licenses/by/4.0/).
Share and Cite
Lee, C.-Y.; Ho, Y.-C.; Lee, S.-S.; Li, Y.-C.; Lai, M.-Y.; Kuan, Y.-H. Cytotoxicity and Apoptotic Mechanism of 2-Hydroxyethyl Methacrylate via Genotoxicity and the Mitochondrial-Dependent Intrinsic Caspase Pathway and Intracellular Reactive Oxygen Species Accumulation in Macrophages. Polymers 2022, 14, 3378. https://doi.org/10.3390/polym14163378
Lee C-Y, Ho Y-C, Lee S-S, Li Y-C, Lai M-Y, Kuan Y-H. Cytotoxicity and Apoptotic Mechanism of 2-Hydroxyethyl Methacrylate via Genotoxicity and the Mitochondrial-Dependent Intrinsic Caspase Pathway and Intracellular Reactive Oxygen Species Accumulation in Macrophages. Polymers. 2022; 14(16):3378. https://doi.org/10.3390/polym14163378
Chicago/Turabian StyleLee, Chien-Ying, Yung-Chuan Ho, Shiuan-Shinn Lee, Yi-Ching Li, Mei-Yu Lai, and Yu-Hsiang Kuan. 2022. "Cytotoxicity and Apoptotic Mechanism of 2-Hydroxyethyl Methacrylate via Genotoxicity and the Mitochondrial-Dependent Intrinsic Caspase Pathway and Intracellular Reactive Oxygen Species Accumulation in Macrophages" Polymers 14, no. 16: 3378. https://doi.org/10.3390/polym14163378
APA StyleLee, C.-Y., Ho, Y.-C., Lee, S.-S., Li, Y.-C., Lai, M.-Y., & Kuan, Y.-H. (2022). Cytotoxicity and Apoptotic Mechanism of 2-Hydroxyethyl Methacrylate via Genotoxicity and the Mitochondrial-Dependent Intrinsic Caspase Pathway and Intracellular Reactive Oxygen Species Accumulation in Macrophages. Polymers, 14(16), 3378. https://doi.org/10.3390/polym14163378

