Efficient, Recyclable, and Heterogeneous Base Nanocatalyst for Thiazoles with a Chitosan-Capped Calcium Oxide Nanocomposite
Abstract
:1. Introduction
2. Materials and Methods
2.1. Apparatus and Instrumentation
2.2. Preparation of the Chitosan–Based CaO Nanocomposite Films
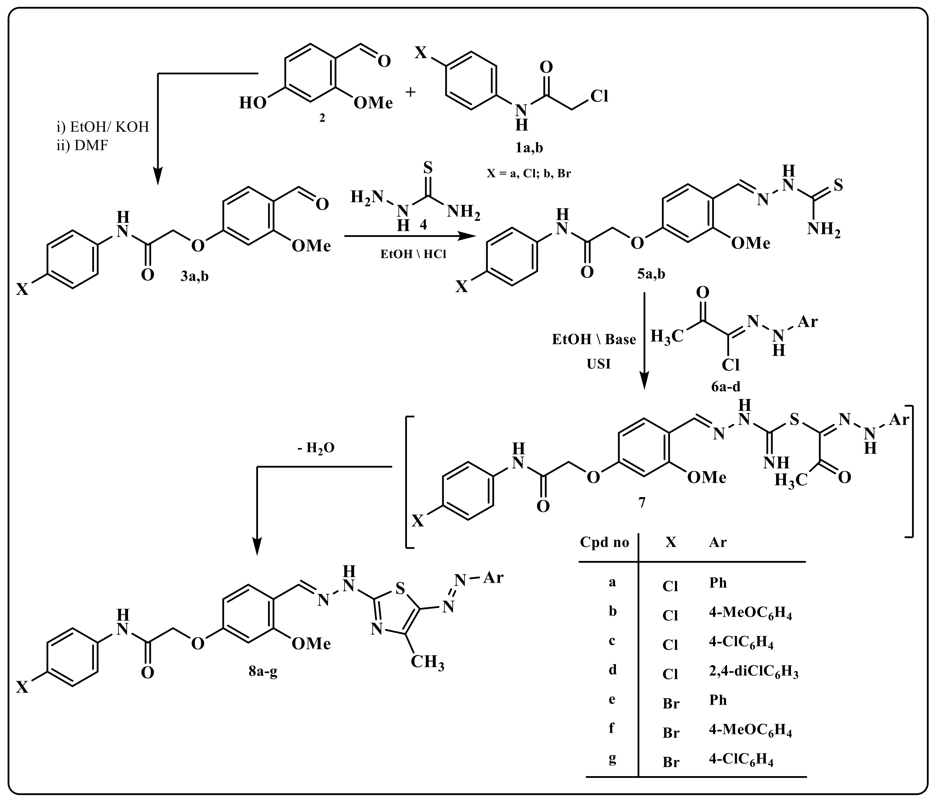
2.3. Synthesis of Thiazole Derivatives 5a,b
2.4. Synthesis of Thiazole Derivatives 8a–g
3. Results and Discussion
3.1. Preparation of the Chitosan–CaO Nanocomposite
3.1.1. FTIR Characterization
3.1.2. X-ray Diffraction (XRD)
3.1.3. FESEM and Morphological Changes
3.1.4. Energy-Dispersive X-ray Spectroscopy (EDS) and Estimation of Calcium
3.2. Synthesis of Thiazole Derivatives Using the CS–CaO Nanocomposite Film as Basic Heterogeneous Catalyst
4. Conclusions
Supplementary Materials
Author Contributions
Funding
Institutional Review Board Statement
Informed Consent Statement
Data Availability Statement
Acknowledgments
Conflicts of Interest
References
- Atodiresei, I.; Vila, C.; Rueping, M. Asymmetric Organocatalysis in Continuous Flow: Opportunities for Impacting Industrial Catalysis. ACS Catal. 2015, 5, 1972–1985. [Google Scholar] [CrossRef]
- Bell, A.T. The Impact of Nanoscience on Heterogeneous Catalysis. Science 2003, 299, 1688–1691. [Google Scholar] [CrossRef] [PubMed]
- Nongkhlaw, R.L.; Rahman, N. Recent advances in organo-nano catalysis in the field of green organic synthesis. Arkivoc 2018, 6, 272–313. [Google Scholar] [CrossRef]
- Gawande, M.B.; Zboril, R.; Malgras, V.; Yamauchi, Y. Integrated nanocatalysts: A unique class of heterogeneous catalysts. J. Mater. Chem. A 2015, 3, 8241–8245. [Google Scholar] [CrossRef]
- Somwanshi, S.B.; Somvanshi, S.B.; Kharat, P.B. Nanocatalyst: A Brief Review on Synthesis to Applications. J. Phys. Conf. Ser. 2020, 1644, 012046. [Google Scholar] [CrossRef]
- Xu, Q.; Song, Y.; Li, Y.; Liu, Z. Nanocatalysis for Organic Chemistry. Curr. Org. Chem. 2016, 20, 2013–2021. [Google Scholar] [CrossRef]
- Riyadh, S.M.; Khalil, K.D.; Bashal, A.H. Structural Properties and Catalytic Activity of Binary Poly (vinyl alcohol)/Al2O3 Nanocomposite Film for Synthesis of Thiazoles. Catalysts 2020, 10, 100. [Google Scholar] [CrossRef]
- Khalil, K.D.; Ibrahim, E.I.; Al-Sagheer, F.A. A novel, efficient, and recyclable biocatalyst for Michael addition reactions and its iron(iii) complex as promoter for alkyl oxidation reactions. Catal. Sci. Technol. 2016, 6, 1410–1416. [Google Scholar] [CrossRef]
- Ling, J.S.J.; Tan, Y.H.; Mubarak, N.M.; Kansedo, J.; Saptoro, A.; Nolasco-Hipolito, C. A review of heterogeneous calcium oxide based catalyst from waste for biodiesel synthesis. SN Appl. Sci. 2019, 1, 810. [Google Scholar] [CrossRef]
- Safaei-Ghomi, J.; Ghasemzadeh, M.A.; Mehrabi, M. Calcium oxide nanoparticles catalyzed one-step multicomponent synthesis of highly substituted pyridines in aqueous ethanol media. Sci. Iran. C 2013, 20, 549–554. [Google Scholar]
- Kasama, K.; Inoue, Y.; Yasumori, I. Catalysis by alkaline earth metal oxides. I. the mechanism of ethylene hydrogenation on calcium oxide. Bull. Chem. Soc. Jpn. 1980, 53, 1842–1847. [Google Scholar] [CrossRef]
- Kulkarni, P. Calcium Oxide Catalyzed Synthesis of Chalcone Under Microwave Condition. Curr. Microw. Chem. 2015, 2, 144–149. [Google Scholar] [CrossRef]
- Dhakar, A.; Goyal, R.; Rajput, A.; Kaurava, M.S.; Tomar, V.S.; Agarwal, D.D. Multicomponent synthesis of 4H-pyran derivatives using KOH loaded calcium oxide as catalyst in solvent free condition. Curr. Chem. Lett. 2019, 8, 125–136. [Google Scholar] [CrossRef]
- Tang, Y.; Zhang, L.; Wang, S.; Zhang, J.; Miao, Y. Synthesis of dihydropyrazole derivatives using modified calcium oxide as a solid basic catalyst. Prog. React. Kinet. Mech. 2015, 40, 409–418. [Google Scholar] [CrossRef]
- Lee, M.; Chen, B.-Y.; Den, W. Chitosan as a Natural Polymer for Heterogeneous Catalysts Support: A Short Review on Its Applications. Appl. Sci. 2015, 5, 1272–1283. [Google Scholar] [CrossRef]
- Guibal, E. Heterogeneous catalysis on chitosan-based materials: A review. Prog. Polym. Sci. 2005, 30, 71–109. [Google Scholar] [CrossRef]
- El Kadib, A. Chitosan as a Sustainable Organocatalyst: A Concise Overview. ChemSusChem 2014, 8, 217–244. [Google Scholar] [CrossRef] [PubMed]
- Khalil, K.; Al-Matar, H. Chitosan Based Heterogeneous Catalyses: Chitosan-Grafted-Poly(4-Vinylpyridne) as an Efficient Catalyst for Michael Additions and Alkylpyridazinyl Carbonitrile Oxidation. Molecules 2013, 18, 5288–5305. [Google Scholar] [CrossRef]
- Al-Matar, H.M.; Khalil, K.D.; Meier, H.; Elnagdi, M.H. Chitosan as heterogeneous catalyst in Michael additions: The reaction of cinnamonitriles with active methyls, active methylenes and phenols. Arkivoc 2008, 16, 288–301. [Google Scholar] [CrossRef]
- Khalil, K.; Al-Matar, H.; Elnagdi, M. Chitosan as an eco-friendly heterogeneous catalyst for Michael type addition reactions. A simple and efficient route to pyridones and phthalazines. Eur. J. Chem. 2010, 1, 252–258. [Google Scholar] [CrossRef]
- Fu, C.-C.; Hung, T.-C.; Su, C.-H.; Suryani, D.; Wu, W.-T.; Dai, W.-C.; Yeh, Y.-T. Immobilization of calcium oxide onto chitosan beads as a heterogeneous catalyst for biodiesel production. Polym. Int. 2011, 60, 957–962. [Google Scholar] [CrossRef]
- Mostafa, M.A.; Ismail, M.M.; Morsy, J.M.; Hassanin, H.M.; Abdelrazek, M.M. Synthesis, characterization, anticancer, and antioxidant activities of chitosan Schiff bases bearing quinolinone or pyranoquinolinone and their silver nanoparticles derivatives. Polym. Bull. 2022, 1–25. [Google Scholar] [CrossRef]
- Julianto, T.S.; Mumpuni, R.A. Chitosan and N-Alkyl chitosan as a heterogeneous based catalyst in the transesterification reaction of used cooking oil. IOP Conf. Ser. Mater. Sci. Eng. 2016, 107, 012004. [Google Scholar] [CrossRef]
- Elazab, H.A.; Remiz, Y.G.; Radwan, M.A.; Radwan, M.A.; Sadek, M.A. Synthesis and Characterization of Chitosan based Catalyst for Catalysis Applications. Int. J. Adv. Trends Comput. Sci. Eng. 2020, 9, 521–527. [Google Scholar] [CrossRef]
- Aljuhani, A.; Riyadh, S.M.; Khalil, K.D. Chitosan/CuO nanocomposite films mediated regioselective synthesis of 1,3,4-trisubstituted pyrazoles under microwave irradiation. J. Saudi Chem. Soc. 2021, 25, 101276. [Google Scholar] [CrossRef]
- Khalil, K.D.; Riyadh, S.M.; Gomha, S.M.; Ali, I. Synthesis, characterization and application of copper oxide chitosan nanocomposite for green regioselective synthesis of [1,2,3]triazoles. Int. J. Biol. Macromol. 2019, 130, 928–937. [Google Scholar] [CrossRef]
- Madkour, M.; Khalil, K.D.; Al-Sagheer, F.A. Heterogeneous Hybrid Nanocomposite Based on Chitosan/Magnesia Hybrid Films: Ecofriendly and Recyclable Solid Catalysts for Organic Reactions. Polymers 2021, 17, 3583. [Google Scholar] [CrossRef] [PubMed]
- Riyadh, S.M.; Khalil, K.D.; Aljuhani, A. Chitosan-MgO nanocomposite: One pot preparation and its utility as an ecofriendly biocatalyst in the synthesis of thiazoles and [1,3,4] thiadiazoles. Nanomaterials 2018, 8, 928. [Google Scholar] [CrossRef] [PubMed]
- Abdel-Naby, A.S.; Nabil, S.; Aldulaijan, S.; Ababutain, I.M.; Alghamdi, A.I.; Almubayedh, S.; Khalil, K.D. Synthesis, Characterization of Chitosan-Aluminum Oxide Nanocomposite for Green Synthesis of Annulated Imidazopyrazol Thione Derivatives. Polymers 2021, 13, 1160. [Google Scholar] [CrossRef]
- Khalil, K.D.; Riyadh, S.M.; Alkayal, N.S.; Bashal, A.H.; Alharbi, K.H.; Alharbi, W. Chitosan-Strontium Oxide Nanocomposite: Preparation, Characterization, and Catalytic Potency in Thiadiazoles Synthesis. Polymers 2022, 14, 2827. [Google Scholar] [CrossRef] [PubMed]
- Xu, H.; Liao, W.M.; Li, H.F. A mild and efficient ultrasound-assisted synthesis of diaryl ethers without any catalyst. Ultrason. Sonochem. 2007, 14, 779–782. [Google Scholar] [CrossRef]
- Jarag, K.J.; Pinjari, D.V.; Pandit, A.B.; Shankarling, G.S. Synthesis of chalcone (3-(4-fluorophenyl)-1-(4-methoxyphenyl) prop-2-en-1-one): Advantage of sonochemical method over conventional method. Ultrason. Sonochem. 2011, 18, 617–623. [Google Scholar] [CrossRef] [PubMed]
- Alshabanah, L.A.; Al-Mutabagani, L.A.; Gomha, S.M.; Ahmed, H.A. Three-component synthesis of some new coumarin derivatives as anti-cancer agents. Front. Chem. 2022, 9, 762248. [Google Scholar] [CrossRef] [PubMed]
- Cravotto, G.; Fokin, V.V.; Garella, D.; Binello, A.; Boffa, L.; Barge, A. Ultrasound-Promoted Copper-Catalyzed Azide-Alkyne Cycloaddition. J. Comb. Chem. 2010, 12, 13–15. [Google Scholar] [CrossRef]
- Gomha, S.M.; Khalil, K.D. A Convenient ultrasound-promoted synthesis and cytotoxic activity of some new thiazole derivatives bearing a coumarin nucleus. Molecules 2012, 17, 9335–9347. [Google Scholar] [CrossRef]
- Pizzuti, L.; Martins, P.L.G.; Ribeiro, B.A.; Quina, F.H.; Pinto, E.; Flores, A.F.C.; Venzke, D.; Pereira, C.M.P. Efficient sonochemical synthesis of novel 3,5-diaryl-4,5-dihydro-1H-pyrazole-1-carboximidamides. Ultrason. Sonochem. 2010, 17, 34–37. [Google Scholar] [CrossRef] [PubMed]
- Franchetti, P.; Cappellacci, L.; Grifantini, M.; Barzi, A.; Nocentini, G.; Yang, H.; O’Connor, A.; Jayaram, H.N.; Carrell, C.; Goldstein, B.M. Furanfurin and thiophenfurin: Two novel tiazofurin analogues. Synthesis, structure, antitumour activity, and interactions with inosine monophosphate dehydrogenase. J. Med. Chem. 1995, 38, 3829–3837. [Google Scholar]
- Li, X.; He, Y.; Ruiz, C.H.; Koenig, M.; Cameron, M.D. Characterization of dasatinib and its structural analogs as CYP3A4 mechanism-based inactivators and the proposed bioactivation pathways. Drug Metab. Dispos. 2009, 37, 1242–1250. [Google Scholar] [CrossRef]
- Hu-Lieskovan, S.; Mok, S.; Homet Moreno, B.; Tsoi, J.; Robert, L.; Goedert, L.; Pinheiro, E.M.; Koya, R.C.; Graeber, T.G.; Comin-Anduix, B.; et al. Improved antitumour activity of immunotherapy with B-RAF and MEK inhibitors in BRAF(V600E) melanoma. Sci. Transl. Med. 2015, 18, 279ra41. [Google Scholar]
- Yao, Y.; Chen, S.; Zhou, X.; Xie, L.; Chen, A. 5-FU and ixabepilone modify the microRNA expression profiles in MDA-MB-453 triple-negative breast cancer cells. Oncol. Lett. 2014, 7, 541–547. [Google Scholar] [CrossRef] [PubMed]
- Altmann, K.H. Epothilone B and its analogs—A new family of anti-cancer agents. Mini Rev. Med. Chem. 2003, 3, 149–158. [Google Scholar] [CrossRef] [PubMed]
- Aliabadi, A.; Shamsa, F.; Ostad, S.N.; Emami, S.; Shafiee, A.; Davoodi, J.; Foroumadi, A. Synthesis and biological evaluation of 2-phenylthiazole-4-carboxamide derivatives as anti-cancer agents. Eur. J. Med. Chem. 2010, 45, 5384–5389. [Google Scholar] [CrossRef] [PubMed]
- Banimustafa, M.; Kheirollahi, A.; Safavi, M.; Ardestani, S.K.; Aryapour, H.; Foroumadi, A.; Emami, S. Synthesis and biological evaluation of 3-(trimethoxyphenyl)-2(3H)-thiazole thiones as combretastatin analogs. Eur. J. Med. Chem. 2013, 70, 692–702. [Google Scholar] [CrossRef]
- Ayati, A.; Emami, S.; Asadipour, A.; Shafiee, A.; Foroumadi, A. Recent applications of 1,3-thiazole core structure in the identification of new lead compounds and drug discovery. Eur. J. Med. Chem. 2015, 97, 699–718. [Google Scholar] [CrossRef]
- Das, D.; Sikdar, P.; Bairagi, M. Recent developments of 2-aminothiazoles in medicinal chemistry. Eur. J. Med. Chem. 2016, 109, 89–98. [Google Scholar] [CrossRef]
- Habte, L.; Shiferaw, N.; Mulatu, D.; Thenepalli, T.; Chilakala, R.; Ahn, J.W. Synthesis of Nano-Calcium Oxide from Waste Eggshell by Sol-Gel Method. Sustainability 2019, 11, 3196. [Google Scholar] [CrossRef]
- Margaretha, Y.Y.; Prastyo, H.S.; Ayucitra, A.; Ismadji, S. Calcium oxide from Pomacea sp. shell as a catalyst for biodiesel production. Int. J. Energy Environ. Eng. 2012, 3, 33. [Google Scholar] [CrossRef]
- Klug, H.P.; Alexander, L.E. X-ray Diffraction Procedures; John Wiley and Sons Inc.: New York, NY, USA, 1954; p. 633. [Google Scholar]
- Abbas, E.M.H.; Gomha, S.M.; Farghaly, T.A. Multicomponent reactions for synthesis of bioactive polyheterocyclic ring systems under controlled microwave irradiation. Arab. J. Chem. 2014, 7, 623–629. [Google Scholar] [CrossRef]
- Gomha, S.M.; Riyadh, S.M. Synthesis of triazolo[4,3-b][1,2,4,5]tetrazines and triazolo[3,4-b][1,3,4]thiadiazines using chitosan as ecofriendly catalyst under microwave irradiation. Arkivoc 2009, 6, 58–68. [Google Scholar] [CrossRef]
- Abu-Melha, S.; Gomha, S.M.; Abouzied, A.S.; Edrees, M.M.; Abo Dena, A.S.; Muhammad, Z.A. Microwave-assisted one pot three-component synthesis of novel bioactive thiazolyl-pyridazinediones as potential antimicrobial agents against antibiotic-resistant bacteria. Molecules 2021, 26, 4260. [Google Scholar] [CrossRef] [PubMed]
- Rashdan, H.R.M.; Gomha, S.M.; El-Gendey, M.S.; El-Hashash, M.A.; Soliman, A.M.M. Eco-friendly one-pot synthesis of some new pyrazolo[1,2-b]phthalazinediones with antiproliferative efficacy on human hepatic cancer cell lines. Green Chem. Lett. Rev. 2018, 11, 264–274. [Google Scholar] [CrossRef]
- Sayed, A.R.; Gomha, S.M.; Taher, E.A.; Muhammad, Z.A.; El-Seedi, H.R.; Gaber, H.M.; Ahmed, M.M. One-pot synthesis of novel thiazoles as potential anti-cancer agents. Drug Des. Dev. Ther. 2020, 14, 1363–1375. [Google Scholar] [CrossRef] [PubMed]
- Gomha, S.M.; Edrees, M.M.; Muhammad, Z.A.; El-Reedy, A.A.M. 5-(Thiophen-2-yl)-1,3,4-thiadiazole derivatives: Synthesis, molecular docking and in-vitro cytotoxicity evaluation as potential anti-cancer agents. Drug Des. Dev. Ther. 2018, 12, 1511–1523. [Google Scholar] [CrossRef] [PubMed]
- Omar, R.S.; Ragheb, M.A.; Elwahy, A.H.M.; Abdelhamid, I.A. Facile one-pot, three-component synthesis of novel fused 4H-pyrans incorporating 2-phenoxy-N-phenylacetamide core as novel hybrid molecules via Michael addition reaction. Arkivoc 2021, 10, 183–198. [Google Scholar] [CrossRef]







| Compound No. | X | Ar | TEA | CS–CaO Nanocomposite | ||
|---|---|---|---|---|---|---|
| Time (Min) | (%) Yield | Time (Min) | (%) Yield | |||
| 8a | Cl | C6H5 | 38 | 72 | 21 | 91 |
| 8b | Cl | 4-MeOC6H4 | 43 | 70 | 24 | 88 |
| 8c | Cl | 4-ClC6H4 | 29 | 72 | 21 | 90 |
| 8d | Cl | 2,4-diClC6H3 | 25 | 75 | 20 | 92 |
| 8e | Br | C6H5 | 42 | 71 | 24 | 88 |
| 8f | Br | 4-MeOC6H4 | 44 | 69 | 27 | 87 |
| 8g | Br | 4-ClC6H4 | 33 | 73 | 24 | 89 |
| Entry | Catalyst (Mol%) | Solvent | Time (Min) | Temperature (°C) | Yield (%) |
|---|---|---|---|---|---|
| 1 | 5 (0.065 g) | EtOH | 23 | 40 | 61 |
| 2 | 10 (0.13 g) | EtOH | 23 | 40 | 83 |
| 3 a | 20 (0.26 g) | EtOH | 23 | 40 | 91 |
| 4 | 20 (0.26 g) | Dioxane | 23 | 40 | 85 |
| 5 | 20 (0.26 g) | DMSO | 23 | 40 | 82 |
| 6 | 20 (0.26 g) | EtOH | 20 | 40 | 87 |
| 7 | 20 (0.26 g) | EtOH | 30 | 40 | 90 |
| 8 | 20 (0.26 g) | EtOH | 23 | 25 | 73 |
| 9 | 20 (0.26 g) | EtOH | 23 | 35 | 87 |
| 10 | 20 (0.26 g) | EtOH | 23 | 50 | 91 |
| State of Catalyst | Fresh Catalyst | Recycled 1 | Recycled 2 | Recycled 3 | Recycled 4 |
|---|---|---|---|---|---|
| Product 8a (% Yield) | 91 | 90 | 88 | 85 | 53 |
Publisher’s Note: MDPI stays neutral with regard to jurisdictional claims in published maps and institutional affiliations. |
© 2022 by the authors. Licensee MDPI, Basel, Switzerland. This article is an open access article distributed under the terms and conditions of the Creative Commons Attribution (CC BY) license (https://creativecommons.org/licenses/by/4.0/).
Share and Cite
Khalil, K.D.; Ahmed, H.A.; Bashal, A.H.; Bräse, S.; Nayl, A.A.; Gomha, S.M. Efficient, Recyclable, and Heterogeneous Base Nanocatalyst for Thiazoles with a Chitosan-Capped Calcium Oxide Nanocomposite. Polymers 2022, 14, 3347. https://doi.org/10.3390/polym14163347
Khalil KD, Ahmed HA, Bashal AH, Bräse S, Nayl AA, Gomha SM. Efficient, Recyclable, and Heterogeneous Base Nanocatalyst for Thiazoles with a Chitosan-Capped Calcium Oxide Nanocomposite. Polymers. 2022; 14(16):3347. https://doi.org/10.3390/polym14163347
Chicago/Turabian StyleKhalil, Khaled D., Hoda A. Ahmed, Ali H. Bashal, Stefan Bräse, AbdElAziz A. Nayl, and Sobhi M. Gomha. 2022. "Efficient, Recyclable, and Heterogeneous Base Nanocatalyst for Thiazoles with a Chitosan-Capped Calcium Oxide Nanocomposite" Polymers 14, no. 16: 3347. https://doi.org/10.3390/polym14163347
APA StyleKhalil, K. D., Ahmed, H. A., Bashal, A. H., Bräse, S., Nayl, A. A., & Gomha, S. M. (2022). Efficient, Recyclable, and Heterogeneous Base Nanocatalyst for Thiazoles with a Chitosan-Capped Calcium Oxide Nanocomposite. Polymers, 14(16), 3347. https://doi.org/10.3390/polym14163347

