Catalytic Etherification of ortho-Phosphoric Acid for the Synthesis of Polyurethane Ionomer Films
Abstract
:1. Introduction
2. Materials and Methods
2.1. Materials
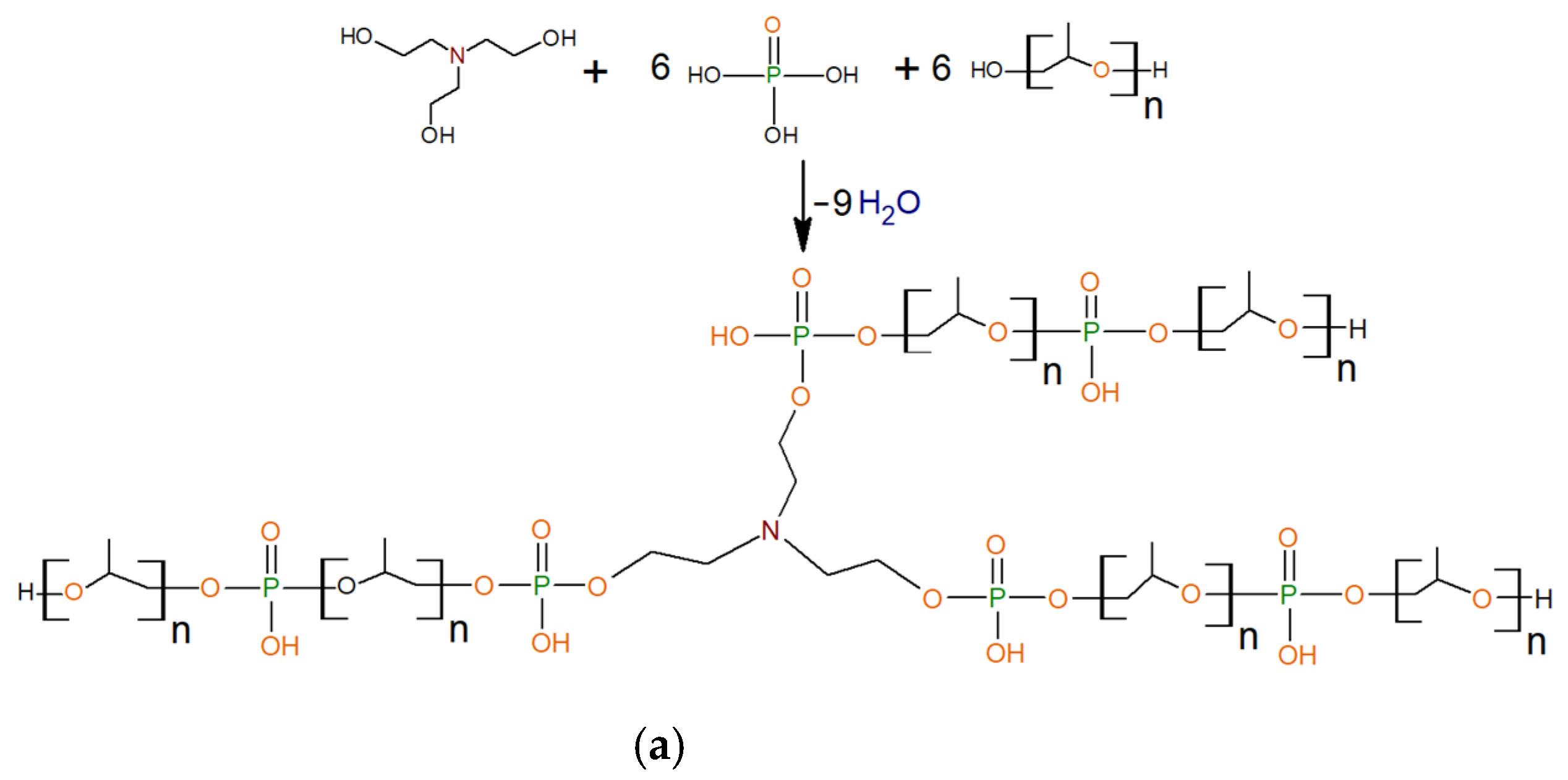
2.2. Synthetic Procedures: General Procedure for Synthesis of Ethers/Aminoethers of Ortho-Phosphoric Acid (EPA/AEPA)
2.3. General Procedure for the Synthesis of Polyurethane Ionomer Films Based on Aminoethers of Ortho-Phosphoric Acid
2.4. Measurements
2.4.1. Measurements of the Surface Tension
2.4.2. The Dynamic Viscosity and Density Measurements
2.4.3. Light-Scattering of Solution
2.4.4. NMR Spectroscopy
2.4.5. Water Concentration Measurement
2.4.6. Fourier-Transform Infrared Spectroscopy Analysis (FTIR)
2.4.7. Determination of The Content of Ortho-Phosphoric Acid by Titration
2.4.8. Mechanical Loss Tangent Measurements (MLT)
2.4.9. Thermomechanical Analysis (TMA)
2.4.10. Tensile Stress-Strain Measurements
3. Results
3.1. Ortho-Phosphoric Acid Etherification
3.2. AEPA-6-PU Films Characterization
4. Conclusions
Author Contributions
Funding
Institutional Review Board Statement
Informed Consent Statement
Data Availability Statement
Acknowledgments
Conflicts of Interest
References
- Capek, I. Dispersions of polymer ionomers: I. Adv. Colloid Interface Sci. 2004, 112, 1–29. [Google Scholar] [CrossRef] [PubMed]
- Kevin, A.C.; Weiss, R.A. Ion-Containing Polymer Synthesis. In Encyclopedia of Polymeric Nanomaterials; Kobayashi, S., Müllen, K., Eds.; Springer: Berlin/Heidelberg, Germany, 2014; pp. 1011–1019. [Google Scholar] [CrossRef]
- Tant, M.R.; Mauritz, K.A.; Wilkes, G.L. Ionomers: Synthesis, Structure, Properties and Applications; Springer: Dordrecht, The Netherlands, 1997; pp. 3–40. [Google Scholar] [CrossRef]
- Zhang, L.; Brostowitz, N.R.; Cavicchi, K.A.; Weiss, R.A. Perspective: Ionomer Research and Applications. Macromol. React. Eng. 2014, 8, 81–99. [Google Scholar] [CrossRef]
- Chen, N.; Lee, Y.M. Anion exchange polyelectrolytes for membranes and ionomers. Prog. Polym. Sci. 2021, 113, 101345. [Google Scholar] [CrossRef]
- Ghoshal, S.; Pivovar, B.S.; Alia, S.M. Evaluating the effect of membrane-ionomer combinations and supporting electrolytes on the performance of cobalt nanoparticle anodes in anion exchange membrane electrolyzers. J. Power Sources 2021, 488, 229433. [Google Scholar] [CrossRef]
- Pyo, J.-B.; Lee, S.; Kim, T.-S. Intrinsic swelling behavior of free-standing nanoporous ionomer-bound carbon films. Polym. Test. 2021, 100, 107241. [Google Scholar] [CrossRef]
- Pregi, E.; Kun, D.; Waca, A.; Pukánszky, B. The role of ionic clusters in the determination of the properties of partially neutralized ethylene-acrylic acid ionomers. Eur. Polym. J. 2021, 142, 110110. [Google Scholar] [CrossRef]
- Adhikari, S.; Pagels, M.K.; YeobJeon, J.; Bae, C. Ionomers for electrochemical energy conversion & storage technologies. Polymer 2020, 211, 123080. [Google Scholar] [CrossRef]
- Salari, S.; Tam, M.; McCague, C.; Stumper, J.; Bahrami, M. The ex-situ and in-situ gas diffusivities of polymer electrolyte membrane fuel cell catalyst layer and contribution of primary pores, secondary pores, ionomer and water to the total oxygen diffusion resistance. J. Power Sources 2020, 449, 227479. [Google Scholar] [CrossRef]
- Liu, B.; Bazan, G.C. Conjugated Polyelectrolytes: Fundamentals and Applications; Wiley-VCH: Weinheim, Germany, 2013; pp. 1–418. [Google Scholar] [CrossRef]
- Szabo, G.; Kun, D.; Renner, K.; Pukanszky, B. Structure, properties and interactions in ionomer/lignin blends. Mater. Des. 2018, 152, 129–139. [Google Scholar] [CrossRef]
- Xu, C.-L.; Zeng, J.-B.; Wang, Y.-Z. Sustainable waterborne polyurethane ionomer reinforced poly(vinyl alcohol) composite film. Compos. Sci. Technol. 2014, 96, 109–115. [Google Scholar] [CrossRef]
- Pierre, F.; Commarieu, B.; Tavares, A.C.; Claverie, J. High Tg sulfonated insertion polynorbornene ionomers prepared by catalytic insertion polymerization. Polymer 2016, 86, 91–97. [Google Scholar] [CrossRef]
- Polizos, G.; Kyritsis, A.; Pissis, P.; Shilov, V.V.; Shevchenko, V.V. Structure and molecular mobility studies in novel polyurethane ionomers based on poly(ethylene oxide). State Ion. 2000, 136, 1139–1146. [Google Scholar] [CrossRef]
- Eisenberg, A.; Hird, B.; Moore, R.B. A New Multiplet-Cluster Model for the Morphology of Random Ionomers. Macromolecules 1990, 23, 4098–4107. [Google Scholar] [CrossRef]
- Alice Ng, C.-W.; Macknight, W.J. Ionomeric Blends of Poly(ethyl acrylate-co-4-vinylpyridine) with Metal-Neutralized Sulfonated Poly(ethylene terephthalate). Effects of Counterions. Macromolecules 1996, 29, 2421–2429. [Google Scholar] [CrossRef]
- Macknight, W.J.; Earnest, T.R. The structure and properties of ionomers. J. Polym. Sci. Macromol. Rev. 1981, 16, 41–122. [Google Scholar] [CrossRef]
- Donne, L.A.; Russo, S.; Bodo, E. Assessing the propensity toward ionization in nanosized clusters of protic ionic liquids by Ab-initio methods. Chem. Phys. 2022, 552, 111365. [Google Scholar] [CrossRef]
- Macknight, W.J.; Taggart, W.P.; Stein, R.S. A model for the structure of ionomers. J. Polym. Sci. Polym. Symp. 1974, 45, 113–128. [Google Scholar] [CrossRef]
- Yarusso, D.J.; Cooper, S.L. Microstructure of ionomers: Interpretation of small-angle x-ray scattering data. Macromolecules 1983, 16, 1871–1880. [Google Scholar] [CrossRef]
- Marx, C.L.; Caulfield, D.F.; Cooper, S.L. Morphology of Ionomers. Macromolecules 1973, 6, 344–353. [Google Scholar] [CrossRef]
- Mark, H.F. Encyclopedia of Polymer Science and Technology, 4th ed.; John Wiley & Sons Inc.: New York, NY, USA, 2014; pp. 1–805. [Google Scholar] [CrossRef]
- Visser, S.A.; Cooper, S. Comparison of the physical properties of carboxylated and sulfonated model polyurethane ionomers. Macromolecules 1991, 24, 2576–2583. [Google Scholar] [CrossRef]
- Longworth, R. Ionic Polymers. In Polymers; Holliday, L., Ed.; Applied Science: London, UK, 1975; Chapter 2; p. 96. [Google Scholar] [CrossRef]
- Chattopadhyay, D.K.; Raju, K.V.S.N. Structural engineering of polyurethane coatings for high performance applications. Prog. Polym. Sci. 2007, 32, 352–418. [Google Scholar] [CrossRef]
- Das, A.; Mahanwar, P. A brief discussion on advances in polyurethane applications. Adv. Ind. and Eng. Polym. Res. 2020, 3, 93–101. [Google Scholar] [CrossRef]
- Ahmadi, Y.; Kim, K.-H.; Kim, S.; Tabatabaei, M. Recent advances in polyurethanes as efficient media for thermal energy storage. Energy Storage Mater. 2020, 30, 74–86. [Google Scholar] [CrossRef]
- Paraskar, P.M.; Prabhudesai, M.S.; Hatkar, V.M.; Kulkarni, R.D. Vegetable oil based polyurethane coatings—A sustainable approach: A review. Prog. Org. Coat. 2021, 156, 106267. [Google Scholar] [CrossRef]
- Wu, J.; Cooke, R.H.; Livingston, H.A.; Parker, G.L.; Peoples, B.C.; Ekin, A.; Storey, R.F. Polyurethane coatings cured via azide-alkyne cycloaddition using reduced-viscosity poly(alkynyl carbamate) prepolymers. Prog. Org. Coat. 2021, 151, 106079. [Google Scholar] [CrossRef]
- Jaudouin, O.; Robin, J.-J.; Lopez-Cuesta, J.-M.; Perrin, D.; Imbert, C. Ionomer-based polyurethanes: A comparative study of properties and applications. Polym. Int. 2012, 61, 495–540. [Google Scholar] [CrossRef]
- Krol, P.; Krol, B. Structures, properties and applications of the polyurethane ionomers. J. Mater. Sci. 2020, 55, 73–87. [Google Scholar] [CrossRef]
- Nelson, A.M.; Long, T.M. Synthesis, Properties, and Applications of Ion-Containing Polyurethane Segmented Copolymers. Macromol. Chem. Phys. 2014, 215, 2161–2174. [Google Scholar] [CrossRef]
- Gao, R.; Zhang, M.; Wang, S.-W.; Moore, R.B.; Colby, R.H.; Long, T.E. Polyurethanes Containing an Imidazolium Diol-Based Ionic-Liquid Chain Extender for Incorporation of Ionic-Liquid Electrolytes. Macromol. Chem. Phys. 2013, 214, 1027–1036. [Google Scholar] [CrossRef]
- Zhang, M.; Hemp, S.T.; Zhang, M.; Allen, M.H., Jr.; Carmean, R.N.; Moore, R.B.; Long, T.E. Water-dispersible cationic polyurethanes containing pendant trialkylphosphoniums. Polym. Chem. 2014, 5, 3795–3803. [Google Scholar] [CrossRef]
- Williams, S.R.; Wang, W.; Winey, K.I.; Long, T.E. Synthesis and Morphology of Segmented Poly(tetramethylene oxide)-Based Polyurethanes Containing Phosphonium Salts. Macromolecules 2008, 41, 9072–9079. [Google Scholar] [CrossRef]
- Narayan, R.; Chattopadhyay, D.K.; Sreedhar, B.; Raju, K.V.S.N.; Mallikarjuna, N.N.; Aminabhavi, T.M. Synthesis and characterization of crosslinked polyurethane dispersions based on hydroxylated polyesters. J. Appl. Polym. Sci. 2006, 99, 368–380. [Google Scholar] [CrossRef]
- Jaisankar, S.N.; Anandprabu, A.; Lakshminarayana, Y.; Radhakrishnan, G. Preparation and properties of semi-interpenetrating polymer networks based on polyurethane ionomer/polyvinyl chloride. J. Mater. Sci. 2000, 35, 1065–1068. [Google Scholar] [CrossRef]
- Nakayama, Y.; Inaba, Y.; Toda, Y.; Tanaka, R.; Cai, Z.; Shiono, T.; Shirahama, H.; Tsutsumi, C. Synthesis and properties of cationic ionomers from poly(ester-urethane)s based on polylactide. J. Polym. Sci. Part A Polym. Chem. 2013, 51, 4423–4428. [Google Scholar] [CrossRef]
- Bullermann, J.; Spohnholz, R.; Friebe, S.; Tunga, S.T. Synthesis and characterization of polyurethane ionomers with trimellitic anhydride and dimethylol propionic acid for waterborne self-emulsifying dispersions. J. Appl. Polym. Sci. 2014, 52, 680–690. [Google Scholar] [CrossRef]
- Zhou, X.; Fang, C.; Chen, J.; Li, S.; Li, Y.; Lei, W. Correlation of raw materials and waterborne polyurethane properties by sequence similarity analysis. J. Mater. Sci. Technol. 2016, 32, 687–694. [Google Scholar] [CrossRef]
- Nomula, S.; Cooper, S.L. Effect of Solvent Polarity in Ionomer Solutions. Macromolecules 2001, 34, 925–930. [Google Scholar] [CrossRef]
- Tsonos, C.; Apekis, L.; Viras, K.; Stepanenko, L.; Karabanova, L.; Sergeeva, L. Investigation of the Microphase Separation in Blends of Polyurethane-Based Ionomers. J. Macromol. Sci. Part B 2000, 39, 155–174. [Google Scholar] [CrossRef]
- Tai, N.L.; Adhikari, R.; Shanks, R.; Hakkey, P.; Adhikari, B. Flexible starch-polyurethane films: Effect mixed macrodiol polyurethane ionomers on physicochemical characteristics and hydrophobicity. Carbohydr. Polym. 2018, 197, 321–335. [Google Scholar] [CrossRef] [PubMed]
- Kumar, S.; Prakash, R.; Maiti, P. Redox mediation through integrating chain extenders in active ionomer polyurethane hard segments in CdS quantum dot sensitized solar cell. Solar Energy 2022, 231, 985–1001. [Google Scholar] [CrossRef]
- Tsonos, C.; Apekis, L.; Viras, K.; Stepanenko, L.; Karabanova, L.; Sergeeva, L. Electrical and dielectric behavior in blends of polyurethane-based ionomers. Solid State Ion. 2001, 143, 229–249. [Google Scholar] [CrossRef]
- Lam, P.K.H.; George, M.H.; Barrie, J.A. Sulfonated polyurethane ionomers with new ionic diols. Polymer 1989, 30, 2320–2323. [Google Scholar] [CrossRef]
- Luca, E.D.; Waigh, T.A.; Kim, J.S.; Jeon, H.S.; Pyckhout-Hintzen, W. Phase separation in randomly charged polystyrene sulphonate ionomer solutions. Polymer 2005, 46, 7109–7117. [Google Scholar] [CrossRef]
- Kakati, D.K.; George, M.H. Polyurethane ionomers containing phosphate groups. Polymer 1993, 34, 4319–4324. [Google Scholar] [CrossRef]
- Kakati, D.K.; Gosain, R.; George, M.H. New polyurethane ionomers containing phosphonate group. Polymer 1994, 35, 398–402. [Google Scholar] [CrossRef]
- Mehrdad, A.; Noorani, N. Permeability behavior of polyvinyl chloride-ionic liquid ionomer for CO2/CH4 separation. Sep. Purif. Technol. 2019, 226, 138–145. [Google Scholar] [CrossRef]
- McKee, M.G.; Layman, J.M.; Cashion, M.P.; Long, T.E. Phospholipid Nonwoven Electrospun Membranes. Science 2006, 311, 353–355. [Google Scholar] [CrossRef]
- Sakakura, A.; Katsukawa, M.; Ishihara, K. Selective Synthesis of Phosphate monoesters by dehydrative condensation of phosphoric acid and alcohols promoted by nucleophilic bases. Org. Lett. 2005, 7, 1999–2002. [Google Scholar] [CrossRef]
- Honjo, M.; Maruyama, T.; Sato, S.; Marumoto, R. The three deoxynucleoside 5′-monophosphates were further converted into their. Tetrahedron Lett. 1983, 14, 55. [Google Scholar]
- Davletbaeva, I.M.; Sazonov, O.O.; Fazlyev, A.R.; Davletbaev, R.S.; Efimov, S.V.; Klochkov, V.V. Polyurethane ionomers based on amino ethers of orto-phosphoric acid. RSC Adv. 2019, 9, 18599–18608. [Google Scholar] [CrossRef]
- Davletbaeva, I.M.; Sazonov, O.O.; Fazlyev, A.R.; Zakirov, I.N.; Davletbaev, R.S.; Efimov, S.V.; Klochkov, V.V. Thermal behavior of polyurethane ionomers based on amino ethers of ortho-phosphoric acid. Polym. Sci. Ser. A 2020, 62, 337–349. [Google Scholar] [CrossRef]
- Davletbaeva, I.M.; Sazonov, O.O.; Zakirov, I.N.; Gumerov, A.M.; Klinov, A.V.; Fazlyev, A.R.; Malygin, A.V. Organophosphorus polyurethane ionomers aswater vapor permeable and pervaporation membranes. Polymers 2021, 13, 1442. [Google Scholar] [CrossRef] [PubMed]
- Davletbaeva, I.M.; Nizamov, A.A.; Yudina, A.V.; Baymuratova, G.R.; Yarmolenko, O.V.; Sazonov, O.O.; Davletbaev, R.S. Gel-polymer electrolytes based on polyurethane ionomers for lithium power sources. RSC Adv. 2021, 11, 21548–21559. [Google Scholar] [CrossRef] [PubMed]
- Davletbaeva, I.M.; Sazonov, O.O.; Nikitina, E.A.; Kapralova, V.M.; Nizamov, A.A.; Akhmetov, I.G.; Arkhipov, A.V.; Sudar, N.T. Dielectric Properties of Organophosphorus Polyurethane Ionomers. J. Appl. Polym. Sci. 2022, 139, 51751. [Google Scholar] [CrossRef]



















| Reaction System | k, l·mol−1·s−1 |
|---|---|
| [TEOA]:[OPA]:[PPG] | |
| 1:1:0.5 | 0.0081 |
| 1:3:3 | 0.0065 |
| 1:3:6 | 0.0023 |
| 1:6:6 | 0.0033 |
| 1:9:6 | 0.0047 |
| [TEA]:[OPA]:[PPG] | |
| 1:3:6 | 0.0061 |
| 1:6:6 | 0.0054 |
| 1:9:6 | 0.0043 |
Publisher’s Note: MDPI stays neutral with regard to jurisdictional claims in published maps and institutional affiliations. |
© 2022 by the authors. Licensee MDPI, Basel, Switzerland. This article is an open access article distributed under the terms and conditions of the Creative Commons Attribution (CC BY) license (https://creativecommons.org/licenses/by/4.0/).
Share and Cite
Davletbaeva, I.M.; Sazonov, O.O.; Zakirov, I.N.; Davletbaev, R.S.; Efimov, S.V.; Klochkov, V.V. Catalytic Etherification of ortho-Phosphoric Acid for the Synthesis of Polyurethane Ionomer Films. Polymers 2022, 14, 3295. https://doi.org/10.3390/polym14163295
Davletbaeva IM, Sazonov OO, Zakirov IN, Davletbaev RS, Efimov SV, Klochkov VV. Catalytic Etherification of ortho-Phosphoric Acid for the Synthesis of Polyurethane Ionomer Films. Polymers. 2022; 14(16):3295. https://doi.org/10.3390/polym14163295
Chicago/Turabian StyleDavletbaeva, Ilsiya M., Oleg O. Sazonov, Ilyas N. Zakirov, Ruslan S. Davletbaev, Sergey V. Efimov, and Vladimir V. Klochkov. 2022. "Catalytic Etherification of ortho-Phosphoric Acid for the Synthesis of Polyurethane Ionomer Films" Polymers 14, no. 16: 3295. https://doi.org/10.3390/polym14163295
APA StyleDavletbaeva, I. M., Sazonov, O. O., Zakirov, I. N., Davletbaev, R. S., Efimov, S. V., & Klochkov, V. V. (2022). Catalytic Etherification of ortho-Phosphoric Acid for the Synthesis of Polyurethane Ionomer Films. Polymers, 14(16), 3295. https://doi.org/10.3390/polym14163295

