Mechanical Characterization of Graphene—Hexagonal Boron Nitride-Based Kevlar–Carbon Hybrid Fabric Nanocomposites
Abstract
:1. Introduction
2. Materials and Methods
2.1. Composite Fabrication
2.2. Tensile Testing
2.3. Flexural Testing
2.4. Micro Vickers Hardness
2.5. Viscosity Measurement
2.6. Heat Deflection Test
2.7. Impact Test
2.8. Scratch Test
2.9. Digimat Software
3. Results & Discussion
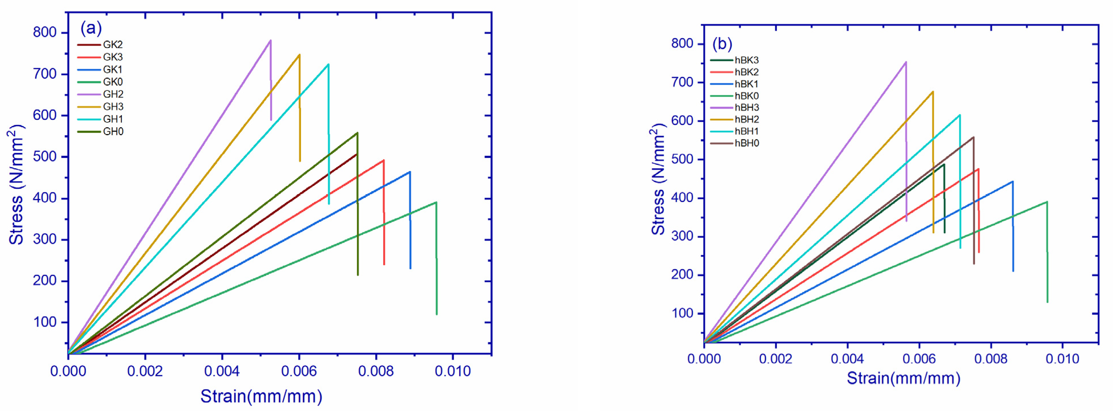
3.1. Tensile Strength
3.2. Dynamic Viscosity
3.3. Flexural Test
3.4. Hardness
3.5. Izod Impact Test
3.6. Heat Deflection Test
3.7. Scratch Test
4. Conclusions
- Hybrid composites show a higher flexural modulus, which demonstrates their usability for compressive and bending load applications. The flexural modulus in the HBH3 composite was increased by 85%.
- Hardness, tensile strength, and heat deflection of graphene-based composites exhibited superior properties when compared to HBN-based composites. The optimum properties were found at 0.3% filler content.
- Digimat simulations were close to experimental results regarding ultimate tensile strength. Simulation results suggested that the applied load conditions are within acceptable limits.
- Kevlar’s impact resistance properties were greatly enhanced by the addition of fillers and thus enhancing their applicability.
Author Contributions
Funding
Conflicts of Interest
References
- Monfared Zanjani, J.S.; Okan, B.S.; Menceloglu, Y.Z.; Yildiz, M. Nano-engineered design and manufacturing of high-performance epoxy matrix composites with carbon fiber/selectively integrated graphene as multi-scale reinforcements. RSC Adv. 2016, 6, 9495–9506. [Google Scholar] [CrossRef]
- Bian, X.; Tuo, R.; Yang, W.; Zhang, Y.; Xie, Q.; Zha, J.; Lin, J.; He, S. Mechanical, Thermal, and Electrical Properties of BN–Epoxy Composites Modified with Carboxyl-Terminated Butadiene Nitrile Liquid Rubber. Polymers 2019, 11, 1548. [Google Scholar] [CrossRef] [PubMed] [Green Version]
- Sharma, S.; Pathak, A.K.; Singh, V.N.; Teotia, S.; Dhakate, S.R.; Singh, B.P. Excellent mechanical properties of long multiwalled carbon nanotube bridged Kevlar fabric. Carbon 2018, 137, 104–117. [Google Scholar] [CrossRef]
- Ahmade, N.S.; Abdullah, H.W.; Abduallah, S.S.; Abdullah, R.M. Fabrication, characterization and some mechanical properties of graphene–kevlar epoxy hybrid. AIP Conf. Proc. 2020, 2213, 020139. [Google Scholar] [CrossRef]
- Hallad, S.A.; Banapurmath, N.R.; Dhage, V.; Ajarekar, V.S.; Godi, M.T.; Shettar, A.S. Kevlar Reinforced Polymer Matrix Composite for Structural Application. IOP Conf. Ser. Mater. Sci. Eng. 2018, 376, 012074. [Google Scholar] [CrossRef]
- Naveen, J.; Jawaid, M.; Zainudin, E.; Sultan, M.T.; Yahaya, R. Effect of graphene nanoplatelets on the ballistic performance of hybrid Kevlar/Cocos nucifera sheath-reinforced epoxy composites. Text. Res. J. 2019, 89, 4349–4362. [Google Scholar] [CrossRef]
- Rahman, A.S.; Mathur, V.; Asmatulu, R. Effect of nanoclay and graphene inclusions on the low-velocity impact resistance of Kevlar-epoxy laminated composites. Compos. Struct. 2018, 187, 481–488. [Google Scholar] [CrossRef]
- Truong, G.T.; Tran, H.V.; Choi, K.-K. Tensile Behavior of Carbon Fiber-Reinforced Polymer Composites Incorporating Nanomaterials after Exposure to Elevated Temperature. J. Nanomater. 2019, 2019, 4139208. [Google Scholar] [CrossRef]
- Tominaga, Y.; Shimamoto, D.; Hotta, Y. Improvement of thermal and mechanical properties of carbon fiber reinforced plastic composite with exfoliated hexagonal boron nitride particles. J. Ceram. Soc. Jpn. 2016, 124, 808–812. [Google Scholar] [CrossRef] [Green Version]
- Zhang, H.; Huang, R.; Li, Y.; Li, H.; Wu, Z.; Huang, J.; Yu, B.; Gao, X.; Li, J.; Li, L. Optimization of Boron Nitride Sphere Loading in Epoxy: Enhanced Thermal Conductivity and Excellent Electrical Insulation. Polymers 2019, 11, 1335. [Google Scholar] [CrossRef] [Green Version]
- Pasare, S.S.; Suresha, B. Mechanical and tribological properties of carbon fabric reinforced epoxy composites with and without boron nitride filler. AIP Conf. Proc. 2020, 2236, 040005. [Google Scholar] [CrossRef]
- Ulus, H. The impact of seawater aging on basalt/graphene nanoplatelet-epoxy composites: Performance evaluating by Dynamic Mechanical Analysis (DMA) and short beam shear (sbs) tests. Niğde Ömer Halisdemir Univ. J. Eng. Sci. 2021, 10, 412–419. Available online: https://dergipark.org.tr/en/pub/ngumuh/issue/59647/791161 (accessed on 6 June 2022).
- Wazalwar, R.; Tripathi, N.; Raichur, A.M. Mechanical and curing behavior of epoxy composites reinforced with polystyrene-graphene oxide (PS-GO) core-shell particles. Compos. Part C Open Access 2021, 5, 100128. [Google Scholar] [CrossRef]
- Nebe, M.; Schmack, T.; Schaefer, T.; Walther, F. Experimental and numerical investigation on the impact response of CFRP under 3-point-bending. Compos. Part C Open Access 2021, 4, 100079. [Google Scholar] [CrossRef]
- Bao, T.; Wang, Z.; Zhao, Y.; Wang, Y.; Yi, X. Improving tribological performance of epoxy composite by reinforcing with polyetheramine-functionalized graphene oxide. J. Mater. Res. Technol. 2021, 12, 1516–1529. [Google Scholar] [CrossRef]
- Raci Aydin, M.; Acar, V.; Cakir, F.; Gündoğdu, Ö.; Akbulut, H. Comparative dynamic analysis of carbon, aramid and glass fiber reinforced interply and intraply hybrid composites. Compos. Struct. 2022, 291, 115595. [Google Scholar] [CrossRef]
- Vedanarayanan, V.; Kumar, B.S.P.; Karuna, M.S.; Jayanthi, A.; Kumar, K.V.P.; Radha, A.; Ramkumar, G.; Christopher, D. Experimental Investigation on Mechanical Behaviour of Kevlar and Ramie Fibre Reinforced Epoxy Composites. J. Nanomater. 2022, 2022, 8802222. [Google Scholar] [CrossRef]
- Yadav, P.S.; Purohit, R.; Namdev, A. Physical and mechanical properties of hybrid composites using Kevlar fibre and nano-SiO2. Adv. Mater. Processing Technol. 2022, 1–13. [Google Scholar] [CrossRef]
- Madarvoni, S.; Ps Rama, S. Dynamic mechanical behaviour of graphene, hexagonal boron nitride reinforced carbon-kevlar, hybrid fabric-based epoxy nanocomposites. Polym. Polym. Compos. 2022, 30, 09673911221107289. [Google Scholar] [CrossRef]
- Xie, B.-H.; Huang, X.; Zhang, G.-J. High thermal conductive polyvinyl alcohol composites with hexagonal boron nitride microplatelets as fillers. Compos. Sci. Technol. 2013, 85, 98–103. [Google Scholar] [CrossRef]
- Srivatsava, M.; Sreekanth, P.S.R. Experimental characterization of dynamic mechanical properties of hybrid carbon-Kevlar reinforced composite with sandwich configuration. Mater. Today Proc. 2020, 27, 931–935. [Google Scholar] [CrossRef]
- Hossain, M.K.; Chowdhury, M.M.R.; Salam, M.B.A.; Jahan, N.; Malone, J.; Hosur, M.V.; Jeelani, S.; Bolden, N.W. Enhanced mechanical properties of carbon fiber/epoxy composites by incorporating XD-grade carbon nanotube. J. Compos. Mater. 2014, 49, 2251–2263. [Google Scholar] [CrossRef]
- Chen, J.; Chen, B.; Li, J.; Tong, X.; Zhao, H.; Wang, L. Enhancement of mechanical and wear resistance performance in hexagonal boron nitride-reinforced epoxy nanocomposites. Polym. Int. 2017, 66, 659–664. [Google Scholar] [CrossRef]
- Kwon, J.; Choi, J.; Huh, H.; Lee, J. Evaluation of the effect of the strain rate on the tensile properties of carbon–epoxy composite laminates. J. Compos. Mater. 2016, 51, 3197–3210. [Google Scholar] [CrossRef]
- Taniguchi, N.; Nishiwaki, T.; Hirayama, N.; Nishida, H.; Kawada, H. Dynamic tensile properties of carbon fiber composite based on thermoplastic epoxy resin loaded in matrix-dominant directions. Compos. Sci. Technol. 2009, 69, 207–213. [Google Scholar] [CrossRef]
- Karahan, M.; Karahan, N. Influence of weaving structure and hybridization on the tensile properties of woven carbon-epoxy composites. J. Reinf. Plast. Compos. 2013, 33, 212–222. [Google Scholar] [CrossRef]
- Atif, R.; Inam, F. Reasons and remedies for the agglomeration of multilayered graphene and carbon nanotubes in polymers. Beilstein J. Nanotechnol. 2016, 7, 1174–1196. [Google Scholar] [CrossRef]
- Agarwal, G.; Patnaik, A.; Sharma, R.K. Thermo-mechanical properties of silicon carbide filled chopped glass fiber reinforced epoxy composites. Int. J. Adv. Struct. Eng. 2013, 5, 21. [Google Scholar] [CrossRef] [Green Version]
- Shen, M.-Y.; Chang, T.-Y.; Hsieh, T.-H.; Li, Y.-L.; Chiang, C.-L.; Yang, H.; Yip, M.-C. Mechanical Properties and Tensile Fatigue of Graphene Nanoplatelets Reinforced Polymer Nanocomposites. J. Nanomater. 2013, 2013, 565401. [Google Scholar] [CrossRef]
- Wang, P.-N.; Hsieh, T.-H.; Chiang, C.-L.; Shen, M.-Y. Synergetic Effects of Mechanical Properties on Graphene Nanoplatelet and Multiwalled Carbon Nanotube Hybrids Reinforced Epoxy/Carbon Fiber Composites. J. Nanomater. 2015, 2015, 838032. [Google Scholar] [CrossRef]
- Hosseini Abbandanak, S.N.; Abdollahi Azghan, M.; Zamani, A.; Fallahnejad, M.; Eslami-Farsani, R.; Siadati, H. Effect of graphene on the interfacial and mechanical properties of hybrid glass/Kevlar fiber metal laminates. J. Ind. Text. 2020, 1528083720932222. [Google Scholar] [CrossRef]
- Muralidhara, B.; Babu, S.P.K.; Suresha, B. Studies on mechanical, thermal and tribological properties of carbon fibre-reinforced boron nitride-filled epoxy composites. High Perform. Polym. 2020, 32, 1061–1081. [Google Scholar] [CrossRef]
- Saha, M.; Tambe, P.; Pal, S.; Kubade, P.; Manivasagam, G.; Anthony Xavior, M.; Umashankar, V. Effect of non-ionic surfactant assisted modification of hexagonal boron nitride nanoplatelets on the mechanical and thermal properties of epoxy nanocomposites. Compos. Interfaces 2015, 22, 611–627. [Google Scholar] [CrossRef]
- Agrawal, A.; Chandrakar, S. Influence of particulate surface treatment on physical, mechanical, thermal, and dielectric behavior of epoxy/hexagonal boron nitride composites. Polym. Compos. 2020, 41, 1574–1583. [Google Scholar] [CrossRef]
- Alqahtani, M. Effect of Hexagonal Boron nitride Nanopowder Reinforcement and Mixing Methods on Physical and Mechanical Properties of Self-Cured PMMA for Dental Applications. Materials 2020, 13, 2323. [Google Scholar] [CrossRef]
- Chegdani, F.; Wang, Z.; El Mansori, M.; Bukkapatnam, S.T.S. Multiscale tribo-mechanical analysis of natural fiber composites for manufacturing applications. Tribol. Int. 2018, 122, 143–150. [Google Scholar] [CrossRef] [Green Version]
- Shokrieh, M.M.; Hosseinkhani, M.R.; Naimi-Jamal, M.R.; Tourani, H. Nanoindentation and nanoscratch investigations on graphene-based nanocomposites. Polym. Test. 2013, 32, 45–51. [Google Scholar] [CrossRef]
- King, J.A.; Miskioglu, I.; Wright-Charlesworth, D.D.; Van Karsen, C.D. Nanoscratch testing to assess the fiber adhesion of short-carbon-fiber composites. J. Appl. Polym. Sci. 2007, 103, 328–335. [Google Scholar] [CrossRef]

















| a | ||
|---|---|---|
| Symbol | No of Layers | GNP (wt.%) |
| GK0 | 9 | 0 |
| GK1 | 9 | 0.1 |
| GK2 | 9 | 0.3 |
| GK3 | 9 | 0.5 |
| GH0 | 9 | 0 |
| GH1 | 9 | 0.1 |
| GH2 | 9 | 0.3 |
| GH3 | 9 | 0.5 |
| b | ||
| Symbol | No of Layers | GNP (wt.%) |
| hBK0 | 9 | 0 |
| hBK1 | 9 | 0.1 |
| hBK2 | 9 | 0.3 |
| hBK3 | 9 | 0.5 |
| hBH0 | 9 | 0 |
| hBH1 | 9 | 0.1 |
| hBH2 | 9 | 0.3 |
| hBH3 | 9 | 0.5 |
| Load | ASTM Standard Deflection (mm) | ISO Standard Deflection (mm) | ASTM Sample Dimensions (mm) | ISO Sample Dimensions (mm) | |||||||
|---|---|---|---|---|---|---|---|---|---|---|---|
| Method A | 1.8 MPa | 0.25 | Flat | Edge | L | B | H | L | B | H | |
| Method B | 0.45 Mpa | 0.32 | 0.34 | 50.8 | 12.6 | 6.35 | Flat | 80 | 10 | 4 | |
| Edge | 120 | 10 | 4 | ||||||||
| Woven Pattern | Twill |
|---|---|
| Number of warp yarns | 9 |
| Number of weft yarns | 9 |
| Number of layers | 9 |
| Warp depth | 2 |
| Weave step | 1 |
| Warp yarn count | 10 |
| Weft yarn count | 10 |
| Yarn spacing ratio | 0 |
| Yarn crimp | 0.1 |
| Fiber Yarn | Kevlar, Hybrid |
|---|---|
| Yarn linear density | 43.96 tex |
| Fiber diameter | 0.05 mm |
| Fiber volume fraction | 0.66 |
| Yarn height | 0.1 mm |
| Yarn width | 0.6 mm |
| a | |||||||
|---|---|---|---|---|---|---|---|
| Fabric | Filler Weight Percentage | Ultimate Tensile Strength (MPa) | Young’s Modulus (GPa) | Ultimate Tensile Strength (MPa) Digimat | Young’s Modulus (GPa) Digimat | UTS Error | Young’s Modulus Error |
| Kevlar | hBK0 | 390.10 | 39.31 | 403.66 | 44.85 | 3.3 | 12.3 |
| hBK1 | 442.65 | 49.58 | 496.61 | 55.17 | 10.8 | 10.1 | |
| hBK2 | 475.44 | 59.90 | 513.73 | 57.08 | 7.4 | 4.7 | |
| hBK3 | 488.09 | 70.20 | 530.46 | 58.94 | 7.9 | 16.0 | |
| Hybrid | hBH0 | 557.67 | 71.54 | 589.92 | 65.54 | 5.4 | 8.3 |
| hBH1 | 616.13 | 72.78 | 681.76 | 74.54 | 9.6 | 2.3 | |
| hBH2 | 676.29 | 77.46 | 698.68 | 77.63 | 3.2 | 0.2 | |
| hBH3 | 752.67 | 85.14 | 779.15 | 86.64 | 3.3 | 1.7 | |
| b | |||||||
| Fabric | Filler Weight Percentage | Ultimate Tensile Strength (MPa) | Young’s Modulus (GPa) | Ultimate Tensile Strength (MPa) Digimat | Young’s Modulus (GPa) Digimat | UTS Error | Young’s Modulus Error |
| Kevlar | GK0 | 390.10 | 39.31 | 403.66 | 44.85 | 3.3 | 12.3 |
| GK1 | 463.70 | 50.29 | 473.65 | 52.62 | 2.1 | 4.4 | |
| GK2 | 507.40 | 65.04 | 541.78 | 60.13 | 6.3 | 7.54 | |
| GK3 | 491.55 | 57.78 | 513.10 | 57.01 | 4.1 | 1.3 | |
| Hybrid | GH0 | 557.67 | 71.54 | 589.92 | 65.54 | 5.4 | 8.3 |
| GH1 | 723.89 | 83.10 | 732.12 | 81.34 | 1.1 | 2.1 | |
| GH2 | 780.58 | 89.09 | 779.12 | 86.56 | 0.18 | 2.83 | |
| GH3 | 746.84 | 85.70 | 751.31 | 83.47 | 0.59 | 2.60 |
| a | |||
|---|---|---|---|
| Fabric | Filler Weight Percentage | Ultimate Flexural Strength (MPa) | Flexural Modulus (GPa) |
| Kevlar | GK0 | 158.49 | 28.33 |
| GK1 | 165.56 | 35.83 | |
| GK2 | 287.0 | 66.66 | |
| GK3 | 253.35 | 57.56 | |
| Hybrid | GH0 | 369.69 | 52.49 |
| GH1 | 443.82 | 72.72 | |
| GH2 | 517.96 | 99.16 | |
| GH3 | 480.81 | 82.89 | |
| b | |||
| Fabric | Filler Weight Percentage | Ultimate Flexural Strength (MPa) | Flexural Modulus (GPa) |
| Kevlar | hBK0 | 158.49 | 28.33 |
| hBK1 | 202.71 | 36.66 | |
| hBK2 | 246.22 | 41.54 | |
| hBK3 | 253.35 | 55.00 | |
| Hybrid | hBH0 | 369.69 | 52.49 |
| hBH1 | 439.91 | 69.63 | |
| hBH2 | 457.15 | 81.10 | |
| hBH3 | 480.39 | 97.48 |
| Fabric | Filler Weight Percentage | Hardness | Filler Weight Percentage | Hardness |
|---|---|---|---|---|
| Kevlar | hBK0 | 159 | GK0 | 159 |
| hBK1 | 177 | GK1 | 174 | |
| hBK2 | 187 | GK2 | 220 | |
| hBK3 | 200 | GK3 | 186 | |
| Hybrid | hBH0 | 172 | GH0 | 172 |
| hBH1 | 176 | GH1 | 191 | |
| hBH2 | 183 | GH2 | 193 | |
| hBH3 | 192 | GH3 | 170 |
| Fabric | Filler Weight Percentage | Impact Strength (J/M) | Filler Weight Percentage | Impact Strength (J/M) |
|---|---|---|---|---|
| Kevlar | GK0 | 370 | hBK0 | 370 |
| GK1 | 520 | hBK1 | 467 | |
| GK2 | 800 | hBK2 | 598 | |
| GK3 | 630 | hBK3 | 765 | |
| Hybrid | GH0 | 345 | hBH0 | 345 |
| GH1 | 480 | hBH1 | 434 | |
| GH2 | 650 | hBH2 | 567 | |
| GH3 | 578 | hBH3 | 716 |
| Fabric | Filler Weight Percentage | Temperature (°C) | Filler Weight Percentage | Temperature (°C) |
|---|---|---|---|---|
| Kevlar | GK0 | 80.84 | hBK0 | 80.64 |
| GK1 | 84.2 | hBK1 | 85.36 | |
| GK2 | 91.03 | hBK2 | 87.47 | |
| GK3 | 85.73 | hBK3 | 89.4 | |
| Hybrid | GH0 | 87.11 | hBH0 | 87.11 |
| GH1 | 93.71 | hBH1 | 89.36 | |
| GH2 | 97.65 | hBH2 | 91.24 | |
| GH3 | 95.38 | hBH3 | 92.57 |
Publisher’s Note: MDPI stays neutral with regard to jurisdictional claims in published maps and institutional affiliations. |
© 2022 by the authors. Licensee MDPI, Basel, Switzerland. This article is an open access article distributed under the terms and conditions of the Creative Commons Attribution (CC BY) license (https://creativecommons.org/licenses/by/4.0/).
Share and Cite
Madarvoni, S.; Sreekanth, R.P.S. Mechanical Characterization of Graphene—Hexagonal Boron Nitride-Based Kevlar–Carbon Hybrid Fabric Nanocomposites. Polymers 2022, 14, 2559. https://doi.org/10.3390/polym14132559
Madarvoni S, Sreekanth RPS. Mechanical Characterization of Graphene—Hexagonal Boron Nitride-Based Kevlar–Carbon Hybrid Fabric Nanocomposites. Polymers. 2022; 14(13):2559. https://doi.org/10.3390/polym14132559
Chicago/Turabian StyleMadarvoni, Srivatsava, and Rama P. S. Sreekanth. 2022. "Mechanical Characterization of Graphene—Hexagonal Boron Nitride-Based Kevlar–Carbon Hybrid Fabric Nanocomposites" Polymers 14, no. 13: 2559. https://doi.org/10.3390/polym14132559
APA StyleMadarvoni, S., & Sreekanth, R. P. S. (2022). Mechanical Characterization of Graphene—Hexagonal Boron Nitride-Based Kevlar–Carbon Hybrid Fabric Nanocomposites. Polymers, 14(13), 2559. https://doi.org/10.3390/polym14132559

