Influence of Carbon Micro- and Nano-Fillers on the Viscoelastic Properties of Polyethylene Terephthalate
Abstract
1. Introduction
2. Experimental
2.1. Materials
2.2. Preparation of Composite Samples
2.3. Characterization of Composites
3. Results and Discussions
3.1. Morphological Characterization of PET and Composites
3.2. Dynamic Mechanical Thermal Analysis (DMTA) Behaviour of the Unfilled PET Matrix
3.3. DMTA Behaviour of PET/Graphite Microcomposites
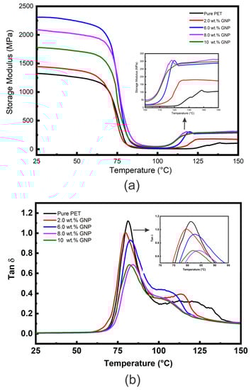
3.4. DMTA of PET/GNP Nanocomposites
3.5. DMTA of PET/MWCNT Nanocomposites
4. Conclusions
Supplementary Materials
Author Contributions
Funding
Institutional Review Board Statement
Informed Consent Statement
Data Availability Statement
Acknowledgments
Conflicts of Interest
References
- Sun, X.; Sun, H.; Li, H.; Peng, H. Developing Polymer Composite Materials: Carbon Nanotubes or Graphene? Adv. Mater. 2013, 25, 5153–5176. [Google Scholar] [CrossRef] [PubMed]
- Wu, C.L.; Zhang, M.Q.; Rong, M.Z.; Friedrich, K. Tensile performance improvement of low nanoparticles filled-polypropylene composites. Compos. Sci. Technol. 2002, 62, 1327–1340. [Google Scholar] [CrossRef]
- Magaraphan, R.; Lilayuthalert, W.; Sirivat, A.; Schwank, J.W. Preparation, structure, properties and thermal behavior of rigid-rod polyimide/montmorillonite nanocomposites. Compos. Sci. Technol. 2001, 61, 1253–1264. [Google Scholar] [CrossRef]
- Pang, H.; Xu, L.; Yan, D.-X.; Li, Z.-M. Conductive polymer composites with segregated structures. Prog. Polym. Sci. 2014, 39, 1908–1933. [Google Scholar] [CrossRef]
- Sengupta, R.; Bhattacharya, M.; Bandyopadhyay, S.; Bhowmick, A.K. A review on the mechanical and electrical properties of graphite and modified graphite reinforced polymer composites. Prog. Polym. Sci. 2011, 36, 638–670. [Google Scholar] [CrossRef]
- Iijima, S. Helical microtubules of graphitic carbon. Nature 1991, 354, 56–58. [Google Scholar] [CrossRef]
- Harris, P.J. Carbon Nanotube Science: Synthesis, Properties and Applications; Cambridge University Press: Cambridge, UK, 2009. [Google Scholar]
- Ma, P.C.; Siddiqui, N.A.; Marom, G.; Kim, J.-K. Dispersion and functionalization of carbon nanotubes for polymer-based nanocomposites: A review. Compos. Part A Appl. Sci. Manuf. 2010, 41, 1345–1367. [Google Scholar] [CrossRef]
- Lin, T.; Bajpai, V.; Ji, T.; Dai, L. Chemistry of Carbon Nanotubes. Aust. J. Chem. 2003, 56, 635–651. [Google Scholar] [CrossRef]
- Bose, S.; Khare, R.A.; Moldenaers, P. Assessing the strengths and weaknesses of various types of pre-treatments of carbon nanotubes on the properties of polymer/carbon nanotubes composites: A critical review. Polymer 2010, 51, 975–993. [Google Scholar] [CrossRef]
- Sahoo, N.G.; Rana, S.; Cho, J.W.; Li, L.; Chan, S.H. Polymer nanocomposites based on functionalized carbon nanotubes. Prog. Polym. Sci. 2010, 35, 837–867. [Google Scholar] [CrossRef]
- Wakabayashi, K.; Brunner, P.J.; Masuda, J.I.; Hewlett, S.A.; Torkelson, J.M. Polypropylene-graphite nanocomposites made by solid-state shear pulverization: Effects of significantly exfoliated, unmodified graphite content on physical, mechanical and electrical properties. Polymer 2010, 51, 5525–5531. [Google Scholar] [CrossRef]
- Shiju, J.; Al-Sagheer, F.; Ahmad, Z. Thermal mechanical properties of graphene nano-composites with Kevlar-Nomex copolymer: A comparison of the physical and chemical interactions. Polymers 2020, 12, 2740. [Google Scholar] [CrossRef] [PubMed]
- Al-Saleh, M.A.; Yussuf, A.A.; Al-Enezi, S.; Kazemi, R.; Wahit, M.U.; Al-Shammari, T.; Al-Banna, A. Polypropylene/graphene nanocomposites: Effects of GNP loading and compatibilizers on the mechanical and thermal properties. Materials 2019, 12, 3924. [Google Scholar] [CrossRef] [PubMed]
- Emblem, A.; Emblem, H. Packaging Technology: Fundamentals, Materials and Processes; Elsevier: Amsterdam, The Netherlands, 2012. [Google Scholar]
- Jabarin, S. Poly(ethylene terephthalate): Chemistry and preparation. In Polymeric Materials Encyclopedia; Salamone, J., Ed.; CRC Press: Boca Raton, FL, USA, 1996; pp. 6079–6085. [Google Scholar]
- Misri, Z.; Ibrahim, M.H.W.; Awal, A.S.M.; Shahidan, S.; Khalid, F.S.; Arshad, M.F.; Jaya, R.P. Dynamic mechanical analysis of waste polyethylene terephthalate bottle. Int. J. Integr. Eng. 2018, 10, 125–129. [Google Scholar] [CrossRef]
- Gupta, S.; Dixit, M.; Sharma, K.; Saxena, N.S. Mechanical study of metallized polyethylene terephthalate (PET) films. Surf. Coat. Technol. 2009, 204, 661–666. [Google Scholar] [CrossRef]
- Xing, L.; Wang, Y.; Wang, S.; Zhang, Y.; Mao, S.; Wang, G.; Tang, J. Effects of modified graphene oxide on thermal and crystallization properties of PET. Polymers 2018, 10, 613. [Google Scholar] [CrossRef]
- Samsaray, T.; Potiyaraj, P. Preparation and Properties of Graphene/Poly (Ethylene Terephthalate) Composite Fibers. In Solid State Phenomena; Trans Tech Publications Ltd.: Zurich, Switzerland, 2020; Volume 304, pp. 9–14. [Google Scholar]
- Bitenieks, J.; Merijs Meri, R.; Zicans, J.; Buks, K. Dynamic Mechanical, Dielectrical, and Rheological Analysis of Polyethylene Terephthalate/Carbon Nanotube Nanocomposites Prepared by Melt Processing. Int. J. Polym. Sci. 2020, 2020, 5715463. [Google Scholar] [CrossRef]
- Aoyama, S.; Ismail, I.; Park, Y.T.; Macosko, C.W.; Ougizawa, T. Higher-order structure in amorphous poly (ethylene terephthalate)/graphene nanocomposites and its correlation with bulk mechanical properties. ACS Omega 2019, 4, 1228–1237. [Google Scholar] [CrossRef]
- Aoyama, S.; Ismail, I.; Park, Y.T.; Macosko, C.W.; Ougizawa, T. PET/Graphene Compatibilization for Different Aspect Ratio Graphenes via Trimellitic Anhydride Functionalization. ACS Omega 2020, 5, 3228–3239. [Google Scholar] [CrossRef]
- Alshammari, B.A.; Al-Mubaddel, F.S.; Karim, M.R.; Hossain, M.; Al-Mutairi, A.S.; Wilkinson, A.N. Addition of graphite filler to enhance electrical, morphological, thermal, and mechanical properties in poly(ethylene terephthalate): Experimental characterization and material modeling. Polymers 2019, 11, 1411. [Google Scholar] [CrossRef]
- Alshammari, B.A.; Wilkinson, A.N.; Almutairi, G. Electrical, Thermal, and Morphological Properties of Poly(ethylene terephthalate)-Graphite Nanoplatelets Nanocomposites. Int. J. Polym. Sci. 2017, 2017, 6758127. [Google Scholar] [CrossRef]
- Alshammari, B.A.; Wilkinson, A. Impact of carbon nanotubes addition on electrical, thermal, morphological, and tensile properties of poly(ethylene terephthalate). Appl. Petrochem. Res. 2016, 6, 257–267. [Google Scholar] [CrossRef][Green Version]
- Bandla, S.; Hanan, J.C. Microstructure and elastic tensile behavior of polyethylene terephthalate-exfoliated graphene nanocomposites. J. Mater. Sci. 2012, 47, 876–882. [Google Scholar] [CrossRef]
- Li, M.; Jeong, G.Y. Poly(ethylene terephthalate)/exfoliated graphite nanocomposites with improved thermal stability, mechanical and electrical properties. Compos. Part A Appl. Sci. Manuf. 2011, 42, 560–566. [Google Scholar] [CrossRef]
- Zhang, M.; Li, D.; Wu, D.F.; Yan, C.H.; Lu, P.; Qiu, G.M. Poly(ethylene terephthalate)/expanded graphite conductive composites: Structure, properties, and transport behavior. J. Appl. Polym. Sci. 2008, 108, 1482–1489. [Google Scholar] [CrossRef]
- Anoop, A.; Agarwal, K.U.; Joseph, R. Carbon nanotubes induced crystallization of poly(ethylene terephthalate). Polymer 2006, 47, 3976–3980. [Google Scholar] [CrossRef]
- Sewda, K.; Maiti, S.N. Dynamic mechanical properties of high density polyethylene and teak wood flour composites. Polym. Bull. 2013, 70, 2657–2674. [Google Scholar] [CrossRef]
- Treviso, A.; Van Genechten, B.; Mundo, D.; Tournour, M. Damping in composite materials: Properties and models. Compos. Part B Eng. 2015, 78, 144–152. [Google Scholar] [CrossRef]
- Gaska, K.; Manika, G.C.; Gkourmpis, T.; Tranchida, D.; Gitsas, A.; Kádár, R. Mechanical behavior of melt-mixed 3D hierarchical graphene/polypropylene nanocomposites. Polymers 2020, 12, 1309. [Google Scholar] [CrossRef]
- Ayalasomayajula, S.K. Examining the mechanical properties of annealed and not annealed multilayer film (Polyethylene/polyethylene terephthalate/polyethylene) by dynamic mechanical analysis (DMA). Int. J. Mech. Eng. Technol. 2015, 6, 32–38. [Google Scholar]
- Ahmad, M.A.A.; Majid, M.A.; Ridzuan, M.J.M.; Mazlee, M.N.; Gibson, A.G. Dynamic mechanical analysis and effects of moisture on mechanical properties of interwoven hemp/polyethylene terephthalate (PET) hybrid composites. Constr. Build. Mater. 2018, 179, 265–276. [Google Scholar] [CrossRef]
- Sughanthy, S.A.P.; Ansari, M.N.M.; Atiqah, A. Dynamic mechanical analysis of polyethylene terephthalate/hydroxyapatite biocomposites for tissue engineering applications. J. Mater. Res. Technol. 2020, 9, 2350–2356. [Google Scholar] [CrossRef]
- Calcagno, C.I.W.; Mariani, C.M.; Teixeira, S.R.; Mauler, R.S. The role of the MMT on the morphology and mechanical properties of the PP/PET blends. Compos. Sci. Technol. 2008, 68, 2193–2200. [Google Scholar] [CrossRef]
- Nadiv, R.; Shachar, G.; Peretz-Damari, S.; Varenik, M.; Levy, I.; Buzaglo, M.; Regev, O. Performance of nano-carbon loaded polymer composites: Dimensionality matters. Carbon 2018, 126, 410–418. [Google Scholar] [CrossRef]
- Navarro-Pardo, F.; Martínez-Hernández, A.L.; Castaño, V.M.; Rivera-Armenta, J.L.; Medellín-Rodríguez, F.J.; Martínez-Barrera, G.; Velasco-Santos, C. Influence of 1D and 2D carbon fillers and their functionalisation on crystallisation and thermomechanical properties of injection moulded nylon 6, 6 nanocomposites. J. Nanomater. 2014, 2014, 14. [Google Scholar] [CrossRef]
- Dubrovsky, V.V.; Shapovalov, V.A.; Aderikha, V.N.; Pesetskii, S.S. Effect of hybrid filling with short glass fibers and expanded graphite on structure, rheological and mechanical properties of poly (ethylene terephthalate). Mater. Today Commun. 2018, 17, 15–23. [Google Scholar] [CrossRef]
- Akinci, A. Mechanical and structural properties of polypropylene composites filled with graphite flakes. Arch. Mater. Sci. Eng. 2009, 35, 91–94. [Google Scholar]
- Karevan, M.; Kalaitzidou, K. Formation of a complex constrained region at the graphite nanoplatelets-polyamide 12 interface. Polymer 2013, 54, 3691–3698. [Google Scholar] [CrossRef]
- Amr, T.; Issam, A.; Al-Amer, M.; Al-Harthi, S.; Girei, A.; Sougrat, R.; Atieh, M.A. Effect of acid treated carbon nanotubes on mechanical, rheological and thermal properties of polystyrene nanocomposites. Composites Part B Eng. 2011, 42, 1554–1561. [Google Scholar] [CrossRef]
- Verdejo, R.; Lamoriniere, S.; Cottam, B.; Bismarck, A.; Shaffer, M. Removal of oxidation debris from multi-walled carbon nanotubes. Chem. Commun. 2007, 513–515. [Google Scholar] [CrossRef]
- Zhang, J.; Zou, H.; Qing, Q.; Yang, Y.; Li, Q.; Liu, Y.; Guo, X.; Du, Z. Effect of chemical oxidation on the structure of single-walled carbon nanotubes. J. Phys. Chem. B 2003, 107, 3712–3718. [Google Scholar] [CrossRef]
- Yesil, S.; Bayram, G. Effect of carbon nanotube purification on the electrical and mechanical properties of poly(ethylene terephthalate) composites with carbon nanotubes in low concentration. J. Appl. Polym. Sci. 2011, 119, 3360–3371. [Google Scholar] [CrossRef]
- Shieh, Y.T.; Lin, Y.S.; Twu, Y.K.; Tsai, H.B.; Lin, R.H. Effect of crystallinity on enthalpy recovery peaks and cold crystallization peaks in PET via TMDSC and DMA studies. J. Appl. Polym. Sci. 2010, 116, 1334–1341. [Google Scholar] [CrossRef]
- Parvinzadeh, M.; Moradian, S. Effect of nanoclay type on dyeability of polyethylene terephthalate/clay nanocomposites. J. Appl. Polym. Sci. 2012, 125, 4109–4120. [Google Scholar] [CrossRef]
- Ramanathan, T.; Stankovich, S.; Dikin, D.A.; Liu, H.; Shen, H.; Nguyen, S.T.; Brinson, L.C. Graphitic nanofillers in PMMA nanocomposites—An investigation of particle size and dispersion and their influence on nanocomposite properties. J. Polym. Sci. Part B Polym. Phys. 2007, 45, 2097–2112. [Google Scholar] [CrossRef]
- He, F.; Fan, J.; Lau, S. Thermal, mechanical, and dielectric properties of graphite reinforced poly(vinylidene fluoride) composites. Polym. Test. 2008, 27, 964–970. [Google Scholar] [CrossRef]
- Yasmin, A.; Daniel, I.M. Mechanical and thermal properties of graphite platelet/epoxy composites. Polymer 2004, 45, 8211–8219. [Google Scholar] [CrossRef]
- Zheng, W.; Lu, X.; Wong, S.C. Electrical and mechanical properties of expanded graphite-reinforced high-density polyethylene. J. Appl. Polym. Sci. 2004, 91, 2781–2788. [Google Scholar] [CrossRef]
- Zheng, W.; Wong, S.C. Electrical conductivity and dielectric properties of PMMA/expanded graphite composites. Compos. Sci. Technol. 2003, 63, 225–235. [Google Scholar] [CrossRef]
- Landel, R.F.; Nielsen, L.E. Mechanical Properties of Polymers and Composites; CRC Press: Boca Raton, FL, USA, 1993. [Google Scholar]
- Gupta, A.; Choudhary, V. Thermal and mechanical properties of poly(trimethyelene terephthalate)/acid-treated multiwalled carbon nanotube composites. J. Mater. Sci. 2013, 48, 7063–7070. [Google Scholar] [CrossRef]
- Wilkinson, A.; Man, N.Z.; Stanford, J.L.; Matikainen, P.; Clemens, M.L.; Lees, G.C.; Liauw, C.M. Structure and dynamic mechanical properties of melt intercalated polyamide 6—Montmorillonite nanocomposites. Macromol. Mater. Eng. 2006, 291, 917–928. [Google Scholar] [CrossRef]
- Li, M.; Jeong, Y.G. Preparation and Characterization of High-Performance Poly(trimethylene terephthalate) Nanocomposites Reinforced with Exfoliated Graphite. Macromol. Mater. Eng. 2011, 296, 159–167. [Google Scholar] [CrossRef]
- Li, M.; Jeong, Y.G. Influences of exfoliated graphite on structures, thermal stability, mechanical modulus, and electrical resistivity of poly(butylene terephthalate). J. Appl. Polym. Sci. 2012, 125, E532–E540. [Google Scholar] [CrossRef]
- Li, B.; Zhong, W.-H. Review on polymer/graphite nanoplatelet nanocomposites. J. Mater. Sci. 2011, 46, 5595–5614. [Google Scholar] [CrossRef]
- Amoroso, L.; Heeley, E.L.; Ramadas, S.N.; McNally, T. Crystallisation behaviour of composites of HDPE and MWCNTs: The effect of nanotube dispersion, orientation and polymer deformation. Polymer 2020, 201, 122587. [Google Scholar] [CrossRef]
- Logakis, E.; Pollatos, E.; Pandis, C.; Peoglos, V.; Zuburtikudis, I.; Delides, C.; Vatalis, A.; Gjoka, M.; Syskakis, R.; Viras, K. Structure-property relationships in isotactic polypropylene/multi-walled carbon nanotubes nanocomposites. Compos. Sci. Technol. 2010, 70, 328–335. [Google Scholar] [CrossRef]
- Manchado, M.; Valentini, L.; Biagiotti, J.; Kenny, J.M. Thermal and mechanical properties of single-walled carbon nanotubes-polypropylene composites prepared by melt processing. Carbon 2005, 43, 1499–1505. [Google Scholar] [CrossRef]
- Spitalsky, Z.; Tasis, D.; Papagelis, K.; Galiotis, C. Carbon nanotube-polymer composites: Chemistry, processing, mechanical and electrical properties. Prog. Polym. Sci. 2010, 35, 357–401. [Google Scholar] [CrossRef]
- Atlukhanova, L.B.; Kozlov, G.V.; Dolbin, I.V. The correlation between the nanofiller structure and the properties of polymer nanocomposites: Fractal model. Inorg. Mater. Appl. Res. 2020, 11, 188–191. [Google Scholar] [CrossRef]
- Yanovsky, Y.G.; Kozlov, G.V.; Karnet, Y.N. Fractal description of significant nano-effects in polymer composites with nanosized fillers. Aggregation, phase interaction, and reinforcement. Phys. Mesomech. 2013, 16, 9–22. [Google Scholar] [CrossRef]
- Santoro, G.; Gómez, M.A.; Marco, C.; Ellis, G. A Solvent Free Dispersion Method for the Preparation of PET/MWCNT Composites. Macromol. Mater. Eng. 2010, 295, 652–659. [Google Scholar] [CrossRef]






| Graphite (wt. %) | E′ at 25 °C (MPa) | E′ at 100 °C (MPa) | Tg (°C) | tanδ at Tg |
|---|---|---|---|---|
| 0 | 1330 ± 92 | 10.0 ± 2.5 | 80.5 ± 1.3 | 1.15 ± 0.1 |
| 2 | 1417 ± 130 | 10.0 ± 4.0 | 80.9 ± 0.3 | 1.08 ± 0.1 |
| 5 | 1536 ± 177 | 13.0 ± 6.0 | 80.8 ± 0.6 | 1.00 ± 0.1 |
| 10 | 1893 ± 119 | 11.0 ± 3.0 | 82.4 ± 1.2 | 1.02 ± 0.2 |
| 15 | 1928 ± 142 | 13.5 ± 0.8 | 82.7 ± 1.5 | 0.88 ± 0.1 |
| GNP (wt. %) | E′ at 25 °C (MPa) | E′ at 100 °C (MPa) | Tg (°C) | tanδ at Tg |
|---|---|---|---|---|
| 0 | 1330 ± 92 | 10. 0 ± 2.5 | 80.5 ± 1.3 | 1.15 ± 0.10 |
| 2 | 1447 ± 88 | 22.9 ± 2.2 | 80.0 ± 0.9 | 1.02 ± 0.30 |
| 6 | 2308 ± 62 | 44.6 ± 5.2 | 82.7 ± 0.5 | 0.93 ± 0.02 |
| 8 | 2095 ± 84 | 129.4 ± 14 | 83.5 ± 0.7 | 0.69 ± 0.04 |
| 10 | 1782 ± 33 | 120.0 ± 44 | 82.1 ± 0.9 | 0.69 ± 0.10 |
| MWCNT (wt. %) | E′ at 25 °C (MPa) | E′ at 100 °C (MPa) | Tg (°C) | tanδ at Tg |
|---|---|---|---|---|
| 0 | 1330 ± 92 | 10.0 ± 2.5 | 80.5 ± 1.3 | 1.15 ± 0.1 |
| 0.1 | 1668 ± 111 | 20.0 ± 1.4 | 82.0 ± 2.0 | 0.98 ± 0.2 |
| 0.2 | 1396 ± 108 | 8.0 ± 1.7 | 83.0 ± 2.0 | 1.16 ± 0.1 |
| 1 | 1627 ± 123 | 46.0 ± 1.3 | 81.0 ± 1.0 | 0.55 ± 0.02 |
| 2 | 1550 ± 167 | 169 ± 43 | 84.4 ± 0.6 | 0.30 ± 0.02 |
Publisher’s Note: MDPI stays neutral with regard to jurisdictional claims in published maps and institutional affiliations. |
© 2022 by the authors. Licensee MDPI, Basel, Switzerland. This article is an open access article distributed under the terms and conditions of the Creative Commons Attribution (CC BY) license (https://creativecommons.org/licenses/by/4.0/).
Share and Cite
Alshammari, B.A.; Wilkinson, A.N.; AlOtaibi, B.M.; Alotibi, M.F. Influence of Carbon Micro- and Nano-Fillers on the Viscoelastic Properties of Polyethylene Terephthalate. Polymers 2022, 14, 2440. https://doi.org/10.3390/polym14122440
Alshammari BA, Wilkinson AN, AlOtaibi BM, Alotibi MF. Influence of Carbon Micro- and Nano-Fillers on the Viscoelastic Properties of Polyethylene Terephthalate. Polymers. 2022; 14(12):2440. https://doi.org/10.3390/polym14122440
Chicago/Turabian StyleAlshammari, Basheer A., Arthur N. Wilkinson, Bandar M. AlOtaibi, and Mohammed F. Alotibi. 2022. "Influence of Carbon Micro- and Nano-Fillers on the Viscoelastic Properties of Polyethylene Terephthalate" Polymers 14, no. 12: 2440. https://doi.org/10.3390/polym14122440
APA StyleAlshammari, B. A., Wilkinson, A. N., AlOtaibi, B. M., & Alotibi, M. F. (2022). Influence of Carbon Micro- and Nano-Fillers on the Viscoelastic Properties of Polyethylene Terephthalate. Polymers, 14(12), 2440. https://doi.org/10.3390/polym14122440

