Cross-Linking of Polypropylene with Thiophene and Imidazole
Abstract
:1. Introduction
2. Materials and Methods
2.1. Materials
2.2. Experimental Procedures
2.2.1. Functionalization with Different Aromatic Amines (Thiophene and Imidazole) on PPgMA
2.2.2. Cross-Linking of Functionalized PPgMA with Bismaleimide
2.2.3. Solubility Test of the Cross-Linked Products
2.3. Analytical Equipment
3. Results and Discussion
3.1. Grafting of Thiophene and Imidazole onto Maleated PP
3.2. Cross-Linking of Thiophene and Imidazole Moieties with BM
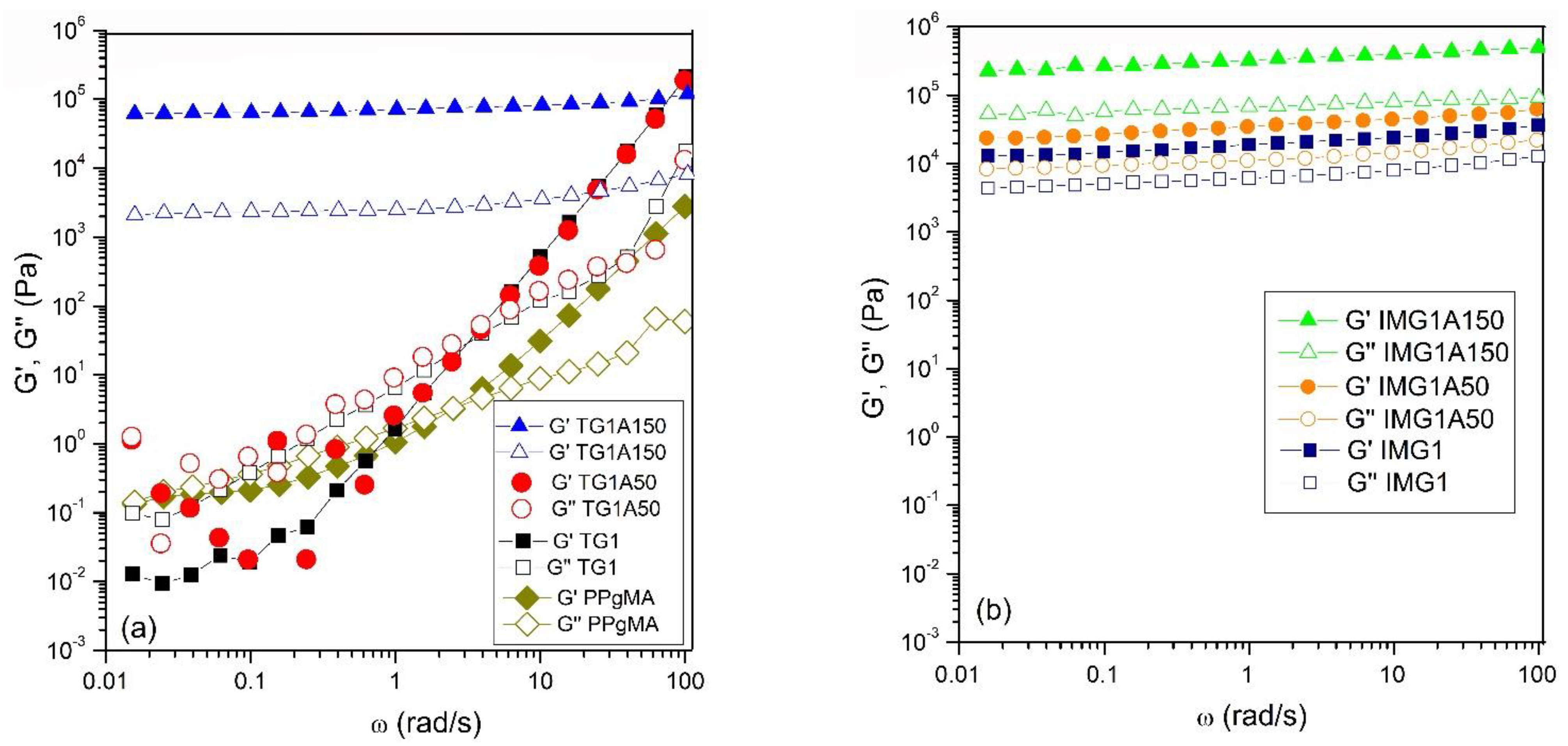
3.3. Rheological Behavior of the Cross-Linked Products
3.4. Thermal Properties of the Cross-Linked Products
3.5. Reversibility of the Cross-Linked Products
4. Conclusions
Supplementary Materials
Author Contributions
Funding
Institutional Review Board Statement
Informed Consent Statement
Data Availability Statement
Acknowledgments
Conflicts of Interest
References
- Yang, M.; Li, J.; Guo, S. A Reactive Extrusion Process with the Aid of Ultrasound for Preparing Crosslinked Polypropylene. Polym. Eng. Sci. 2017, 57, 821–829. [Google Scholar] [CrossRef]
- Yuan, X.; Chung, T.C.M. Cross-linking effect on dielectric properties of polypropylene thin films and applications in electric energy storage. Appl. Phys. Lett. 2011, 98, 062901. [Google Scholar] [CrossRef]
- Sandhu, K.S.; Siroha, A.K.; Punia, S.; Sangwan, L.; Nehra, M.; Purewal, S.S. Effect of degree of cross linking on physicochemical, rheological and morphological properties of Sorghum starch. Carbohydr. Polym. Tech. Appl. 2021, 2, 100073. [Google Scholar] [CrossRef]
- Song, W.; Zhang, Y.; Yu, D.; Tran, C.H.; Wang, M.; Varyambath, A.; Kim, J.; Kim, I. Efficient Synthesis of Folate-Conjugated Hollow Polymeric Capsules for Accurate Drug Delivery to Cancer Cells. Biomacromolecules 2021, 22, 732–742. [Google Scholar] [CrossRef] [PubMed]
- Zhang, Y.; Li, S.; Xu, Y.; Shi, X.; Zhang, M.; Huang, Y.; Liang, Y.; Chen, Y.; Ji, W.; Kim, J.R.; et al. Engineering of hollow polymeric nanosphere-supported imidazolium-based ionic liquids with enhanced antimicrobial activities. Nano Res. 2022. [CrossRef]
- Chapelle, C.; Quienne, B.; Bonneaud, C.; David, G.; Caillol, S. Diels–Alder-Chitosan based dissociative covalent adaptable networks. Carbohydr. Polym. 2021, 253, 117222. [Google Scholar] [CrossRef] [PubMed]
- Huimin, S.; Langui, X. An Introduction of Structure, Synthesis and Safety Concerning Polypropylene Applications. In Polypropylene; Silva, L.P., Barbosa, E.F., Eds.; Nova Science Publishers: New York, NY, USA, 2013; pp. 1–10. [Google Scholar]
- Remerie, K.; Groenewold, J. Morphology formation in polypropylene impact copolymers under static melt conditions: A simulation study. J. Appl. Polym. Sci. 2012, 125, 212–223. [Google Scholar] [CrossRef]
- Niu, W.; Gonsales, S.A.; Kubo, T.; Bentz, K.C.; Pal, D.; Savin, D.A.; Sumerlin, B.S.; Veige, A.S. Polypropylene: Now Available without Chain Ends. Chem 2019, 5, 237–244. [Google Scholar] [CrossRef] [Green Version]
- Spoerk, M.; Holzer, C.; Gonzalez-Gutierrez, J. Material extrusion-based additive manufacturing of polypropylene: A review on how to improve dimensional inaccuracy and warpage. J. Appl. Polym. Sci. 2020, 137, 48545. [Google Scholar] [CrossRef]
- Huang, X.; Zhang, J.; Jiang, P.; Tanaka, T. Material progress toward recyclable insulation of power cables part 2: Polypropylene-based thermoplastic materials. IEEE Electr. Insul. Mag. 2020, 36, 8–18. [Google Scholar] [CrossRef]
- Chaudhary, B.I.; Sengupta, S.S.; Cogen, J.M.; Curio, M. Silane Grafting and Moisture Crosslinking of Polypropylene. Polym. Eng. Sci. 2011, 51, 237–246. [Google Scholar] [CrossRef]
- Wang, Z.; Wu, X.; Gui, Z.; Hu, Y.; Fan, W. Thermal and crystallization behavior of silane-crosslinked polypropylene. Polym. Int. 2005, 54, 442–447. [Google Scholar] [CrossRef]
- Lin, W.; Shao, Z.; Dong, J.; Chung, T.C.M. Cross-Linked Polypropylene Prepared by PP Copolymers Containing Flexible Styrene Groups. Macromolecules 2009, 42, 3750–3754. [Google Scholar] [CrossRef]
- Chodak, I. Properties of Cross-Linked Polyolefin-Based Materials. Prog. Polym. Sci. 1995, 20, 1165–1199. [Google Scholar] [CrossRef]
- Yuan, H.; Shao, Q.; Liang, F.; Shi, H.; Song, W. Mechanism of crosslinking in benzoyl peroxide-initiated functionalization of vinyltriethoxysilane onto polypropylene in the water medium. J. Appl. Polym. Sci. 2020, 137, 49534. [Google Scholar] [CrossRef]
- Polgar, L.M.; van Duin, M.; Broekhuis, A.A.; Picchioni, F. Use of Diels–Alder Chemistry for Thermoreversible Cross-Linking of Rubbers: The Next Step toward Recycling of Rubber Products? Macromolecules 2015, 48, 7096–7105. [Google Scholar] [CrossRef]
- Briou, B.; Améduri, B.; Boutevin, B. Trends in the Diels–Alder reaction in polymer chemistry. Chem. Soc. Rev. 2021, 50, 11055–11097. [Google Scholar] [CrossRef]
- Zhang, Y.; Broekhuis, A.A.; Picchioni, F. Thermally Self-Healing Polymeric Materials: The Next Step to Recycling Thermoset Polymers? Macromolecules 2009, 42, 1906–1912. [Google Scholar] [CrossRef] [Green Version]
- Araya-Hermosilla, R.; Lima, G.M.R.; Raffa, P.; Fortunato, G.; Pucci, A.; Flores, M.E.; Moreno-Villoslada, I.; Broekhuis, A.A.; Picchioni, F. Intrinsic self-healing thermoset through covalent and hydrogen bonding interactions. Eur. Polym. J. 2016, 81, 186–197. [Google Scholar] [CrossRef]
- Orozco, F.; Li, J.; Ezekiel, U.; Niyazov, Z.; Floyd, L.; Lima, G.M.R.; Winkelman, J.G.M.; Moreno-Villoslada, I.; Picchioni, F.; Bose, R.K. Diels–Alder-based thermo-reversibly crosslinked polymers: Interplay of crosslinking density, network mobility, kinetics and stereoisomerism. Eur. Polym. J. 2020, 135, 109882. [Google Scholar] [CrossRef]
- Bose, R.K.; Koetteritzsch, J.; Garcia, S.J.; Hager, M.D.; Schubert, U.S.; van der Zwaag, S. A Rheological and Spectroscopic Study on the Kinetics of Self-Healing in a Single-Component Diels–Alder Copolymer and Its Underlying Chemical Reaction. J. Polym. Sci. Polym. Chem. 2014, 52, 1669–1675. [Google Scholar] [CrossRef]
- Irusta, L.; Jose Fernandez-Berridi, M.; Aizpurua, J. Polyurethanes based on isophorone diisocyanate trimer and polypropylene glycol crosslinked by thermal reversible diels alder reactions. J. Appl. Polym. Sci. 2017, 134, 44543. [Google Scholar] [CrossRef]
- Sun, C.; Jiang, Y.; Zhang, Z.; Zhao, S.; Guo, L. Thermoreversible and Recycling Properties of Ethylene Propylene Diene Rubber Based on Diels–Alder Reaction. Macromol. Res. 2021, 29, 543–550. [Google Scholar] [CrossRef]
- Moazzen, K.; Zohuriaan-Mehr, M.J.; Jahanmardi, R.; Kabiri, K. Toward poly(furfuryl alcohol) applications diversification: Novel self-healing network and toughening epoxy-novolac resin. J. Appl. Polym. Sci. 2018, 135, 45921. [Google Scholar] [CrossRef]
- Magana, S.; Zerroukhi, A.; Jegat, C.; Mignard, N. Thermally reversible crosslinked polyethylene using Diels–Alder reaction in molten state. React. Funct. Polym. 2010, 70, 442–448. [Google Scholar] [CrossRef]
- Muljana, H.; Arends, S.; Remerie, K.; Boven, G.; Picchioni, F.; Bose, R.K. Cross-Linking of Polypropylene via the Diels–Alder Reaction. Polymers 2022, 14, 1176. [Google Scholar] [CrossRef] [PubMed]
- Polgar, L.M.; Picchioni, F.; de Ruiter, W.; van Duin, M. Practical application of thermoreversibly Crosslinked rubber products. In IOP Conference Series: Materials Science and Engineering; IOP Publishing: Bristol, UK, 2017; Volume 223, p. 012004. [Google Scholar] [CrossRef] [Green Version]
- Zhang, Q.; Wang, J.; Yang, S.; Cheng, J.; Ding, G.; Huo, S. Facile construction of one-component intrinsic flame-retardant epoxy resin system with fast curing ability using imidazole-blocked bismaleimide. Compos. B Eng. 2019, 177, 107380. [Google Scholar] [CrossRef]
- Wang, S.; Zhao, Z.; Wang, N.; Zhao, J.; Feng, Y. Structure and mechanism of functional isotactic polypropylene via in situ chlorination graft copolymerization. Polym. Int. 2011, 60, 1068–1077. [Google Scholar] [CrossRef]
- Cao, K.; Shen, Z.; Yao, Z.; Qu, B.; Pang, X.; Lu, Z.; Li, Y.; Chen, Z. New insight into the action of supercritical carbon dioxide for grafting of maleic anhydride onto isotactic polypropylene by reactive extrusion. Chem. Eng. Sci. 2010, 65, 1621–1626. [Google Scholar] [CrossRef]
- Diop, M.F.; Torkelson, J.M. Maleic anhydride functionalization of polypropylene with suppressed molecular weight reduction via solid-state shear pulverization. Polymer 2013, 54, 4143–4154. [Google Scholar] [CrossRef]
- Zhang, M.; Colby, R.H.; Milner, S.T.; Chung, T.C.M.; Huang, T.; de Groot, W. Synthesis and Characterization of Maleic Anhydride Grafted Polypropylene with a Well-Defined Molecular Structure. Macromolecules 2013, 46, 4313–4323. [Google Scholar] [CrossRef]
- Cha, J.; White, J. Maleic anhydride modification of polyolefin in an internal mixer and a twin-screw extruder: Experiment and kinetic model. Polym. Eng. Sci. 2001, 41, 1227–1237. [Google Scholar] [CrossRef]
- Andreassen, E. Infrared and Raman spectroscopy of polypropylene. In Polypropylene: An A-Z Reference; Kocsis, J.K., Ed.; Kluwer Publisher: Dordrecht, The Netherlands, 1999; pp. 320–328. [Google Scholar]
- Sclavons, M.; Franquinet, P.; Carlier, V.; Verfaillie, G.; Fallais, I.; Legras, R.; Laurent, M.; Thyrion, F. Quantification of the maleic anhydride grafted onto polypropylene by chemical and viscosimetric titrations, and FTIR spectroscopy. Polymer 2000, 41, 1989–1999. [Google Scholar] [CrossRef]
- Coates, J. Interpretation of Infrared Spectra, A Practical Approach. In Encyclopedia of Analytical Chemistry; Meyers, R.A., Ed.; John Wiley and Sons: Hoboken, NJ, USA, 2006; pp. 1–23. [Google Scholar]
- Thompson, H.; Temple, R. The Infra-Red Spectra of Furan and Thiophen. Trans. Faraday Soc. 1945, 41, 27–34. [Google Scholar] [CrossRef]
- Liu, R.; Liu, Z. Polythiophene: Synthesis in aqueous medium and controllable morphology. Chin. Sci. Bull. 2009, 54, 2028–2032. [Google Scholar] [CrossRef] [Green Version]
- Wang, N.; Guo, Y.; Wang, L.; Liang, X.; Liu, S.; Jiang, S. Preparation of an aminopropyl imidazole-modified silica gel as a sorbent for solid-phase extraction of carboxylic acid compounds and polycyclic aromatic hydrocarbons. Analyst 2014, 139, 2531–2537. [Google Scholar] [CrossRef]
- Rajkumar, T.; Ranga Rao, G. Synthesis and characterization of hybrid molecular material prepared by ionic liquid and silicotungstic acid. Mater. Chem. Phys. 2008, 112, 853–857. [Google Scholar] [CrossRef]
- Vermeesch, I.; Groeninckx, G. Chemical Modification of Poly(styrene-Co-Maleic Anhydride) with Primary N-Alkylamines by Reactive Extrusion. J. Appl. Polym. Sci. 1994, 53, 1365–1373. [Google Scholar] [CrossRef]
- Hall, H.K., Jr.; Bates, R.B. Correlation of alkylamine nucleophilicities with their basicities. Tetrahedron Lett. 2012, 53, 1830–1832. [Google Scholar] [CrossRef]
- Gaina, C.; Gaina, V. New Functional Maleimides and Citraconimides for Amide, Urea or Parabanic Aromatic Bismaleimides. Des. Monomers Polym. 2008, 11, 319–334. [Google Scholar] [CrossRef]
- Hulubei, C.; Rusu, E. New Functional Poly(Bismaleimide-Ether)S: Synthesis and Characterization. Polym. Plast. Technol. Eng. 2001, 40, 117–131. [Google Scholar] [CrossRef]
- Zeng, X.; Yu, S.; Lai, M.; Sun, R.; Wong, C. Tuning the mechanical properties of glass fiber-reinforced bismaleimide–triazine resin composites by constructing a flexible bridge at the interface. Sci. Technol. Adv. Mater. 2013, 14, 065001. [Google Scholar] [CrossRef] [PubMed]
- Shibata, M.; Teramoto, N.; Akiba, T.; Ogihara, M. High-performance hybrid materials prepared by the thermo-reversible Diels–Alder polymerization of furfuryl ester-terminated butylene succinate oligomers and maleimide compounds. Polym. J. 2011, 43, 455–463. [Google Scholar] [CrossRef]
- Toncelli, C.; De Reus, D.C.; Picchioni, F.; Broekhuis, A.A. Properties of Reversible Diels–Alder Furan/Maleimide Polymer Networks as Function of Crosslink Density. Macromol. Chem. Phys. 2012, 213, 157–165. [Google Scholar] [CrossRef]
- Polesso, B.; Duczinski, R.; Bernard, F.; Ferrari, H.; Luz, M.; Dalla Vecchia, F.; Menezes, S.; Einloft, S. Imidazolium-based Ionic Liquids Impregnated in Silica and Alumina Supports for CO2 Capture. Mater. Res. 2019, 22. [Google Scholar] [CrossRef]
- Moumene, T.; Belarbi, E.H.; Haddad, B.; Villemin, D.; Abbas, O.; Khelifa, B.; Bresson, S. Vibrational spectroscopic study of ionic liquids: Comparison between monocationic and dicationic imidazolium ionic liquids. J. Mol. Struct. 2014, 1065-1066, 86–92. [Google Scholar] [CrossRef]
- Noack, K.; Schulz, P.S.; Paape, N.; Kiefer, J.; Wasserscheid, P.; Leipertz, A. The role of the C2 position in interionic interactions of imidazolium based ionic liquids: A vibrational and NMR spectroscopic study. Phys. Chem. Chem. Phys. 2010, 12, 14153–14161. [Google Scholar] [CrossRef]
- Varganici, C.; Ursache, O.; Gaina, C.; Gaina, V.; Rosu, D.; Simionescu, B.C. Synthesis and Characterization of a New Thermoreversible Polyurethane Network. Ind. Eng. Chem. Res. 2013, 52, 5287–5295. [Google Scholar] [CrossRef]
- Postiglione, G.; Turri, S.; Levi, M. Effect of the plasticizer on the self-healing properties of a polymer coating based on the thermoreversible Diels–Alder reaction. Prog. Org. Coat. 2015, 78, 526–531. [Google Scholar] [CrossRef]
- Zeng, C.; Seino, H.; Ren, J.; Hatanaka, K.; Yoshie, N. Self-healing bio-based furan polymers cross-linked with various bis-maleimides. Polymer 2013, 54, 5351–5357. [Google Scholar] [CrossRef]
- Jursic, B. Suitability of furan, pyrrole and thiophene as dienes for Diels–Alder reactions viewed through their stability and reaction barriers for reactions with acetylene, ethylene and cyclopropene. An AM1 semiempirical and B3LYP hybrid density functional theory study. J. Mol. Struct. Theochem 1998, 454, 105–116. [Google Scholar] [CrossRef]
- Grimmett, M.R. 4.06—Imidazoles and their Benzo Derivatives: (i) Structure. In Comprehensive Heterocyclic Chemistry; Katritzky, A.R., Rees, C.W., Eds.; Pergamon: Oxford, UK, 1984; pp. 345–372. [Google Scholar]
- Joule, J.A.; Mills, K. Heterocyclic Chemistry, 5th ed.; Wiley: Oxford, UK, 2013; p. 719. [Google Scholar]
- Bansal, R.K. Heterocyclic Chemistry, 3rd ed.; New Age International Limited Publishers: New Delhi, India, 2005; p. 496. [Google Scholar]
- Kumamoto, K.; Fukada, I.; Kotsuki, H. Diels-alder reaction of thiophene: Dramatic effects of high-pressure/solvent-free conditions. Angew. Chem. Int. 2004, 43, 2015–2017. [Google Scholar] [CrossRef] [PubMed]
- Huang, J.; He, G.; Liao, X.; Huang, Y.; Yang, Q. The rheological property and foam morphology of linear polypropylene and long chain branching polypropylene. J. Wuhan Univ. Technol.-Mat. Sci. Ed. 2013, 28, 798–803. [Google Scholar] [CrossRef]
- Gandini, A. The furan/maleimide Diels–Alder reaction: A versatile click-unclick tool in macromolecular synthesis. Prog. Polym. Sci. 2013, 38, 1–29. [Google Scholar] [CrossRef]
- Shi, X.; Wang, X.; Fu, C.; Ran, X. Dual-shape memory effect in radiation crosslinked thermoplastic blends: Fabrication, optimization and mechanisms. RSC Adv. 2015, 5, 61601–61611. [Google Scholar] [CrossRef]
- Yao, Z.; Lu, Z.; Zhao, X.; Qu, B.; Shen, Z.; Cao, K. Synthesis and Characterization of High-Density Polypropylene-Grafted Polyethylene via a Macromolecular Reaction and Its Rheological Behavior. J. Appl. Polym. Sci. 2009, 111, 2553–2561. [Google Scholar] [CrossRef]
- Shangguan, Y.; Zhang, C.; Xie, Y.; Chen, R.; Jin, L.; Zheng, Q. Study on degradation and crosslinking of impact polypropylene copolymer by dynamic rheological measurement. Polymer 2010, 51, 500–506. [Google Scholar] [CrossRef]
- Mousavi, S.A.; Dadbin, S.; Frounchi, M.; Venerus, D.C.; Medina, T.G. Comparison of rheological behavior of branched polypropylene prepared by chemical modification and electron beam irradiation under air and N-2. Radiat. Phys. Chem. 2010, 79, 1088–1094. [Google Scholar] [CrossRef]
- Chodak, I.; Janigova, I.; Romanov, A. Cross-Linked Polyethylene Polypropene Blends, 1. Formation of Insoluble Parts, Crystallization and Melting. Macromol. Chem. Phys. 1991, 192, 2791–2799. [Google Scholar] [CrossRef]
- Song, Y.M.; Chen, W.C.; Yu, T.L.; Linliu, K.; Tseng, Y.H. Effect of isocyanates on the crystallinity and thermal stability of polyurethanes. J. Appl. Polym. Sci. 1996, 62, 827–834. [Google Scholar] [CrossRef]














| Reaction Steps | Polymer | Product Code | BM Intake (Mol Equiv) | Reagent Intake (Mol Equiv) | Temperature (°C) | Reaction Time |
|---|---|---|---|---|---|---|
| A. Grafting with: TMA | PPgMA | TG0 | 4 | 160 | 10 min | |
| API | PPgMA | IMG0 | 4 | 160 | 10 min | |
| B. Cross-linking with BM | ||||||
| Prior Annealing | TG0 | TG1 | 0.5 | 50 | 180 min | |
| IMG0 | IMG1 | 0.5 | 50 | 180 min | ||
| After Annealing | TG1 | TG1A50 | 50 | 24 h | ||
| TG1A150 | 150 | 24 h | ||||
| IMG1 | IMG1A50 | 50 | 24 h | |||
| IMG1A150 | 150 | 24 h |
| MA | ||||||||
|---|---|---|---|---|---|---|---|---|
| N% | C% | H% | S% | O% b | % mol | % wt. | % Grafted a | |
| PPgMA | 0 | 81.93 | 13.70 | - | 4.37 | 0.091 | 8.9 | |
| TG0 | 0.38 | 83.92 | 13.88 | 1.14 | 0.685 | 29.8 | ||
| IMG0 | 2.49 | 82.06 | 13.31 | - | 2.15 | 65 | ||
| I1510/1707 | I1186/1707 | |
|---|---|---|
| TG1 | 0.289 | 0 |
| TG1A50 | 0.252 | 0.099 |
| TG1A150 | 0.164 | 0.296 |
| IMG1 | 0.329 | 0.153 |
| IMG1A50 | 0.345 | 0.195 |
| IMG1A150 | 0.233 | 0.293 |
| No | Sample | Melt Volume Rate (cm3/10 min) | |
|---|---|---|---|
| T = 170 °C | T = 230 °C | ||
| 1 | PPgMA | Very high flow | Very high flow |
| 2 | TG1 | Very high flow | Very high flow |
| 3 | TG1A150 | 79 | Very high flow |
| 4 | IMG1 | Very high flow | Very high flow |
| 5 | IMG1A150 | n.m. * | 160 |
| Tm (°C) | Tc (°C) | ΔHm (J/g) | ΔHc (J/g) | |
|---|---|---|---|---|
| PPgMA | 155 | 108 | 63.4 | 71.6 |
| TG1 | 151 | 121 | 76.3 | 77.6 |
| TG1A150 | 149 | 114 | 63.5 | 69.6 |
| IMG1 | 148 | 121 | 50.7 | 60.3 |
| IMG1A150 | 146 | 117 | 29.9 | 44.2 |
Publisher’s Note: MDPI stays neutral with regard to jurisdictional claims in published maps and institutional affiliations. |
© 2022 by the authors. Licensee MDPI, Basel, Switzerland. This article is an open access article distributed under the terms and conditions of the Creative Commons Attribution (CC BY) license (https://creativecommons.org/licenses/by/4.0/).
Share and Cite
Muljana, H.; Remerie, K.; Boven, G.; Picchioni, F.; Bose, R.K. Cross-Linking of Polypropylene with Thiophene and Imidazole. Polymers 2022, 14, 2198. https://doi.org/10.3390/polym14112198
Muljana H, Remerie K, Boven G, Picchioni F, Bose RK. Cross-Linking of Polypropylene with Thiophene and Imidazole. Polymers. 2022; 14(11):2198. https://doi.org/10.3390/polym14112198
Chicago/Turabian StyleMuljana, Henky, Klaas Remerie, Gert Boven, Francesco Picchioni, and Ranjita K. Bose. 2022. "Cross-Linking of Polypropylene with Thiophene and Imidazole" Polymers 14, no. 11: 2198. https://doi.org/10.3390/polym14112198
APA StyleMuljana, H., Remerie, K., Boven, G., Picchioni, F., & Bose, R. K. (2022). Cross-Linking of Polypropylene with Thiophene and Imidazole. Polymers, 14(11), 2198. https://doi.org/10.3390/polym14112198

