Study on the Aging Mechanism and Microstructure Analysis of Rice-Husk-Ash- and Crumb-Rubber-Powder-Modified Asphalt
Abstract
:1. Introduction
2. Materials and Methods
2.1. Materials
2.1.1. Asphalt Binder
2.1.2. Preparation of Rice Husk Ash (R)
2.1.3. Crumb Rubber Powder (P)
2.2. Sample Preparation
2.2.1. Preparation of Modified Asphalt
2.2.2. Preparation of Aged Binder
2.3. Test Methods
2.3.1. Conventional Physical Tests
2.3.2. Storage Stability
2.3.3. Dynamic Shear Rheometer (DSR)
2.3.4. Aging Indices
2.3.5. Fourier-Transform Infrared Spectroscopy (FTIR)
2.3.6. Scanning Electron Microscope (SEM)
3. Results and Discussion
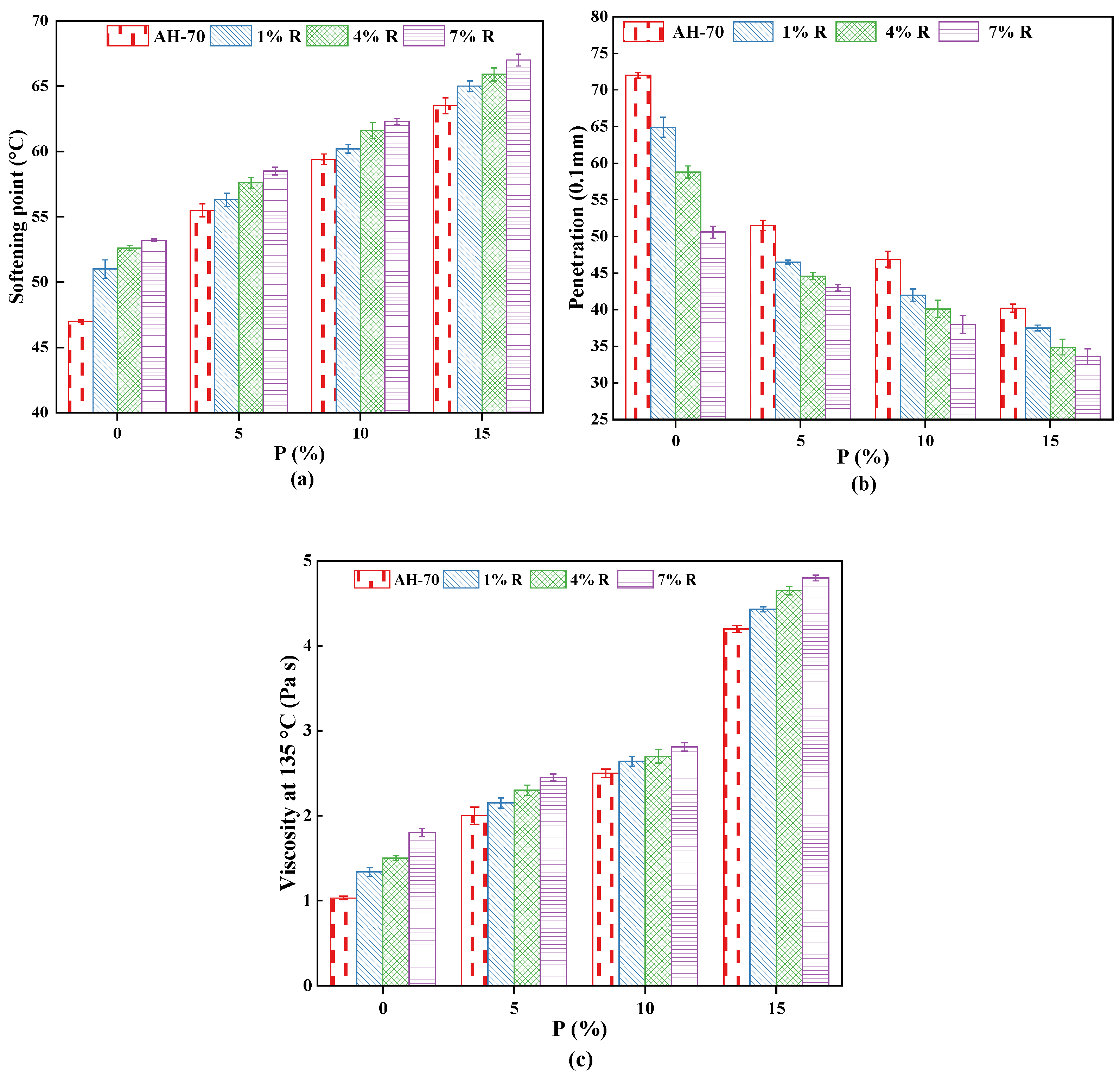
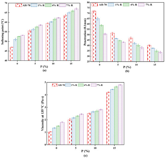
3.1. Physical Properties
3.2. Storage Stability
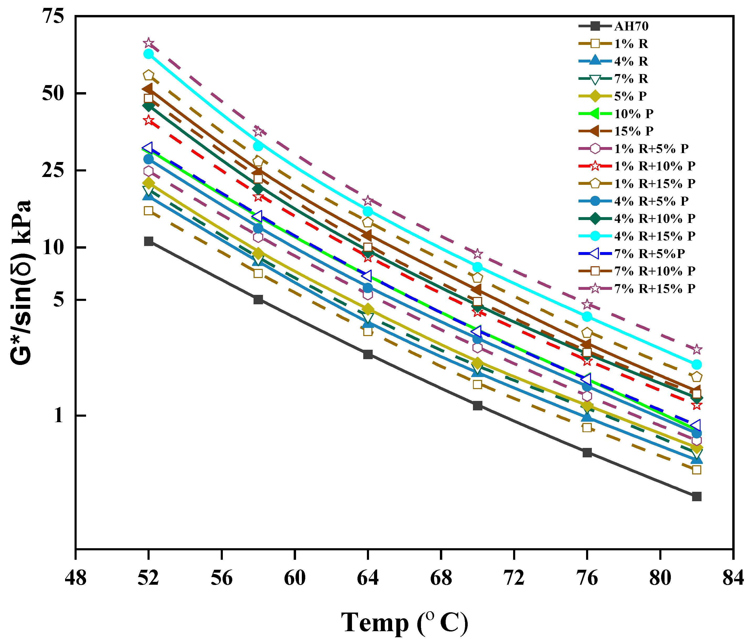
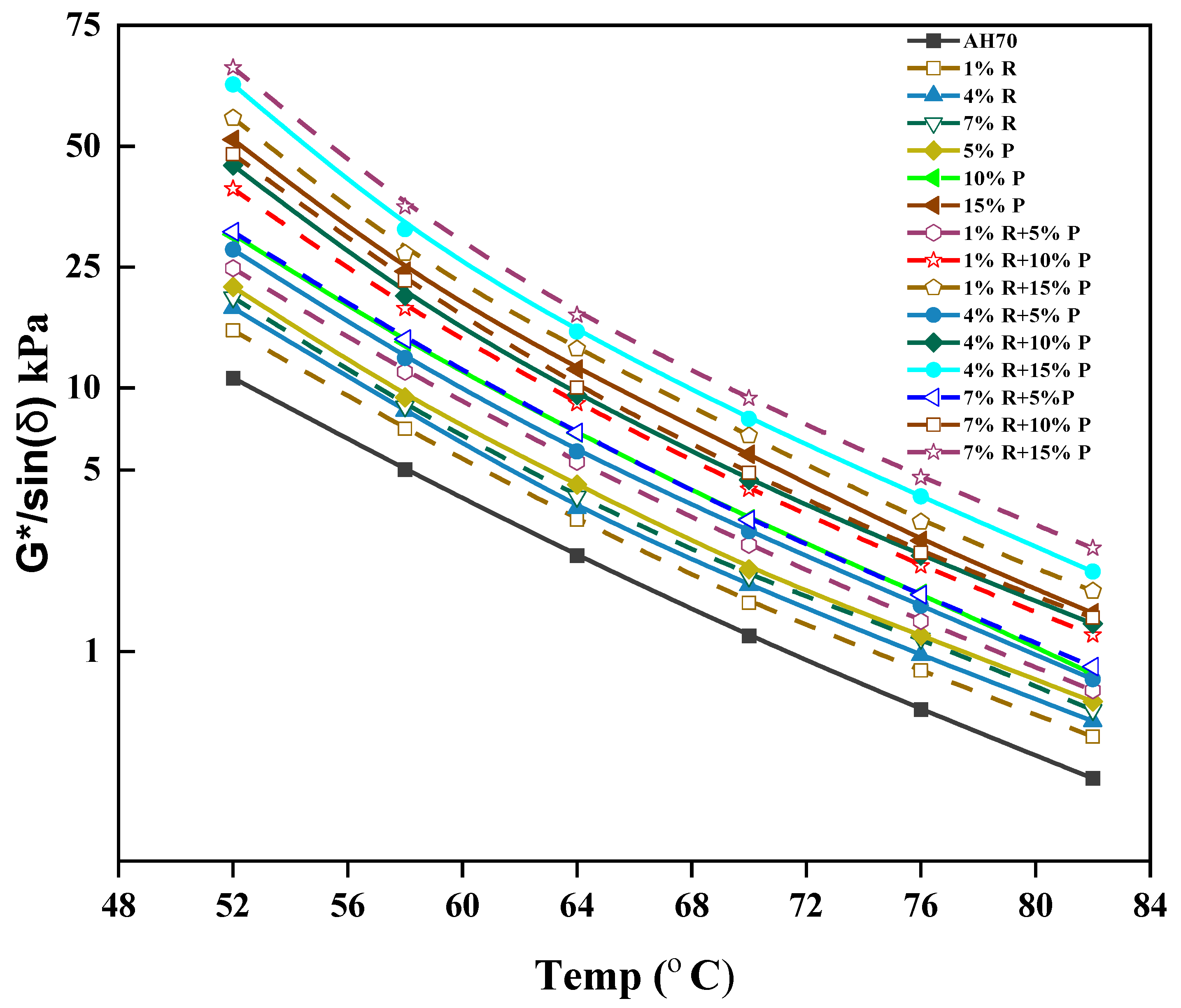
3.3. Rutting Parameter G*/sin (δ)
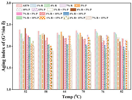
3.4. Aging Indices Evaluation
3.4.1. Short-Term Aging Effect on the Softening Point
3.4.2. Short Term Aging Effect on the Penetration
3.4.3. Short Term Aging Effect on the Viscosity
3.4.4. Short-Term Aging Effect on the Rutting Factor (G*/sinδ)
3.5. Modified Mechanism Based on FTIR Spectroscopy
3.6. Aging Mechanism of R, P, and R/P
3.7. Morphology
4. Conclusions
- Asphalt binder after mixing with R and P revealed an increase in softening point, and viscosity, whereas it showed a decrease in the penetration, indicating the asphalt binders become stiffer and have a good ability to resist permanent deformation.
- The G*/sin (δ) values obtained from DSR measurement were directly proportioned to the modifier concentration. Therefore, resistance to permanent deformation and elastic response of the binder were enhanced by increasing the G*, and reducing the (δ).
- The addition of R/P caused the increase in the (PI), whereas the (SI) and (VI) decreased which suggest the asphalt binders modified with R/P had good performances of aging resistance comparing to the neat asphalt. Furthermore, the decrease in the (AIR) of asphalt binder modified with R/P compared with the neat asphalt suggest that R/P had good influences on the aging resistance of the asphalt binders.
- Based on FTIR spectroscopy test, the obtained results showed that R/P could enhance the aging resistance of asphalt binder. Compared with neat asphalt, modified asphalt binders with different dosages of R/P exhibited better aging resistance. Therefore, the R/P-modified asphalt is suitable for using in pavement construction in terms of preventing the reduction in service life occurred by aging.
- The new hybrid modified asphalt (R/P) with (7% R + 10% P), considered as the optimal choice for excellent overall performance of modified asphalt.
- The apparent morphologies revealed that the R particles have a loose and porous structure, that lead to bring it good adsorption to the asphalt binder, whereas the P particles have a high specific surface and irregular shape. Based on SEM images, a homogeneous mix was formed due to the uniformly dispersed of R, P, and R/P within the asphalt binder.
Author Contributions
Funding
Institutional Review Board Statement
Informed Consent Statement
Data Availability Statement
Acknowledgments
Conflicts of Interest
References
- Abdelmagid, A.A.A.; Feng, C.P. Evaluating the effect of rice-husk ash and crumb-rubber powder on the high-temperature performance of asphalt binder. J. Mater. Civ. Eng. 2019, 31, 04019296. [Google Scholar] [CrossRef]
- Abdelmagid, A.A.A.; Feng, C.P. Laboratory evaluation of the effects of short-term aging on high temperature performance of asphalt binder modified with crumb rubber and rice husk ash. Pet. Sci. Technol. 2019, 37, 1557–1565. [Google Scholar] [CrossRef]
- Cai, J.; Xue, Y.J.; Wan, L.; Wu, S.P.; Jenkins, K. Study on Basic Properties and High-Temperature Performance of Rice-Husk-Ash-Modified-Asphalt. Appl. Mech. Mater. 2013, 333, 1889–1894. [Google Scholar] [CrossRef]
- Xue, Y.; Wu, S.; Cai, J.; Zhou, M.; Zha, J. Effects of two biomass ashes on asphalt binder: Dynamic shear rheological characteristic analysis. Constr. Build. Mater. 2014, 56, 7–15. [Google Scholar] [CrossRef]
- Arabani, M.; Tahami, S.A. Assessment of mechanical properties of rice husk ash modified asphalt mixture. Constr. Build. Mater. 2017, 149, 350–358. [Google Scholar] [CrossRef]
- Lu, Z.; Sha, A.; Wang, W.; Gao, J. Studying the properties of SBS/rice husk ash-modified asphalt binder and mixture. Adv. Mater. Sci. Eng. 2020, 2020, 4545063. [Google Scholar] [CrossRef]
- Ameli, A.; Babagoli, R.; Norouzi, N.; Jalali, F.; Mamaghani, F.P. Laboratory evaluation of the effect of coal waste ash (CWA) and rice husk ash (RHA) on performance of asphalt mastics and Stone matrix asphalt (SMA) mixture. Constr. Build. Mater. 2020, 236, 117557. [Google Scholar] [CrossRef]
- Zanzotto, L.; Kennepohl, G.J. Development of rubber and asphalt binders by depolymerization and devulcanization of scrap tires in asphalt. Transp. Res. Rec. 1996, 1530, 51–58. [Google Scholar] [CrossRef]
- Tayebali, A.A.; Vyas, B.B.; Malpass, G.A. Effect of crumb rubber particle size and concentration on performance grading of rubber modified asphalt binders. ASTM Spec. Tech. Publ. 1997, 1322, 30–47. [Google Scholar]
- Ghaly, A.M. Properties of asphalt rubberized with waste tires crumb. J. Solid Waste Technol. Manag. 1999, 26, 45–50. [Google Scholar]
- Kim, S.; Loh, S.-W.; Zhai, H.; Bahia, H.U. Advanced characterization of crumb rubber-modified asphalts, using protocols developed for complex binders. Transp. Res. Rec. 2001, 1767, 15–24. [Google Scholar] [CrossRef]
- Huang, B.; Mohammad, L.N.; Graves, P.S.; Abadie, C. Louisiana experience with crumb rubber-modified hot-mix asphalt pavement. Transp. Res. Rec. 2002, 1789, 1–13. [Google Scholar] [CrossRef] [Green Version]
- Palit, S.; Reddy, K.S.; Pandey, B. Laboratory evaluation of crumb rubber modified asphalt mixes. J. Mater. Civ. Eng. 2004, 16, 45–53. [Google Scholar] [CrossRef]
- Huang, S.C.; Pauli, A.T. Particle size effect of crumb rubber on rheology and morphology of asphalt binders with long-term aging. Road Mater. Pavement Des. 2008, 9, 73–95. [Google Scholar] [CrossRef]
- Liang, R.Y.; Lee, S. Short-term and long-term aging behavior of rubber modified asphalt paving mixture. Transp. Res. Rec. 1996, 1530, 11–17. [Google Scholar] [CrossRef]
- Kok, B.V.; Yilmaz, M.; Akpolat, M. Effect of CR and FT-paraffin versus SBS modification in terms of conventional and rheological properties. Int. J. Pavement Eng. 2017, 18, 1052–1059. [Google Scholar] [CrossRef]
- Shen, J.; Amirkhanian, S. The influence of crumb rubber modifier (CRM) microstructures on the high temperature properties of CRM binders. Int. J. Pavement Eng. 2005, 6, 265–271. [Google Scholar] [CrossRef]
- Cong, P.; Xun, P.; Xing, M.; Chen, S. Investigation of asphalt binder containing various crumb rubbers and asphalts. Constr. Build. Mater. 2013, 40, 632–641. [Google Scholar] [CrossRef]
- Tarsi, G.; Caputo, P.; Porto, M.; Sangiorgi, C. A study of rubber-REOB extender to produce sustainable modified bitumens. Appl. Sci. 2020, 10, 1204. [Google Scholar] [CrossRef] [Green Version]
- Kukiełka, J.; Bańkowski, W.; Mirski, K. Asphalt-cement concretes with reclaimed asphalt pavement and rubber powder from recycled tire. Materials 2021, 14, 2412. [Google Scholar] [CrossRef]
- Zhang, H.; Zhang, Y.; Chen, J.; Liu, W.; Wang, W. Effect of desulfurization process variables on the properties of crumb rubber modified asphalt. Polymers 2022, 14, 1365. [Google Scholar] [CrossRef] [PubMed]
- Rodríguez-Fernández, I.; Cavalli, M.C.; Poulikakos, L.; Bueno, M. Recyclability of asphalt mixtures with crumb rubber incorporated by dry process: A laboratory investigation. Materials 2020, 13, 2870. [Google Scholar] [CrossRef] [PubMed]
- Xu, G.; Yu, Y.; Yang, J.; Wang, T.; Kong, P.; Chen, X. Rheological and aging properties of composite modified bitumen by styrene-butadiene-styrene and desulfurized crumb rubber. Polymers 2021, 13, 3037. [Google Scholar] [CrossRef] [PubMed]
- Binti Joohari, I.; Giustozzi, F. Hybrid polymerisation: An exploratory study of the chemo-mechanical and rheological properties of hybrid-modified bitumen. Polymers 2020, 12, 945. [Google Scholar] [CrossRef]
- Xie, J.; Yang, Y.; Lv, S.; Zhang, Y.; Zhu, X.; Zheng, C. Investigation on rheological properties and storage stability of modified asphalt based on the grafting activation of crumb rubber. Polymers 2019, 11, 1563. [Google Scholar] [CrossRef] [Green Version]
- Xu, O.; Xiao, F.; Han, S.; Amirkhanian, S.N.; Wang, Z. High temperature rheological properties of crumb rubber modified asphalt binders with various modifiers. Constr. Build. Mater. 2016, 112, 49–58. [Google Scholar] [CrossRef]
- Lushinga, N.; Cao, L.; Dong, Z. Effect of silicone oil on dispersion and low-temperature fracture performance of crumb rubber asphalt. Adv. Mater. Sci. Eng. 2019, 2019, 8602562. [Google Scholar] [CrossRef] [Green Version]
- Chai, C.; Cheng, Y.; Zhang, Y.; Zhu, B.; Liu, H. Mechanical properties of crumb rubber and basalt fiber composite modified porous asphalt concrete with steel slag as aggregate. Polymers 2020, 12, 2552. [Google Scholar] [CrossRef]
- Li, B.; Li, Q.; Zhu, X.; Wei, Y.; Li, Z.; Wei, D. Effect of sodium hypochlorite-activated crumb rubber on rheological properties of rubber-modified asphalt. J. Mater. Civ. Eng. 2020, 32, 04020326. [Google Scholar] [CrossRef]
- Mohammadi, I.; Khabbaz, H.; Vessalas, K. Enhancing mechanical performance of rubberised concrete pavements with sodium hydroxide treatment. Mater. Struct. 2016, 49, 813–827. [Google Scholar] [CrossRef]
- Kataware, A.V.; Singh, D. Dynamic mechanical analysis of crumb rubber modified asphalt binder containing warm mix additives. Int. J. Pavement Eng. 2019, 20, 1044–1054. [Google Scholar] [CrossRef]
- Senise, S.; Carrera, V.; Cuadri, A.A.; Navarro, F.J.; Partal, P. Hybrid rubberised bitumen from reactive and non-reactive ethylene copolymers. Polymers 2019, 11, 1974. [Google Scholar] [CrossRef] [PubMed] [Green Version]
- Yu, J.; Ren, Z.; Gao, Z.; Wu, Q.; Zhu, Z.; Yu, H. Recycled heavy bio oil as performance enhancer for rubberized bituminous binders. Polymers 2019, 11, 800. [Google Scholar] [CrossRef] [PubMed] [Green Version]
- Hofko, B.; Alavi, M.Z.; Grothe, H.; Jones, D.; Harvey, J. Repeatability and sensitivity of FTIR ATR spectral analysis methods for bituminous binders. Mater. Struct. 2017, 50, 187. [Google Scholar] [CrossRef] [Green Version]
- Zhang, H.; Chen, Z.; Xu, G.; Shi, C. Physical, rheological and chemical characterization of aging behaviors of thermochromic asphalt binder. Fuel 2018, 211, 850–858. [Google Scholar] [CrossRef]
- Xu, W.; Lo, T.Y.; Memon, S.A. Microstructure and reactivity of rich husk ash. Constr. Build. Mater. 2012, 29, 541–547. [Google Scholar] [CrossRef]
- Wang, H.; You, Z.; Mills-Beale, J.; Hao, P. Laboratory evaluation on high temperature viscosity and low temperature stiffness of asphalt binder with high percent scrap tire rubber. Constr. Build. Mater. 2012, 26, 583–590. [Google Scholar] [CrossRef]
- Navarro, F.; Partal, P.; Martınez-Boza, F.; Valencia, C.; Gallegos, C. Rheological characteristics of ground tire rubber-modified bitumens. Chem. Eng. J. 2002, 89, 53–61. [Google Scholar] [CrossRef]
- Kumar, A.; Choudhary, R.; Kumar, A. Aging characteristics of asphalt binders modified with waste tire and plastic pyrolytic chars. PLoS ONE 2021, 16, e0256030. [Google Scholar] [CrossRef]
- Ali, A.H.; Mashaan, N.S.; Karim, M.R. Investigations of physical and rheological properties of aged rubberised bitumen. Adv. Mater. Sci. Eng. 2013, 2013, 239036. [Google Scholar] [CrossRef] [Green Version]
- Geng, J.; Meng, H.; Xia, C.; Chen, M.; Lu, T.; Zhou, H. Effect of dry–wet cycle aging on physical properties and chemical composition of SBS-modified asphalt binder. Mater. Struct. 2021, 54, 120. [Google Scholar] [CrossRef]
- Zhang, H.; Zhu, C.; Yu, J.; Tan, B.; Shi, C. Effect of nano-zinc oxide on ultraviolet aging properties of bitumen with 60/80 penetration grade. Mater. Struct. 2015, 48, 3249–3257. [Google Scholar] [CrossRef]
- Feng, Z.G.; Yu, J.Y.; Zhang, H.-L.; Kuang, D.-L.; Xue, L.-H. Effect of ultraviolet aging on rheology, chemistry and morphology of ultraviolet absorber modified bitumen. Mater. Struct. 2013, 46, 1123–1132. [Google Scholar] [CrossRef]
- Peng, C.; Guo, C.; You, Z.; Xu, F.; Ma, W.; You, L.; Li, T.; Zhou, L.; Huang, S.; Ma, H. The effect of waste engine oil and waste polyethylene on UV aging resistance of asphalt. Polymers 2020, 12, 602. [Google Scholar] [CrossRef] [PubMed] [Green Version]
- Crucho, J.; Picado-Santos, L.; Neves, J.; Capitão, S. A review of nanomaterials’ effect on mechanical performance and aging of asphalt mixtures. Appl. Sci. 2019, 9, 3657. [Google Scholar] [CrossRef] [Green Version]
- Maciejewski, K.; Ramiączek, P.; Remisova, E. Effects of Short-Term Ageing Temperature on Conventional and High-Temperature Properties of Paving-Grade Bitumen with Anti-Stripping and WMA Additives. Materials 2021, 14, 6229. [Google Scholar] [CrossRef]
- Ashish, P.K.; Singh, D.; Bohm, S. Investigation on influence of nanoclay addition on rheological performance of asphalt binder. Road Mater. Pavement Des. 2017, 18, 1007–1026. [Google Scholar] [CrossRef]
- Ouyang, C.; Wang, S.; Zhang, Y.; Zhang, Y. Improving the aging resistance of asphalt by addition of Zinc dialkyldithiophosphate. Fuel 2006, 85, 1060–1066. [Google Scholar] [CrossRef]
- Adam, F.; Chua, J.-H. The adsorption of palmytic acid on rice husk ash chemically modified with Al (III) ion using the sol-gel technique. J. Colloid Interface Sci. 2004, 280, 55–61. [Google Scholar] [CrossRef]
- Tsai, M.T. Effects of hydrolysis processing on the character of forsterite gel fibers. Part II: Crystallites and microstructural evolutions. J. Eur. Ceram. Soc. 2002, 22, 1085–1094. [Google Scholar] [CrossRef]
- Liu, H.; Chen, Z.; Wang, W.; Wang, H.; Hao, P. Investigation of the rheological modification mechanism of crumb rubber modified asphalt (CRMA) containing TOR additive. Constr. Build. Mater. 2014, 67, 225–233. [Google Scholar] [CrossRef]
- Zhang, H.; Su, M.; Zhao, S.; Zhang, Y.; Zhang, Z. High and low temperature properties of nano-particles/polymer modified asphalt. Constr. Build. Mater. 2016, 114, 323–332. [Google Scholar] [CrossRef]
- Abdelrahman, M.A.; Carpenter, S.H. Mechanism of interaction of asphalt cement with crumb rubber modifier. Transp. Res. Rec. 1999, 1661, 106–113. [Google Scholar] [CrossRef]
- Zhang, P.; Guo, Q.; Tao, J.; Ma, D.; Wang, Y. Aging mechanism of a diatomite-modified asphalt binder using fourier-transform infrared (FTIR) spectroscopy analysis. Materials 2019, 12, 988. [Google Scholar] [CrossRef] [Green Version]
- Foucaud, Y.; Fabre, C.; Demeusy, B.; Filippova, I.; Filippov, L. Optimisation of fast quantification of fluorine content using handheld laser induced breakdown spectroscopy. Spectrochim. Acta Part B At. Spectrosc. 2019, 158, 105628. [Google Scholar] [CrossRef]
- Camargo, I.G.d.N.; Hofko, B.; Mirwald, J.; Grothe, H. Effect of thermal and oxidative aging on asphalt binders rheology and chemical composition. Materials 2020, 13, 4438. [Google Scholar] [CrossRef]
- Wang, F.; Zhang, L.; Zhang, X.; Li, H.; Wu, S. Aging mechanism and rejuvenating possibility of SBS copolymers in asphalt binders. Polymers 2020, 12, 92. [Google Scholar] [CrossRef] [Green Version]
- Yu, H.; Bai, X.; Qian, G.; Wei, H.; Gong, X.; Jin, J.; Li, Z. Impact of ultraviolet radiation on the aging properties of SBS-modified asphalt binders. Polymers 2019, 11, 1111. [Google Scholar] [CrossRef] [Green Version]
- Wang, S.; Cheng, D.; Xiao, F. Recent developments in the application of chemical approaches to rubberized asphalt. Constr. Build. Mater. 2017, 131, 101–113. [Google Scholar] [CrossRef]
- Yadollahi, G.; Mollahosseini, H.S. Improving the performance of Crumb Rubber bitumen by means of Poly Phosphoric Acid (PPA) and Vestenamer additives. Constr. Build. Mater. 2011, 25, 3108–3116. [Google Scholar] [CrossRef]
- Dong, F.; Yu, X.; Liu, S.; Wei, J. Rheological behaviors and microstructure of SBS/CR composite modified hard asphalt. Constr. Build. Mater. 2016, 115, 285–293. [Google Scholar] [CrossRef]















| Test | Result |
|---|---|
| Flash point (°C) | 326 |
| Softening point (°C) | 47 |
| Ductility (cm) | >150 |
| Penetration depth (0.1 mm) | 72 |
| Viscosity at 135 °C (Pa s) | 1.03 |
| Specific gravity (g/cm3) | 1.04 |
| Physical Properties | Specific Gravity (g/cm2) | 2.34 |
| Silicon dioxide SiO2 (%) | 86.84 | |
| Potassium oxide K2O (%) | 3.76 | |
| Chemical’s constitution | Calcium oxide CaO (%) | 1.60 |
| Aluminum oxide Al2O3 (%) | 0.61 | |
| others (%) | 7.19 |
| Break Strength (MPa) | 13.2 | |
| Physical Properties | Moisture content (%) | 0.61 |
| Density ratio (g cm−3) | 1.13 | |
| Acetone Extract (%) | 2 | |
| Carbon black content mass (%) | 34.1 | |
| Chemical’s constitution | Rubber hydrocarbon content mass (%) | 59.8 |
| Ash content (%) | 4.1 |
| Wave Number (cm−1) | 2924 | 2853 | 1603 | 1376 | |
|---|---|---|---|---|---|
| 1% R | Before aging | 0.447665 | 0.375135 | 0.056410 | 0.145101 |
| After aging | 0.341323 | 0.298921 | 0.040428 | 0.064079 | |
| Difference | 0.106342 | 0.076214 | 0.015982 | 0.081022 | |
| 7% R | Before aging | 0.386602 | 0.239829 | 0.028799 | 0.099733 |
| After aging | 0.327356 | 0.190112 | 0.019795 | 0.054167 | |
| Difference | 0.059246 | 0.049717 | 0.009004 | 0.045566 | |
| 5% P | Before aging | 0.341323 | 0.238921 | 0.027499 | 0.064079 |
| After aging | 0.288448 | 0.189702 | 0.019520 | 0.048269 | |
| Difference | 0.052875 | 0.049219 | 0.007979 | 0.015810 | |
| 10% P | Before aging | 0.313854 | 0.225870 | 0.027180 | 0.057306 |
| After aging | 0.26349 | 0.179880 | 0.019377 | 0.043490 | |
| Difference | 0.050364 | 0.045990 | 0.007803 | 0.013816 | |
| 1% R + 5% P | Before aging | 0.330625 | 0.237292 | 0.027326 | 0.062932 |
| After aging | 0.278998 | 0.188452 | 0.019492 | 0.047371 | |
| Difference | 0.051627 | 0.04884 | 0.007834 | 0.015561 | |
| 7% R + 10% P | Before aging | 0.277088 | 0.161740 | 0.020933 | 0.041933 |
| After aging | 0.228769 | 0.129258 | 0.013900 | 0.039239 | |
| Difference | 0.048319 | 0.032482 | 0.007033 | 0.002694 | |
| Chemical Bonds | |||||
|---|---|---|---|---|---|
| Before Aging | After Aging | Before Aging | After Aging | ||
| neat asphalt | 0.004215 | 0.010285 | 0.007024 | 0.011861 | 0.006070 |
| 1% R | 0.004322 | 0.007272 | 0.009165 | 0.011251 | 0.002950 |
| 7% R | 0.004279 | 0.006887 | 0.009228 | 0.010842 | 0.002608 |
| 5% P | 0.003856 | 0.006011 | 0.009132 | 0.010211 | 0.002155 |
| 10% P | 0.003898 | 0.005031 | 0.008978 | 0.009915 | 0.001133 |
| 1% R + 5% P | 0.003841 | 0.005332 | 0.009047 | 0.009989 | 0.001491 |
| 7% R + 10% P | 0.004028 | 0.004894 | 0.008863 | 0.009066 | 0.000866 |
Publisher’s Note: MDPI stays neutral with regard to jurisdictional claims in published maps and institutional affiliations. |
© 2022 by the authors. Licensee MDPI, Basel, Switzerland. This article is an open access article distributed under the terms and conditions of the Creative Commons Attribution (CC BY) license (https://creativecommons.org/licenses/by/4.0/).
Share and Cite
Li, Y.; Abdelmagid, A.A.A.; Qiu, Y.; Yang, E.; Chen, Y. Study on the Aging Mechanism and Microstructure Analysis of Rice-Husk-Ash- and Crumb-Rubber-Powder-Modified Asphalt. Polymers 2022, 14, 1969. https://doi.org/10.3390/polym14101969
Li Y, Abdelmagid AAA, Qiu Y, Yang E, Chen Y. Study on the Aging Mechanism and Microstructure Analysis of Rice-Husk-Ash- and Crumb-Rubber-Powder-Modified Asphalt. Polymers. 2022; 14(10):1969. https://doi.org/10.3390/polym14101969
Chicago/Turabian StyleLi, Yiming, Alaaeldin A. A. Abdelmagid, Yanjun Qiu, Enhui Yang, and Yanjun Chen. 2022. "Study on the Aging Mechanism and Microstructure Analysis of Rice-Husk-Ash- and Crumb-Rubber-Powder-Modified Asphalt" Polymers 14, no. 10: 1969. https://doi.org/10.3390/polym14101969
APA StyleLi, Y., Abdelmagid, A. A. A., Qiu, Y., Yang, E., & Chen, Y. (2022). Study on the Aging Mechanism and Microstructure Analysis of Rice-Husk-Ash- and Crumb-Rubber-Powder-Modified Asphalt. Polymers, 14(10), 1969. https://doi.org/10.3390/polym14101969

