Thermal Pyrolysis of Polystyrene Aided by a Nitroxide End-Functionality Improved Process and Modeling of the Full Molecular Weight Distribution
Abstract
:1. Introduction
1.1. Background: Pyrolysis Mechanism
1.2. Background: Mathematical Modeling of the Thermal Pyrolysis
2. Materials and Methods
2.1. Materials
2.2. Experimental Methods
2.2.1. Polystyrene Polymerization
2.2.2. Polystyrene Pyrolysis
2.3. Modeling and Simulation Methodology
2.4. Kinetic and Mathematical Model
- (1)
- In scission terms, the probability of scission at a specific position along the chain is assumed to be uniform (equally likely at any position); therefore a factor of the inverse of the number of possible scission points should affect the corresponding term. In our previous modeling, as an approximation, this number was assumed to be n, that is, the number of repeating units in a given length-n polymer chain because this facilitated the math to derive the moment equations, so the factor used was 1/n; however, the scission occurs at a link (bond) between repeating units, and this number is only n − 1, therefore, the correct factor should be 1/(n − 1). The use of the approximated factor 1/n should not introduce a significant error for long chains which is the case at the beginning of the pyrolysis process; nonetheless, as the pyrolysis proceeds and the chains become shorter, the error is magnified and can become quite significant. In the improved model, this error is eliminated by using the correct 1/(n − 1) factor. Although not used in the calculations for the present work, the corrected moment equations were re-derived and they are included in the Appendix.
- (2)
- Another important difference with respect to our previous treatment of these equations is that in the previous work only the moments of the distribution were solved using some approximations to deal with the closure problem of the moments, while in this work the equations are solved for the full distributions without assumptions, therefore providing more accurate results. In this implementation, the moments, where needed, are calculated by direct application of their summation definitions (see Appendix A).
3. Results and Discussion
3.1. Experimental Results: Polymerization Product Analysis
3.2. Experimental Results: Pyrolysis Product Analysis
3.3. Mathematical Modeling Results
3.3.1. Oligomer Modeling Results and Parameter Values Used
3.3.2. Parameter Sensitivity
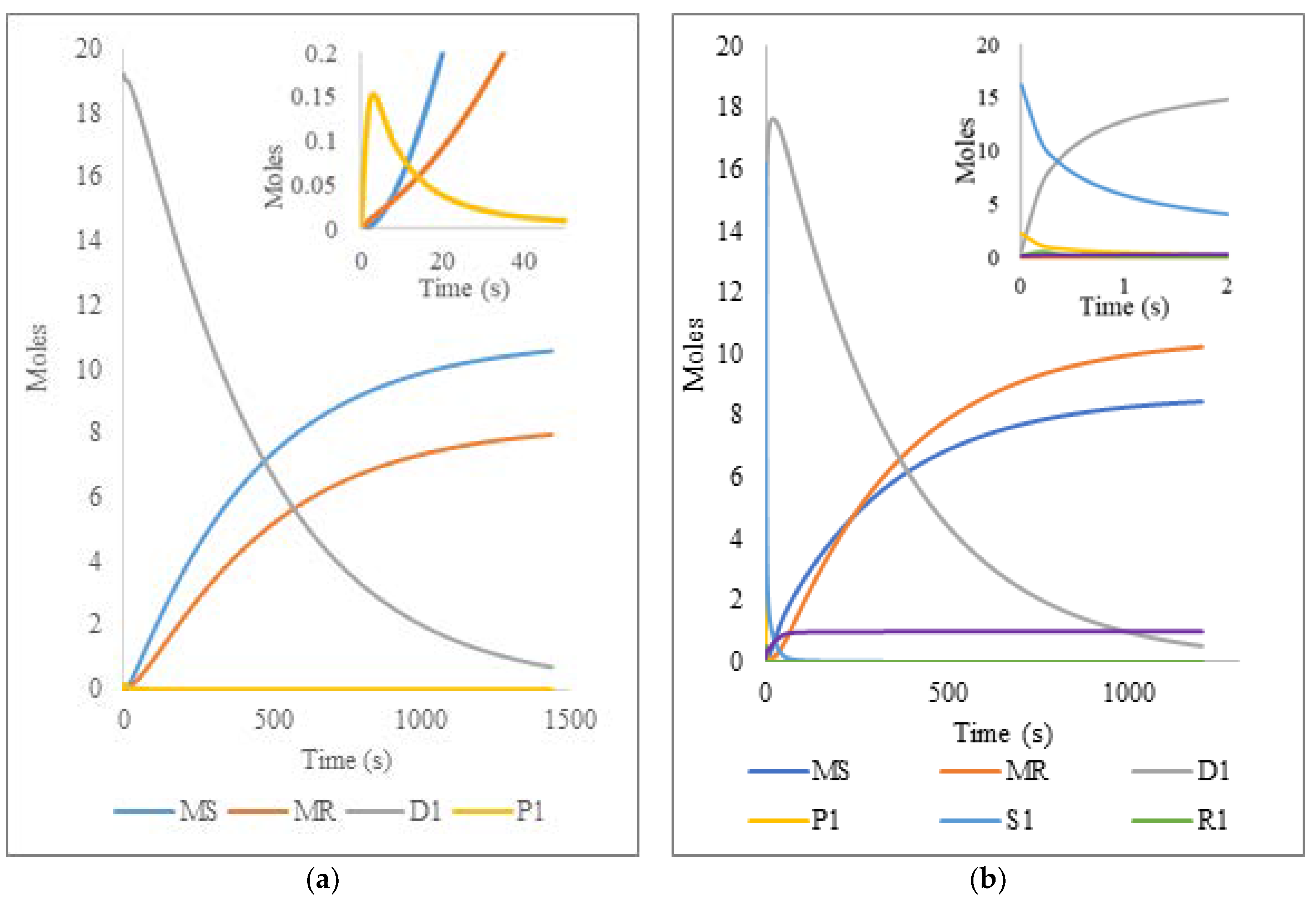
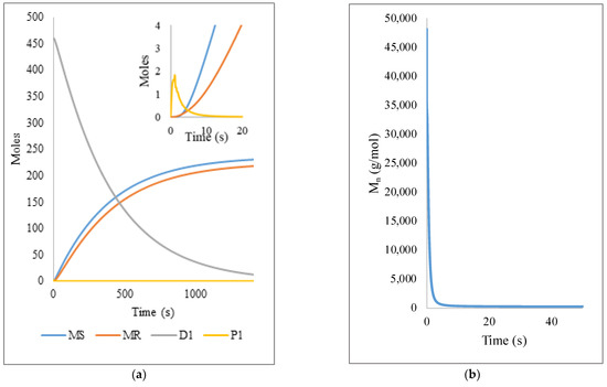
3.3.3. Polymer Modeling Results
3.3.4. Comparison with Previous Simulations
3.3.5. Simulation of FRP Polymer Degradation
3.3.6. Simulation of NMP Polymer Degradation
4. Conclusions
Supplementary Materials
Author Contributions
Funding
Institutional Review Board Statement
Informed Consent Statement
Data Availability Statement
Conflicts of Interest
Appendix A. Mathematical Model for the MWD
References
- Ordaz-Quintero, A.; Monroy-Alonso, A.; Saldívar-Guerra, E. Thermal Pyrolysis of Polystyrene Aided by a Nitroxide End-Functionality. Experiments and Modeling. Processes 2020, 8, 1508. [Google Scholar] [CrossRef] [Green Version]
- Karaduman, A. Pyrolysis of Polystyrene Plastic Wastes with Some organic compounds for Enhancing Styrene Yield. Energy Sources 2002, 24, 667–674. [Google Scholar] [CrossRef]
- Çelikgöğüs, Ç.; Karaduman, A. Thermal-catalytic Pyrolysis of Polystyrene Waste Foams in a Semi-batch Reactor. Energy Sources Part A Recovery Util. Environ. Eff. 2015, 37, 2507–2513. [Google Scholar] [CrossRef]
- Dogu, O.; Pelucchi, M.; Van de Vijver, R.; Van Steenberge, P.H.M.; D’hooge, D.R.; Cuoci, A.; Mehl, M.; Frassoldati, A.; Faravelli, T.; Van Geem, K.M. The chemistry of chemical recycling of solid plastic waste via pyrolysis and gasification: State-of-the-art, challenges, and future directions. Prog. Energy Combust. Sci. 2021, 84, 100901. [Google Scholar] [CrossRef]
- Onwudili, J.A.; Insura, N.; Williams, P.T. Composition of products from the pyrolysis of Polyethylene and Polystyrene in a Closed Batch Reactor: Effects of temperature and residence time. J. Anal. Appl. Pyrolysis 2009, 86, 293–303. [Google Scholar] [CrossRef]
- David, C. Thermal Degradation of Polymers. In Comprehensive Chemical Kinetics; Bamford, C.H., Tipper, C.F.H., Eds.; Elsevier Scientific Publishing Company: New York, NY, USA, 1957; Volume 14, pp. 1–173. [Google Scholar]
- Grassie, N.; Kerr, W.W. The Thermal Depolymerization of Polystyrene. Part 1 The Reaction Mechanism. Trans. Faraday Soc. 1957, 53, 234–239. [Google Scholar] [CrossRef]
- Malhotra, S.L.; Hesse, J.; Blanchard, L.-P. Thermal Decomposition of Polystyrene. Polymer 1975, 16, 81–93. [Google Scholar] [CrossRef]
- Lehrle, R.S.; Peakman, R.E.; Robb, J.C. Pyrolysis-Gas-Liquid-Chromatography Utilized for a Kinetic Study of the Mechanisms of Initiation and Termination in the Thermal Degradation of Polystyrene. Eur. Polym. J. 1982, 18, 517–529. [Google Scholar] [CrossRef]
- Cameron, G.G.; Grassie, N. The thermal Depolymerization of Polystyrene. Die Makromolekulare Chemie 1962, 51, 130–136. [Google Scholar] [CrossRef]
- Odian, G.G. Principles of Polymerization, 4th ed.; John Wiley & Sons, Inc.: Hoboken, NJ, USA, 2004; pp. 1–812. [Google Scholar]
- Mark, J. Polymer Data Handbook, 2nd ed.; Oxford University Press: New York, NY, USA, 1999; pp. 1–1018. [Google Scholar]
- Audisio, G.; Bertini, F. Molecular Weight and Pyrolysis Products Distribution of Polymers I. Polystyrene. J. Anal. Appl. Pyrolysis 1992, 24, 61–74. [Google Scholar] [CrossRef]
- Guaita, M. Thermal Degradation of Polystyrene. Br. Polym. J. 1986, 18, 226–230. [Google Scholar] [CrossRef]
- Guyot, A. Recent Developments in the Thermal Degradation of Polystyrene-A Review. Polym. Degrad. Stab. 1986, 15, 219–235. [Google Scholar] [CrossRef]
- Faravelli, T.; Bozzano, G.; Colombo, M.; Ranzi, E.; Dente, M. Kinetic Modeling of the Thermal Degradation of Polyethylene and Polystyrene Mixtures. J. Anal. Appl. Pyrolysis 2003, 70, 761–777. [Google Scholar] [CrossRef]
- Beyler, C.L.; Hirschler, M.M. Thermal Decomposition of Polymers. In SFPE Handbook of Fire Protection Engineering; National Fire Protection Association: Quincy, MA, USA, 2002; pp. 111–131. [Google Scholar]
- Liu, Y.; Qian, J.; Wang, J. Pyrolysis of Polystyrene Waste in a Fluidized-Bed Reactor to Obtain Styrene Monomer and Gasoline Fraction. Fuel Processing Technol. 2000, 63, 45–55. [Google Scholar] [CrossRef]
- Simard, Y.D.M.; Kamal, M.R.; Cooper, D.G. Thermolysis of Polystyrene. J. Appl. Polym. Sci. 1995, 58, 843–851. [Google Scholar] [CrossRef] [Green Version]
- Jellinek, H.H.G. Thermal Degradation of Polystyrene and Polyethylene Part III. J. Polym. Sci. 2003, 4, 13–36. [Google Scholar] [CrossRef]
- Ebert, K.H.; Ederer, H.J.; Schröder, U.K.O.; Hamielec, A.W. On the Kinetics and Mechanism of Thermal Degradation of Polystyrene. Die Makromol. Chem. 1982, 183, 1207–1218. [Google Scholar] [CrossRef]
- Richards, D.H.; Salter, D.A. Thermal Degradation of Vinyl Polymers II-The Synthesis and Degradation of Polystyrene Containing Thermally Weak Bonds. Polymer 1967, 8, 139–152. [Google Scholar] [CrossRef]
- Anderson, D.A.; Freeman, E.S. The Kinetics of the Thermal Degradation of Polystyrene and Polyethylene. J. Polym. Sci. 1961, 54, 253–260. [Google Scholar] [CrossRef]
- Lee, S.; Gencer, M.A.; Fullerton, K.L.; Azzam, F.O. Novel Depolymerization Process. US Patent 5386055, 31 January 1995. [Google Scholar]
- Roland, A.I.; Schmidt-Naake, G. Thermal Degradation of Polystyrene Produced by Nitroxide-Controlled Radical Polymerization. J. Anal. Appl. Pyrolysis 2001, 58, 143–154. [Google Scholar] [CrossRef]
- McCoy, B.J.; Madras, G. Degradation Kinetics of Polymers in Solution: Time-Dependence of Molecular Weight Distributions; Office of Scientific & Technical Information Technical Reports; Department of Energy: Washington, DC, USA, 1996.
- Westerhout, R.W.J.; Waanders, J.; Kuipers, J.A.M.; van Swaaij, W.P.M. Kinetics of the Low-Temperature Pyrolysis of Polyethene, Polypropene and Polystyrene Modeling, Experimental Determination and Comparison with Literature Models and Data. Ind. Eng. Chem. Res. 1997, 36, 1955–1964. [Google Scholar] [CrossRef] [Green Version]
- Sterling, W.J.; Walline, K.S.; McCoy, B.J. Experimental study of polystyrene thermolysis to moderate conversion. Polym. Degrad. Stab. 2001, 73, 75–82. [Google Scholar] [CrossRef]
- Kruse, T.M.; Wong, H.-W.; Broadbelt, L.J. Modeling the Evolution of the Full Polystyrene Molecular Weight Distribution during Polystyrene Pyrolysis. Ind. Eng. Chem. Res. 2003, 42, 2722–2735. [Google Scholar] [CrossRef]
- Song, H.-S.; Hyun, J.C. An Optimization on the Pyrolysis of Polystyrene in a Batch Reaction. Korean J. Chem. Eng. 1999, 16, 316–324. [Google Scholar] [CrossRef]
- Ascher, U.M.; Petzold, L.R. Computer Methods for Ordinary Differential Equations and Differential-Algebraic Equations; Society for Industrial and Applied Mathematics: Philadelphia, PA, USA, 1998. [Google Scholar]
- Hawker, C.J.; Piotti, M.E.; Saldívar-Guerra, E. Nitroxide-Mediated Free Radical Polymerization. In Reference Module in Materials Science and Materials Engineering; Elsevier: Amsterdam, The Netherlands, 2016; pp. 1–15. [Google Scholar]
- Kruse, T.M.; Woo, O.S.; Wong, H.-W.; Khan, S.S.; Broadbelt, L.J. Mechanistic Modeling of Polymer Degradation: A Comprehensive Study of Polystyrene. Macromolecules 2002, 35, 7830–7844. [Google Scholar] [CrossRef]
- Evans, M.G.; Polanyi, M. Inertia and driving force of chemical reactions. Trans. Faraday Soc. 1938, 34, 11–24. [Google Scholar] [CrossRef]
- Daoust, D.; Bormann, S.; Legras, R.; Mercier, J.P. Thermal degradation of polystyrene: Changes in molecular composition. Polym. Eng. Sci. 1981, 21, 721–726. [Google Scholar] [CrossRef]
















| State of the System (temperature, °C) | Set-Point, °C |
|---|---|
| Ambient (18–22) | 50 |
| 35 | 100 |
| 85 | 150 |
| 300–330 | 345 |
| 390 | ~400 (only for 420 °C reactions) |
| Polymer | Pyrolysis Temperature, °C |
|---|---|
| FRP | 390 |
| NMP, N/I = 0.9 | 390 |
| NMP, N/I = 1.1 | 390 |
| NMP, N/I = 1.3 | 390 |
| FRP | 420 |
| NMP, N/I = 0.9 | 420 |
| NMP, N/I = 1.1 | 420 |
| NMP, N/I = 1.3 | 420 |
| T (°C) | N/I | % wt. Liquid | % wt. Gas | % wt. Solids | Time (min) |
|---|---|---|---|---|---|
| 390 | 0 | 87.4 | 6.45 | 6.15 | 24 |
| 0.9 | 84.6 | 14.2 | 1.2 | 19 | |
| 1.1 | 89.3 | 8.5 | 2.2 | 16 | |
| 1.3 | 88.6 | 8.3 | 3.1 | 19 | |
| 420 | 0 | 88.4 | 9.5 | 2.1 | 17 |
| 0.9 | 86.3 | 12.7 | 1 | 18 | |
| 1.1 | 91.5 | 7.5 | 1 | 17 | |
| 1.3 | 87.1 | 11.9 | 1 | 16 |
| T (°C) | N/I | % Styrene | % Toluene | % α-Methyl Styrene | % Dímer | % Tri Phenyl Cyclohexane | % Aromatic Mixture | % Total |
|---|---|---|---|---|---|---|---|---|
| 390 | 0 | 64.9 ± 1.2 | 8.3 | 3.0 | 3.8 | 3.5 | 3.7 | 87.4 |
| 0.9 | 57.7 ± 1.9 | 6.9 | 1.9 | 7.2 | 5.3 | 5.8 | 84.7 | |
| 1.1 | 64.5 ± 8.6 | 8.5 | 1.9 | 5.2 | 7.7 | 1.4 | 89.3 | |
| 1.3 | 75.2 ± 6.7 | 5.4 | 1.1 | 5.1 | 1.5 | 0.4 | 88.6 | |
| 420 | 0 | 62.3 ± 7.9 | 7.1 | 1.5 | 12.9 | 4.6 | 0.0 | 88.4 |
| 0.9 | 58.9 ± 3.2 | 8.2 | 2.8 | 7.6 | 4.5 | 4.3 | 86.3 | |
| 1.1 | 68.5 ± 2.5 | 10.4 | 2.6 | 1.9 | 3.7 | 4.5 | 91.5 | |
| 1.3 | 60.6 ± 3.3 | 7.1 | 1.7 | 8.3 | 7.7 | 1.7 | 87.1 |
| Mechanism | Kinetic Rate Coefficient | Used Kinetic Rate Coefficients (Lmol−1s−1 or s−1) |
|---|---|---|
| Mid-chain scission | kb | 1.0 × 10−5 |
| End-chain scission | kbe | 5.1 × 10−3 |
| Transfer + β-scission | ktrb | 1.0 |
| Termination by combination | ktc | 0–1.0 |
| Termination by disproportionation | ktd | 2.0 × 101 |
| Activation of dormant species | ka | 1 × 106–9.0 × 107 * |
| Deactivation of dormant species | kd | 5.0 × 109 |
| Depropagation | krev | 1.1 × 10−1 |
Publisher’s Note: MDPI stays neutral with regard to jurisdictional claims in published maps and institutional affiliations. |
© 2021 by the authors. Licensee MDPI, Basel, Switzerland. This article is an open access article distributed under the terms and conditions of the Creative Commons Attribution (CC BY) license (https://creativecommons.org/licenses/by/4.0/).
Share and Cite
Monroy-Alonso, A.; Ordaz-Quintero, A.; Ramirez, J.C.; Saldívar-Guerra, E. Thermal Pyrolysis of Polystyrene Aided by a Nitroxide End-Functionality Improved Process and Modeling of the Full Molecular Weight Distribution. Polymers 2022, 14, 160. https://doi.org/10.3390/polym14010160
Monroy-Alonso A, Ordaz-Quintero A, Ramirez JC, Saldívar-Guerra E. Thermal Pyrolysis of Polystyrene Aided by a Nitroxide End-Functionality Improved Process and Modeling of the Full Molecular Weight Distribution. Polymers. 2022; 14(1):160. https://doi.org/10.3390/polym14010160
Chicago/Turabian StyleMonroy-Alonso, Antonio, Almendra Ordaz-Quintero, Jorge C. Ramirez, and Enrique Saldívar-Guerra. 2022. "Thermal Pyrolysis of Polystyrene Aided by a Nitroxide End-Functionality Improved Process and Modeling of the Full Molecular Weight Distribution" Polymers 14, no. 1: 160. https://doi.org/10.3390/polym14010160
APA StyleMonroy-Alonso, A., Ordaz-Quintero, A., Ramirez, J. C., & Saldívar-Guerra, E. (2022). Thermal Pyrolysis of Polystyrene Aided by a Nitroxide End-Functionality Improved Process and Modeling of the Full Molecular Weight Distribution. Polymers, 14(1), 160. https://doi.org/10.3390/polym14010160

