Cyclic Methacrylate Tetrahydropyrimidinones: Synthesis, Properties, (Co)Polymerization
Abstract
:1. Introduction
2. Materials and Methods
2.1. Synthesis of Methacryloylguanidine (MG) and Its Cyclical Analogue 2-Imino-5-methyltetrahydropyrimidin-4(1H)-one (THP)
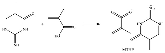
2.2. Synthesis of THP Methacrylate (MTHP)
2.3. MTHP Polymerization
2.4. MTHP Copolymerization with Diallyldimethylammonium Chloride (DADMAC)
3. Results and Discussion
3.1. THP and MTHP Synthesis
3.2. Spectral Analysis of MTHP
3.3. The Possibility of MTHP (Co)Polymerization
4. Conclusions
Author Contributions
Funding
Institutional Review Board Statement
Informed Consent Statement
Data Availability Statement
Conflicts of Interest
References
- Sivov, N.A.; Martynenko, A.I.; Bondarenko, G.N.; Filatova, M.P.; Kabanova, E.Y.; Popova, N.I.; Sivov, A.N.; Krut’ko, E.B. Structure and composition of guanidine acrylate, guanidine methacrylate, their homopolymers, and copolymers with diallyldimethylammonium chloride. Pet. Chem. 2006, 46, 41–59. [Google Scholar] [CrossRef]
- Sivov, N.A. Biocide Guanidine Containing Polymers: Synthesis, Structure and Properties, 1st ed.; CRC Press: London, UK, 2006; p. 156. [Google Scholar]
- Martynenko, A.I.; Popova, N.I.; Kabanova, E.Y.; Lachinov, M.B.; Sivov, N.A. Free-radical polymerization of guanidine acrylate and methacrylate and the conformational behavior of growing chains in aqueous solutions. Polym. Sci. Ser. A 2008, 50, 771–780. [Google Scholar] [CrossRef]
- Martynenko, A.I.; Khashirova, S.Y.; Malkanduev, Y.A.; Sivov, N.A. Guanidine-Containing Monomers and Polymers: Synthesis, Structure, Properties, 1st ed.; Izd M. and V. Kotlyarovyh: Nalchik, Russia, 2008; p. 232. [Google Scholar]
- Menyashev, M.R.; Martynenko, A.I.; Popova, N.I.; Kleshcheva, N.A.; Sivov, N.A. Methacrylate Guanidine and Methacryloyl Guanidine Hydrochloride: Synthesis and Polymerization. In Analytical Chemistry from Laboratory to Process Line, 1st ed.; Zaikov, G.E., Haghi, A.K., Eds.; Apple Academic Press, Inc.: New York, NY, USA, 2016; pp. 199–206. [Google Scholar]
- Zhansitov, A.A.; Martynenko, A.I.; Popova, N.I.; Sivov, N.A. Synthesis of novel monomers of methacryloylguanidine and its hydrochloride and their capacity for radical (co)polymerization. ChemChemTech 2012, 55, 46–52. [Google Scholar]
- Menyashev, M.R.; Martynenko, A.I.; Popova, N.I.; Kleshcheva, N.A.; Sivov, N.A. Guanidine methacrylate and methacryloyl guanidine hydrochloride: Synthesis and polymerization. Polym. Sci. Ser. B 2016, 58, 556–563. [Google Scholar] [CrossRef]
- Sivov, N.A.; Martynenko, A.I.; Malkanduev, Y.A.; Popova, N.I.; Zhansitov, A.A.; Khashirova, S.Y.; Esmurziev, A.M. Radical co-polymerization of guanidine containing acrylic monomer with N,N-diallyl-N,N-dimethylammonium chloride in water: Kinetic peculiarities and co-polymers properties. In Handbook of Condensed Phase Chemistry, 1st ed.; Zaikov, G.E., Kablov, V.F., Eds.; Nova Science Publishers, Inc.: New York, NY, USA, 2011; pp. 287–291. [Google Scholar]
- Stelmakh, S.A.; Grigor’eva, M.N.; Garkusheva, N.M.; Lebedeva, S.N.; Ochirov, O.S.; Mognonov, D.M.; Zhamsaranova, S.D.; Batoev, V.B. Studies of new biocidal polyguanidines: Antibacterial action and toxicity. Polym. Bull. 2021, 78, 1997–2008. [Google Scholar] [CrossRef]
- Luo, H.; Yin, X.Q.; Tan, P.F.; Gu, Z.P.; Liu, Z.M.; Tan, L. Polymeric antibacterial materials: Design, platforms and applications (Review Article). J. Mater. Chem. B 2021, 9, 2802–2815. [Google Scholar] [CrossRef] [PubMed]
- Shatalov, D.O.; Kedik, S.A.; Ivanov, I.S.; Aydakova, A.V.; Akhmedova, D.A.; Minenkov, D.S.; Beliakov, S.V.; Herbst, A.; Greiner, L.; Kozlovskaya, L.I.; et al. Development of a Promising Method for Producing Oligomeric Mixture of Branched Alkylene Guanidines to Improve Substance Quality and Evaluate Their Antiviral Activity against SARS-CoV-2. Molecules 2021, 26, 3472. [Google Scholar] [CrossRef] [PubMed]
- Park, D.U.; Ryu, S.H.; Lim, H.K.; Kim, S.K.; Choi, Y.Y.; Ahn, J.J. Types of household humidifier disinfectant and associated risk of lung injury (HDLI) in South Korea. Sci. Total Environ. 2017, 596–597, 53–60. [Google Scholar] [CrossRef] [PubMed]
- Yoon, J.; Cho, H.J.; Lee, E.; Choi, Y.J.; Kim, Y.H.; Lee, J.L. Rate of humidifier and humidifier disinfectant usage in Korean children: A nationwide epidemiologic study. Environ. Res. 2017, 155, 60–63. [Google Scholar] [CrossRef] [PubMed]
- Aviv, O.; Ratner, S.; Amir, N.; Laout, N.; Basu, A.; Shadmon, H.; Beyth, N.; Domb, A.J. Cationic antimicrobial copolymer poly (methylmethacrylate-co-PHMG) decontaminates water. Polym. Adv. Tech. 2017, 28, 1334–1338. [Google Scholar] [CrossRef]
- Ding, X.; Chen, F.; Guan, Y. Preparation and properties of an antimicrobial acrylic coating modified with guanidinium oligomer. J. Coat. Technol Res. 2020, 17, 1505–1513. [Google Scholar] [CrossRef]
- Treat, N.J.; Smith, D.D.; Teng, C.; Flores, J.D.; Abel, B.A.; York, A.W.; Huang, F.; McCormick, C.L. Guanidine-Containing Methacrylamide (Co)polymers via aRAFT: Toward a Cell-Penetrating Peptide Mimic. ACS Macro Lett. 2012, 1, 100–104. [Google Scholar] [CrossRef] [PubMed] [Green Version]
- Guan, Y.; Xiao, H.; Sullivan, H.; Zheng, A. Antimicrobial-modified sulfite pulps prepared by in situ copolymerization. Carbohydr. Polym. 2007, 69, 688–696. [Google Scholar] [CrossRef]
- Gorbunova, M.; Lemkina, L.; Borisova, I. New guanidine-containing polyelectrolytes as advanced antibacterial materials. Eur. Polym. J. 2018, 105, 426–433. [Google Scholar] [CrossRef]
- Zhurina, M.V.; Kallistova, A.Y.; Panyushkina, A.E.; Gannesen, A.V.; Mart’yanov, S.V.; Gerasin, V.A.; Sivov, N.A.; Tikhomirov, V.A.; Plakunov, V.K. Specific Features of Formation of Multispecies Microbial Biofilms on Polyethylene Surface. Microbiology 2020, 89, 396–404. [Google Scholar] [CrossRef]
- Timofeeva, L.; Kleshcheva, N. Antimicrobial Polymers: Mechanism of Action, Factors of Activity, and Applications. Appl. Microbiol. Biotechnol. 2011, 89, 475–492. [Google Scholar] [CrossRef] [PubMed]











| № | Reagent Order | Ester | Time, min | Yield | |||
|---|---|---|---|---|---|---|---|
| Dropwise Adding | Synthesis | MG | THP | ||||
| g (mol) | Mol, % | Mol, % | |||||
| 1 | GHC, then ester | MMA | 30 | 240 | 27.1 (0.2131) | 53 | 31 |
| 2 | BMA | 40 | 240+ overnight | 0.15 (0.0017) | 3 | 92 | |
| 3 | Ester, then GHC | MMA | 45 | 240 | 15.4 (0.1212) | 30 | 62 |
| 4 | BMA | 130 | 240+ overnight | 4.9 (0.0463) | 12 | 87 | |
| № | Elements, Mass.% | |||
|---|---|---|---|---|
| C | H | N | N/C | |
| Calculated | 47.23 | 7.14 | 33.05 | 0.6998 |
| 1 | 47.87 | 7.10 | 33.04 | 0.6902 |
| 2 | 47.75 | 7.16 | 32.86 | 0.6882 |
| 3 | 47.20 | 7.11 | 33.19 | 0.7032 |
| № | Sample | Chemical Shift, ppm | NH, δ | |||||
|---|---|---|---|---|---|---|---|---|
| Methacrylic Part, δ | Pyrimidinone Part, δ | |||||||
| CH3 | CHA | CHB | CH3 | CH | CH2 | |||
| 1 | MTHP | 1.78 | 5.21 | 5.71 | 1.06 | ~2.4 + 2.67 | 3.27 + 3.50 | 7.74 |
| 2 | MTHP-T | 1.79 | 5.21 | 5.72 | 1.05 | 2.46 + 2.67 | 3.29 + 3.53 | 7.74 |
| 3 | MTHP-M | 1.78 | 5.18 | 5.69 | 1.07 | 2.68 | 3.28 + 3.53 | 7.70 |
| 4 | THP | — | — | 1.01 | 2.32 + 2.75 | 3.00 + 3.35 | 8.35 | |
| 5 | THP-TFAc | — | — | 1.08 | 2.83 | 3.24 + 3.55 | 8.65 | |
| 6 | THP-HCl | — | — | 1.06 + 1.13 | 2.84 + 3.07 | 3.22 + 3.55 + 3.69 | 8.79 | |
| 7 | MA | 1.83 | 5.59 | 5.87 | — | — | — | |
| 8 | MAG | 1.76 | 5.05 | 5.60 | — | — | 7.83 | |
| № | THP, mol/L | MA, mol/L | DADMAC, mol/L | (Co)Polymer Composition | K, % | |||
|---|---|---|---|---|---|---|---|---|
| NMR | Elemental Analysis | |||||||
| M1 | M2 | M1 | M2 | |||||
| 1 | 0.4 | 0.4 | — | 38 | 62 | 41 | 59 | 53 |
| 2 | 0.5 | 0.5 | 0.5 | 51 | 48 | 45 | 55 | 41 |
| 3 | 1.0 | 1.0 | 1.0 | 67 | 33 | 77 | 23 | 51 |
Publisher’s Note: MDPI stays neutral with regard to jurisdictional claims in published maps and institutional affiliations. |
© 2021 by the authors. Licensee MDPI, Basel, Switzerland. This article is an open access article distributed under the terms and conditions of the Creative Commons Attribution (CC BY) license (https://creativecommons.org/licenses/by/4.0/).
Share and Cite
Gerasin, V.A.; Zhurina, M.V.; Kleshcheva, N.A.; Sivov, N.A.; Mendeleev, D.I. Cyclic Methacrylate Tetrahydropyrimidinones: Synthesis, Properties, (Co)Polymerization. Polymers 2022, 14, 107. https://doi.org/10.3390/polym14010107
Gerasin VA, Zhurina MV, Kleshcheva NA, Sivov NA, Mendeleev DI. Cyclic Methacrylate Tetrahydropyrimidinones: Synthesis, Properties, (Co)Polymerization. Polymers. 2022; 14(1):107. https://doi.org/10.3390/polym14010107
Chicago/Turabian StyleGerasin, Victor A., Marina V. Zhurina, Natalia A. Kleshcheva, Nikolai A. Sivov, and Dmitry I. Mendeleev. 2022. "Cyclic Methacrylate Tetrahydropyrimidinones: Synthesis, Properties, (Co)Polymerization" Polymers 14, no. 1: 107. https://doi.org/10.3390/polym14010107
APA StyleGerasin, V. A., Zhurina, M. V., Kleshcheva, N. A., Sivov, N. A., & Mendeleev, D. I. (2022). Cyclic Methacrylate Tetrahydropyrimidinones: Synthesis, Properties, (Co)Polymerization. Polymers, 14(1), 107. https://doi.org/10.3390/polym14010107

