Additive Manufacturing of Wood Flour/PHA Composites Using Micro-Screw Extrusion: Effect of Device and Process Parameters on Performance
Abstract
1. Introduction
2. Materials and Methods
2.1. Specimen Preparation
2.2. Extrusion AM Parameters
2.3. Testing and Characterization
3. Results and Discussion
3.1. Effect of Device Parameters on the Micro-Screw Extrusion AM
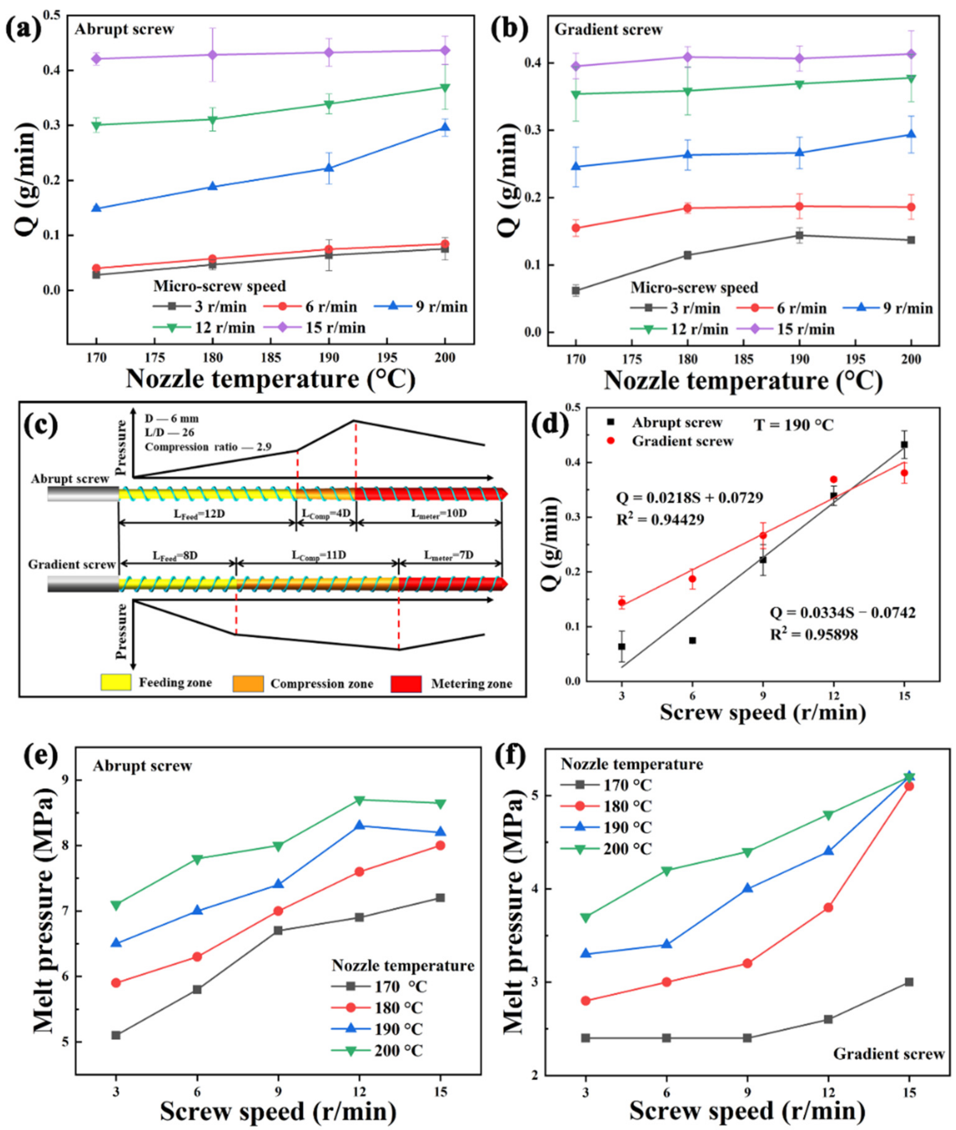
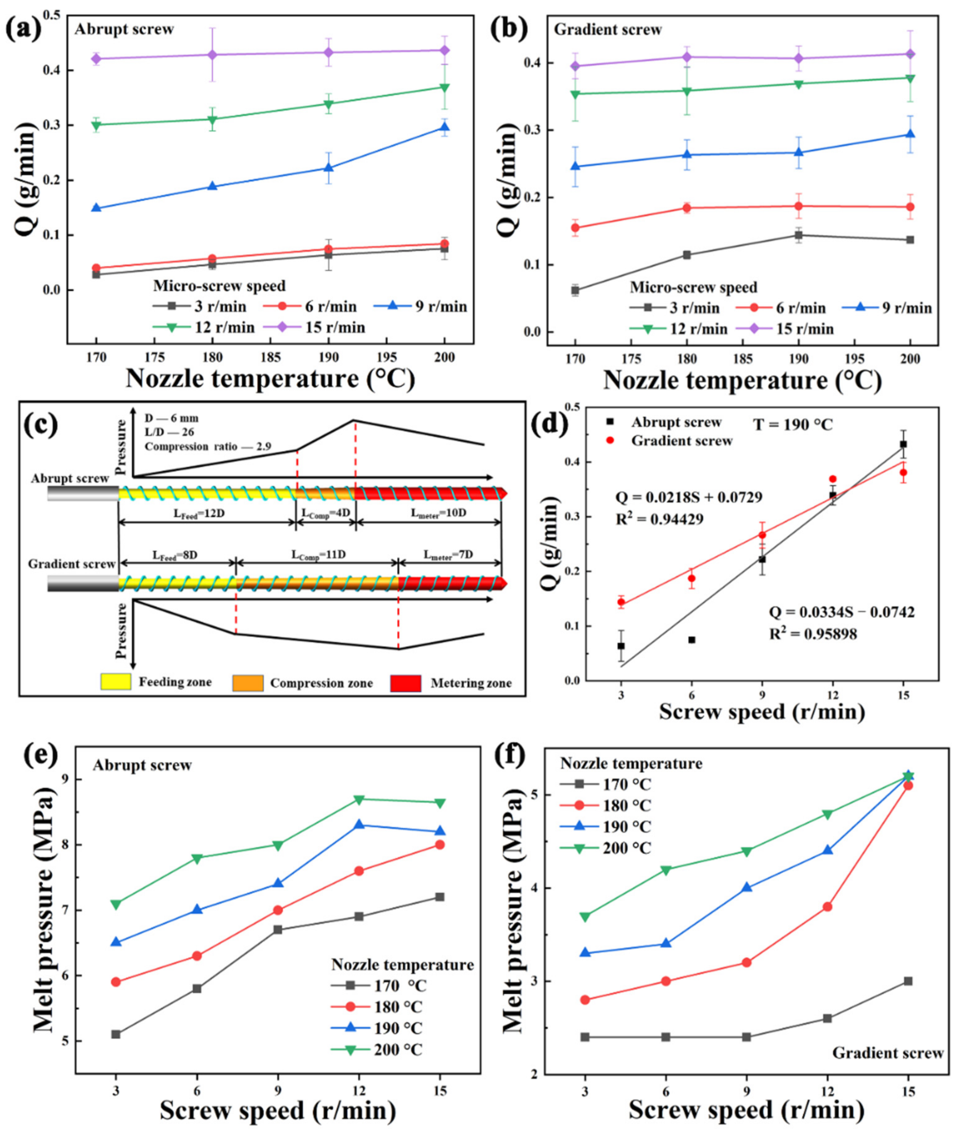
3.1.1. Effects of Screw Structure on Extrusion Stability and Melt Pressure
3.1.2. Effects of Screw Structure on Mechanical and Thermal Properties
3.1.3. Effects of Nozzle Diameter on Mechanical and Thermal Properties
3.2. Effect of Process Parameters on the Micro-Screw Extrusion AM
3.2.1. Mechanical Properties
3.2.2. Thermal Property
3.3. Effect Assessment of Device and Process Parameters on the Micro-Screw Extrusion AM
4. Conclusions
- (1)
- The anisotropy of micro-screw extrusion FDM was not as obvious as that of filament extrusion, which reflected in raster angle;
- (2)
- The printing speed is the most significant factor for micro-screw extrusion AM, followed by the layer thickness. Therefore, the printing speed and layer thickness should be primarily considered in the printing parameters of micro-screw extrusion FDM to obtain better surface quality and performance;
- (3)
- The structure of two kinds of micro-screw has different effect on the extrusion flow rate and melt pressure, resulting in the mechanical properties of samples printed by gradient screw are significantly higher than that of abrupt screw;
- (4)
- Although the increase in printing path can improve the surface quality, it will increase more interfaces between the melted filaments (interlayers) and reduce the mechanical properties;
- (5)
- Compared with filament extrusion FDM, higher thickness can be obtained by micro-screw extrusion. The excellent mechanical properties (tensile strength and flexural strength) were obtained with layer thickness of 0.4 mm, while the better surface quality was obtained with layer thickness of 0.3 mm. Therefore, the layer thickness should be weighed between strength and surface quality;
- (6)
- The effect of nozzle temperature on tensile strength is not significant compared with flexural strength. Specifically, the printed sample even appears delamination of deposition layers at low temperature in flexural test, however, it will lead to the degradation of WF/PHA bio-based composite at too high temperature and affecting the performance of products;
- (7)
- The influence of nozzle temperature on thermal performance is more significant than that of other parameters due to internal stress;
- (8)
- Micro-screw extrusion FDM can control the mechanical properties of products by the extrusion flow rate.
Author Contributions
Funding
Institutional Review Board Statement
Informed Consent Statement
Data Availability Statement
Acknowledgments
Conflicts of Interest
References
- Mohamed, O.A.; Masood, S.H.; Bhowmik, J.L. Optimization of fused deposition modeling process parameters: A review of current research and future prospects. Adv. Manuf. 2015, 3, 42–53. [Google Scholar] [CrossRef]
- Hopkinson, N.; Hague, R.J.M.; Dickens, P.M. Rapid Manufacturing: An Industrial Revolution for the Digital Age; John Wiley & Sons: Chichester, UK, 2006; ISBN 0470016132. [Google Scholar] [CrossRef]
- Wang, X.; Jiang, M.; Zhou, Z.; Gou, J.; Hui, D. 3D printing of polymer matrix composites: A review and prospective. Compos. Part B Eng. 2017, 110, 442–458. [Google Scholar] [CrossRef]
- Casavola, C.; Cazzato, A.; Moramarco, V.; Pappalettere, C. Orthotropic mechanical properties of fused deposition modelling parts described by classical laminate theory. Mater. Des. 2016, 90, 453–458. [Google Scholar] [CrossRef]
- Tian, J.; Zhang, R.; Wu, Y.; Xue, P. Additive manufacturing of wood flour/polyhydroxyalkanoates (PHA) fully bio-based composites based on micro-screw extrusion system. Mater. Des. 2021, 199, 109418. [Google Scholar] [CrossRef]
- Solomon, I.J.; Sevvel, P.; Gunasekaran, J. A review on the various processing parameters in FDM. Mater. Today Proc. 2020, 37, 509–514. [Google Scholar] [CrossRef]
- Kumar Nayak, P.; Kumar Sahu, A.; Sankar Mahapatra, S. Effect of Process Parameters on the Mechanical Behavior of FDM and DMLS Build Parts. Mater. Today Proc. 2019, 22, 1443–1451. [Google Scholar] [CrossRef]
- Rajpurohit, S.R.; Dave, H.K. Effect of process parameters on tensile strength of FDM printed PLA part. Rapid Prototyp. J. 2018, 24, 1317–1324. [Google Scholar] [CrossRef]
- Ngo, T.D.; Kashani, A.; Imbalzano, G.; Nguyen, K.T.Q.; Hui, D. Additive manufacturing (3D printing): A review of materials, methods, applications and challenges. Compos. Part B Eng. 2018, 143, 172–196. [Google Scholar] [CrossRef]
- Turner, B.N.; Strong, R.; Gold, S.A. A review of melt extrusion additive manufacturing processes: I. Process design and modeling. Rapid Prototyp. J. 2014, 20, 192–204. [Google Scholar] [CrossRef]
- Drotman, D.; Diagne, M.; Bitmead, R.; Krstic, M. Control-Oriented Energy-Based Modeling of a Screw Extruder Used for 3D Printing. In Proceedings of the ASME 2016 Dynamic Systems and Control Conference, DSCC 2016, Minneapolis, MN, USA, 12–14 October 2016. [Google Scholar] [CrossRef]
- Valkenaers, H.; Vogeler, F.; Ferraris, E.; Voet, A.; Kruth, J.-P. A Novel Approach to Additive Manufacturing: Screw Extrusion 3D-Printing. In Proceedings of the International Conference on Multi-material Micro Manufacture, San Sebastian, Spain, 8–10 October 2013. [Google Scholar] [CrossRef]
- Freitas, M.S.; Inforcatti, N.P.; Silveira, Z.C.; Noritomi, P.Y.; Silva, J.V.L. Development of an innovative micro extrusion head based on screw for experimental additive manufacturing machines. IFAC Proc. Vol. 2013. [Google Scholar] [CrossRef]
- Lamm, M.E.; Wang, L.; Kishore, V.; Tekinalp, H.; Kunc, V.; Wang, J.; Gardner, D.J.; Ozcan, S. Material extrusion additive manufacturing of wood and lignocellulosic filled composites. Polymers 2020, 12, 2115. [Google Scholar] [CrossRef]
- Wang, Z.; Liu, R.; Sparks, T.; Liou, F. Large-scale deposition system by an Industrial Robot (I): Design of fused pellet modeling system and extrusion process analysis. 3D Print. Addit. Manuf. 2016, 3, 39–47. [Google Scholar] [CrossRef]
- Huang, B.; Meng, S.; He, H.; Jia, Y.; Xu, Y.; Huang, H. Study of processing parameters in fused deposition modeling based on mechanical properties of acrylonitrile-butadiene-styrene filament. Polym. Eng. Sci. 2019, 59, 120–128. [Google Scholar] [CrossRef]
- Benali, N.; Hammami, D.; Khlif, M.; Bradai, C. Optimization of FDM Manufacturing Parameters of a Biodegradable Thermoplastic (PLA). In Design and Modeling of Mechanical Systems—IV; Aifaoui, N., Affi, Z., Abbes, M.S., Walha, L., Haddar, M., Romdhane, L., Benamara, A., Chouchane, M., Chaari, F., Eds.; Springer: Basel, Switzerland, 2020; pp. 355–362. [Google Scholar] [CrossRef]
- Chacón, J.M.; Caminero, M.A.; García-Plaza, E.; Núñez, P.J. Additive manufacturing of PLA structures using fused deposition modelling: Effect of process parameters on mechanical properties and their optimal selection. Mater. Des. 2017, 124, 143–157. [Google Scholar] [CrossRef]
- Wang, P.; Zou, B.; Xiao, H.; Ding, S.; Huang, C. Effects of printing parameters of fused deposition modeling on mechanical properties, surface quality, and microstructure of PEEK. J. Mater. Process. Technol. 2019, 271, 62–74. [Google Scholar] [CrossRef]
- Dizon, J.R.C.; Espera, A.H.; Chen, Q.; Advincula, R.C. Mechanical characterization of 3D-printed polymers. Addit. Manuf. 2018, 20, 44–67. [Google Scholar] [CrossRef]
- Ahn, S.H.; Montero, M.; Odell, D.; Roundy, S.; Wright, P.K. Anisotropic material properties of fused deposition modeling ABS. Rapid Prototyp. J. 2002, 8, 248–257. [Google Scholar] [CrossRef]
- Chaudhry, M.S.; Czekanski, A. Evaluating FDM process parameter sensitive mechanical performance of elastomers at various strain rates of loading. Materials 2020, 13, 3202. [Google Scholar] [CrossRef]
- Zaldivar, R.J.; Witkin, D.B.; McLouth, T.; Patel, D.N.; Schmitt, K.; Nokes, J.P. Influence of processing and orientation print effects on the mechanical and thermal behavior of 3D-Printed ULTEM ® 9085 Material. Addit. Manuf. 2017, 13, 71–80. [Google Scholar] [CrossRef]
- Hanon, M.M.; Marczis, R.; Zsidai, L. Influence of the 3D Printing Process Settings on Tensile Strength of PLA and HT-PLA. Period. Polytech. Mech. Eng. 2020, 65, 38–46. [Google Scholar] [CrossRef]
- Guessasma, S.; Belhabib, S.; Nouri, H. Microstructure and Mechanical Performance of 3D Printed Wood-PLA/PHA Using Fused Deposition Modelling: Effect of Printing Temperature. Polymers 2019, 11, 1778. [Google Scholar] [CrossRef] [PubMed]
- Singh, S.; Mohanty, A.K. Wood fiber reinforced bacterial bioplastic composites: Fabrication and performance evaluation. Compos. Sci. Technol. 2007, 67, 1753–1763. [Google Scholar] [CrossRef]
- Rajpurohit, S.R.; Dave, H.K. Analysis of tensile strength of a fused filament fabricated PLA part using an open-source 3D printer. Int. J. Adv. Manuf. Technol. 2019, 101, 1525–1536. [Google Scholar] [CrossRef]
- Rankouhi, B.; Javadpour, S.; Delfanian, F.; Letcher, T. Failure Analysis and Mechanical Characterization of 3D Printed ABS With Respect to Layer Thickness and Orientation. J. Fail. Anal. Prev. 2016, 16, 467–481. [Google Scholar] [CrossRef]
- Christiyan, K.G.J.; Chandrasekhar, U.; Venkateswarlu, K. A Study on the Influence of Process Parameters on the Mechanical Properties of 3D Printed ABS Composite. In Proceedings of the IOP Conference Series: Materials Science and Engineering, Bali, Indonesia, 19–20 March 2016. [Google Scholar] [CrossRef]
- Popescu, D.; Zapciu, A.; Amza, C.; Baciu, F.; Marinescu, R. FDM process parameters influence over the mechanical properties of polymer specimens: A review. Polym. Test. 2018, 69, 157–166. [Google Scholar] [CrossRef]
- Jin, Y.A.; Li, H.; He, Y.; Fu, J.Z. Quantitative analysis of surface profile in fused deposition modelling. Addit. Manuf. 2015, 8, 142–148. [Google Scholar] [CrossRef]
- Geng, P.; Zhao, J.; Wu, W.; Ye, W.; Wang, Y.; Wang, S.; Zhang, S. Effects of extrusion speed and printing speed on the 3D printing stability of extruded PEEK filament. J. Manuf. Process. 2019, 37, 266–273. [Google Scholar] [CrossRef]
- Zanjanijam, A.R.; Major, I.; Lyons, J.G.; Lafont, U.; Devine, D.M. Fused filament fabrication of peek: A review of process-structure-property relationships. Polymers 2020, 12, 1665. [Google Scholar] [CrossRef]
- Takemori, M.T. Towards an understanding of the heat distortion temperature of thermoplastics. Polym. Eng. Sci. 1979, 19, 1104–1109. [Google Scholar] [CrossRef]













| Screw Type | Nozzle Diameter | Raster Angle | Layer Thickness | Printing Speed | Nozzle Temperature | Extrusion Multiplier a |
|---|---|---|---|---|---|---|
| Abrupt screw | 1 mm | +45°/−45° | 0.3 mm | 15 mm/s | 190 °C | 0.9 |
| Parameters | Within Groups Sum of Squares | Between Groups Sum of Squares |
|---|---|---|
| Raster angle | 60.6 | 17.3 |
| Layer thickness | 55.6 | 491 |
| Printing speed | 70.4 | 944 |
| Nozzle temperature | 63.0 | 4.54 |
| Nozzle diameter | 80.1 | 173 |
| Screw type | 11.8 | 349 |
Publisher’s Note: MDPI stays neutral with regard to jurisdictional claims in published maps and institutional affiliations. |
© 2021 by the authors. Licensee MDPI, Basel, Switzerland. This article is an open access article distributed under the terms and conditions of the Creative Commons Attribution (CC BY) license (https://creativecommons.org/licenses/by/4.0/).
Share and Cite
Tian, J.; Zhang, R.; Yang, J.; Chou, W.; Xue, P.; Ding, Y. Additive Manufacturing of Wood Flour/PHA Composites Using Micro-Screw Extrusion: Effect of Device and Process Parameters on Performance. Polymers 2021, 13, 1107. https://doi.org/10.3390/polym13071107
Tian J, Zhang R, Yang J, Chou W, Xue P, Ding Y. Additive Manufacturing of Wood Flour/PHA Composites Using Micro-Screw Extrusion: Effect of Device and Process Parameters on Performance. Polymers. 2021; 13(7):1107. https://doi.org/10.3390/polym13071107
Chicago/Turabian StyleTian, Jing, Run Zhang, Jiayuan Yang, Weimin Chou, Ping Xue, and Yun Ding. 2021. "Additive Manufacturing of Wood Flour/PHA Composites Using Micro-Screw Extrusion: Effect of Device and Process Parameters on Performance" Polymers 13, no. 7: 1107. https://doi.org/10.3390/polym13071107
APA StyleTian, J., Zhang, R., Yang, J., Chou, W., Xue, P., & Ding, Y. (2021). Additive Manufacturing of Wood Flour/PHA Composites Using Micro-Screw Extrusion: Effect of Device and Process Parameters on Performance. Polymers, 13(7), 1107. https://doi.org/10.3390/polym13071107

