A Study on the Life Estimation and Cavity Surface Degradation Due to Partial Discharges in Spherical Cavities within Solid Polymeric Dielectrics Using a Simulation Based Approach
Abstract
1. Introduction
2. Materials and Methods
- PDs simulation; and
- PD induced damage calculation.
- Discharges propagate along the symmetry axis and are streamer-like [30].
- The PD deploys charge carriers of opposite sign at the cavity surface where all they are initially concentrated at the intersection point between the symmetry axis and the cavity surface. After that, the charge assumes a field-dependent distribution [29].
- As the damage depends on the charge carrier collision and they are initially concentrated on the intersection point between the symmetry axis and the cavity surface, where the streamer impacts with the cavity surface, it is considered that the damage accumulates at that point [19].
3. Degradation of Polymeric Material Induced by PDs in Cavities
- Bombardment of the cavity surface by charge carriers and photons;
- Increment on the local temperature by high temperature discharge gases; and
- Chemical reactions activated by excited molecules or chemical compound in the gas and solid phase, particularly oxygen and ozone.
4. Calculation of the Degradation Induced by PDs and Life Estimation Approach
4.1. Calculating the PD Induced Damage by DEA
4.2. Space Charge Effect and Physical Degradation Mechanism
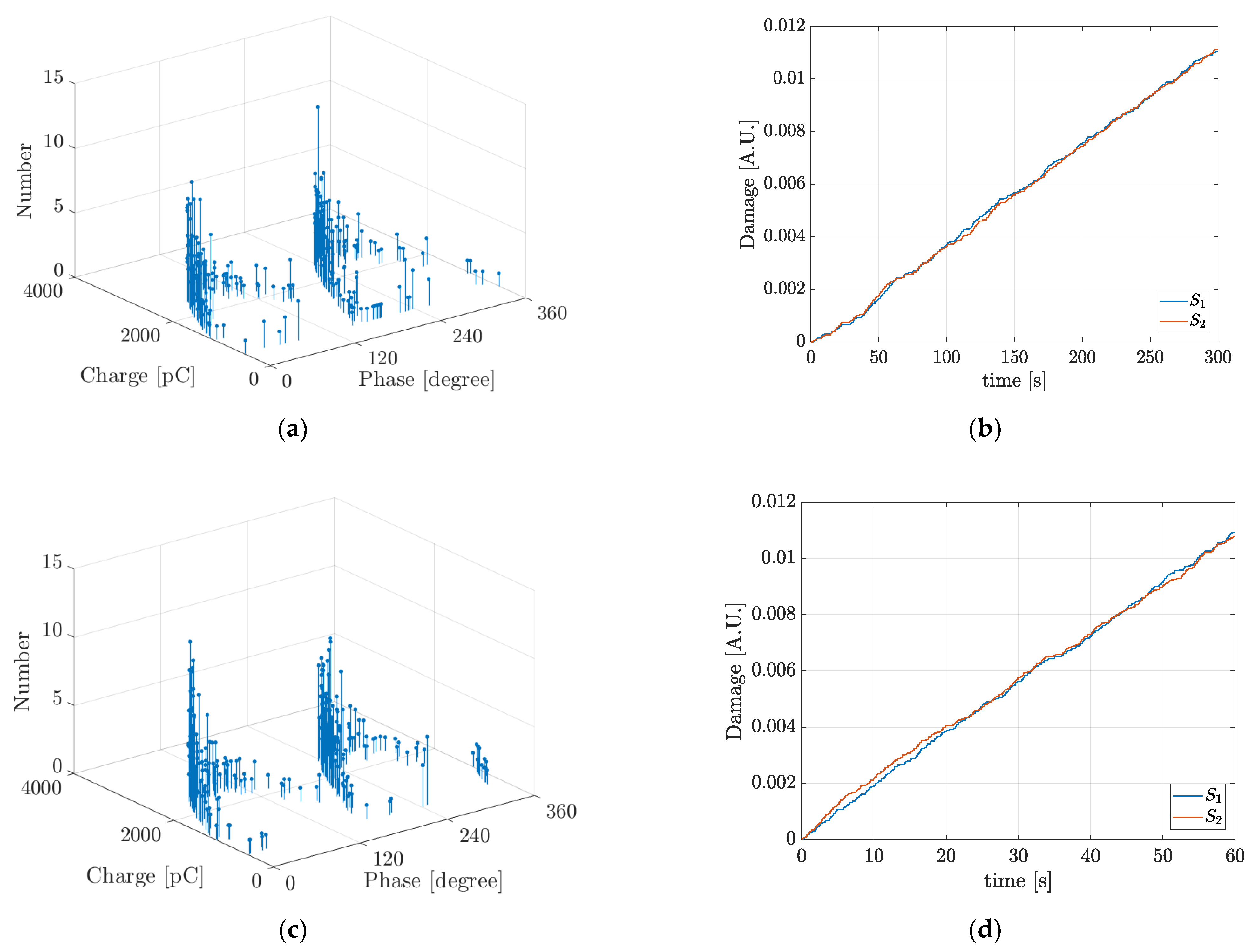
5. Results and Discussion
- The parameters of media, geometrical constants, boundaries and subdomains are defined;
- For each time-step the electric field strength is calculated using a Finite Element Analysis solver at all domains;
- For each time-step the inception criteria are electron existence and minimal electric field strength magnitude and both are verified;
- If the inception criteria are fulfilled, the cavity conductivity is increased and the time-step is diminished. The high-conductivity condition is maintained until the electric field strength magnitude is lower or equal to an extinction magnitude;
- If inception criteria are not fulfilled, the charge distribution on the cavity surface deployed by previous PDs is calculated as a function of the electric field strength inside the cavity, the time and the cavity surface conductivity;
- The induced charge is calculated evaluating boundary conditions at electrodes and parameters of media are reset for the following time-step. Calculations for the following time-step are executed as in step 2 until the required simulation time is reached.
5.1. Case Study 1, PDs Induced Degradation at Different Ageing Phases
- Phase A, from unaged to 0.17 h;
- Phase B, from end of Phase A to 35.17 h;
- Phase C, from end of Phase B to 185.17 h;
- Phase D, from end of Phase C to 1235 h; and
- Phase E, from end of Phase D to 1285 h.
5.2. Case Study 2, PDs Induced Degradation at Different Applied Voltage Magnitudes
5.3. Case Study 3, PDs Induced Degradation at Different Applied Voltage Frequencies
5.4. General Discussion
6. Conclusions
Author Contributions
Funding
Institutional Review Board Statement
Informed Consent Statement
Data Availability Statement
Acknowledgments
Conflicts of Interest
References
- Tenbohlen, S.; Coenen, S.; Djamali, M.; Müller, A.; Samimi, M.H.; Siegel, M. Diagnostic Measurements for Power Transformers. Energies 2016, 9, 347. [Google Scholar] [CrossRef]
- Mazzanti, G.; Montanari, G.C. Electrical Aging and Life Models: The Role of Space Charge. IEEE Trans. Dielectr. Electr. Insul. 2005, 12, 876–890. [Google Scholar] [CrossRef]
- Temmen, K. Evaluation of Surface Changes in Flat Cavities Due to Ageing by Means of Phase-Angle Resolved Partial Discharge Measurement. J. Phys. D Appl. Phys. 2000, 33, 603–608. [Google Scholar] [CrossRef]
- Toliyat, H.; Kliman, G. Handbook of Electric Motors, 2nd ed.; CRC Press: Boca Raton, FL, USA, 2004; ISBN 978-0-8247-4105-1. [Google Scholar]
- Chanda, M.; Roy, S.K. Industrial Polymers, Specialty Polymers, and Their Applications, 1st ed.; CRC Press: Boca Raton, FL, USA, 2008. [Google Scholar]
- Rhebergen, C.; Bilgin, B.; Emadi, A.; Rowan, E.; Lo, J. Enhancement of Electric Motor Thermal Management through Axial Cooling Methods: A Materials Approach. In Proceedings of the 2015 IEEE Energy Conversion Congress and Exposition (ECCE), Montreal, QC, Canada, 20–24 September 2015; pp. 5682–5688. [Google Scholar]
- Yoshitake, Y.; Obata, K.; Enomoto, Y.; Okabe, Y. Experiment and Calculation on Insulation/Thermal Characteristics of High Thermal Conductive Motors. In Proceedings of the 2011 International Symposium on Electrical Insulating Materials, Kyoto, Japan, 6–10 September 2011; p. 531. [Google Scholar]
- Dissado, L.A.; Fothergill, J.C. Electrical Degradation and Breakdown in Polymers, 1st ed.; IET: London, UK, 1992; ISBN 978-1-84919-363-4. [Google Scholar]
- Bahadoorsingh, S.; Rowland, S.M. The Role of Power Quality in Electrical Treeing of Epoxy Resin. In Proceedings of the 2007 Annual Report—Conference on Electrical Insulation and Dielectric Phenomena, Vancouver, BC, Canada, 14–17 October 2007; pp. 221–224. [Google Scholar]
- Laurent, C.; Teyssedre, G. Hot Electron and Partial-Discharge Induced Ageing of Polymers. Nucl. Instrum. Methods Phys. Res. Sect. B Beam Interact. Mater. Atoms. 2003, 208, 442–447. [Google Scholar] [CrossRef]
- Montanari, G.C.; Mazzanti, G.; Simoni, L. Progress in Electrothermal Life Modeling of Electrical Insulation during the Last Decades. IEEE Trans. Dielectr. Electr. Insul. 2002, 9, 730–745. [Google Scholar] [CrossRef]
- Shimizu, N.; Laurent, C. Electrical Tree Initiation. IEEE Trans. Dielectr. Electr. Insul. 1998, 5, 651–659. [Google Scholar] [CrossRef]
- Mazzanti, G.; Montanari, G.C.; Civenni, F. Model of Inception and Growth of Damage from Microvoids in Polyethylene-Based Materials for HVDC Cables. 1. Theoretical Approach. IEEE Trans. Dielectr. Electr. Insul. 2007, 14, 1242–1254. [Google Scholar] [CrossRef]
- Kurrat, M. Simulation of Partial-Discharge Processes and Energy Densities. Eur. Trans. Electr. Power 1995, 5, 157–163. [Google Scholar] [CrossRef]
- Montanari, G.C. On Line Partial Discharge Diagnosis of Power Cables. In Proceedings of the 2009 IEEE Electrical Insulation Conference, Montreal, QC, Canada, 31 May–3 June 2009; pp. 210–215. [Google Scholar]
- Montanari, G.C.; Cavallini, A. Partial Discharge Diagnostics: From Apparatus Monitoring to Smart Grid Assessment. IEEE Electr. Insul. Mag. 2013, 29, 8–17. [Google Scholar] [CrossRef]
- Albarracín-Sánchez, R.; Álvarez-Gómez, F.; Vera-Romero, C.A.; Rodríguez-Serna, J.M. Separation of Partial Discharge Sources Measured in the High-Frequency Range with HFCT Sensors Using PRPD-Teff Patterns. Sensors 2020, 20, 382. [Google Scholar] [CrossRef]
- Guastavino, F.; Cerutti, B. Tree Growth Monitoring by Means of Digital Partial Discharge Measurements. IEEE Trans. Dielectr. Electr. Insul. 2003, 10, 65–72. [Google Scholar] [CrossRef]
- Callender, G.; Rapisarda, P.; Lewin, P.L. Investigation of Void Erosion on Partial Discharge Activity Using Simulation. In Proceedings of the 2016 IEEE International Conference on Dielectrics (ICD), Montpellier, France, 3–7 July 2016; Volume 2, pp. 1–4. [Google Scholar]
- Montanari, G.C.; Morshuis, P.; Seri, P.; Ghosh, R. Ageing and Reliability of Electrical Insulation: The Risk of Hybrid AC/DC Grids. High Volt. 2020, 5, 620–627. [Google Scholar] [CrossRef]
- Montanari, G.C.; Hebner, R.; Morshuis, P.; Seri, P. An Approach to Insulation Condition Monitoring and Life Assessment in Emerging Electrical Environments. IEEE Trans. Power Deliv. 2019, 34, 1357–1364. [Google Scholar] [CrossRef]
- Montanari, G.C.; Seri, P. The Effect of Inverter Characteristics on Partial Discharge and Life Behavior of Wire Insulation. IEEE Electr. Insul. Mag. 2018, 34, 32–39. [Google Scholar] [CrossRef]
- Serra, S.; Montanari, G.C.; Mazzanti, G. Theoretical Study of Inception Mechanism and Growth of Defect-Induced Damages in XLPE Cable. In Proceedings of the 2001 Annual Report Conference on Electrical Insulation and Dielectric Phenomena (Cat. No.01CH37225), Kitchener, ON, Canada, 14–17 October 2001; pp. 644–647. [Google Scholar]
- Munro, J.J.; Harrison, S.; Fujimoto, M.M.; Tennyson, J. A Dissociative Electron Attachment Cross-Section Estimator. J. Phys. Conf. Ser. 2012, 388. [Google Scholar] [CrossRef]
- Gutfleisch, F.; Niemeyer, L. Measurement and Simulation of PD in Epoxy Voids. IEEE Trans. Dielectr. Electr. Insul. 1995, 2, 729–743. [Google Scholar] [CrossRef]
- Wang, L.; Cavallini, A.; Montanari, G.C.; Testa, L. Evolution of Pd Patterns in Polyethylene Insulation Cavities under AC Voltage. IEEE Trans. Dielectr. Electr. Insul. 2012, 19, 533–542. [Google Scholar] [CrossRef]
- Illias, H.A.; Chen, G.; Lewin, P.L. Measurement and Modelling of Partial Discharge Behaviour in a Spherical Cavity within a Solid Dielectric Material as a Function of Applied Voltage Amplitude. In Proceedings of the 2010 International Conference on High Voltage Engineering and Application, New Orleans, LA, USA, 11–14 October 2010; pp. 441–444. [Google Scholar]
- Illias, H.; Chen, G.; Lewin, P.L. Partial Discharge Behavior within a Spherical Cavity in a Solid Dielectric Material as a Function of Frequency and Amplitude of the Applied Voltage. IEEE Trans. Dielectr. Electr. Insul. 2011, 18, 432–443. [Google Scholar] [CrossRef]
- Rodríguez-Serna, J.M.; Albarracín-Sánchez, R.; Mas’ud, A.A. Finite-Element-Analysis Models for Numerical Simulation of Partial Discharges in Spherical Cavities within Solid Dielectrics: A Review and a Novel Method. High Volt. 2020, 5, 556–568. [Google Scholar] [CrossRef]
- Pan, C.; Chen, G.; Tang, J.; Wu, K. Numerical Modeling of Partial Discharges in a Solid Dielectric-Bounded Cavity: A Review. IEEE Trans. Dielectr. Electr. Insul. 2019, 26, 981–1000. [Google Scholar] [CrossRef]
- Rodríguez-Serna, J.M.; Albarracín-Sánchez, R.; Carrillo, I. An Improved Physical-Stochastic Model for Simulating Electrical Tree Propagation in Solid Polymeric Dielectrics. Polymers 2020, 12, 1768. [Google Scholar] [CrossRef] [PubMed]
- Tanaka, T. Internal Partial Discharge and Material Degradation. IEEE Trans. Electr. Insul. 1986, EI-21, 899–905. [Google Scholar] [CrossRef]
- Tanmaneeprasert, T.; Lewin, P.L. Investigation into Accelerated Ageing and Failure Mechanisms of Cavities in Polyethylene Materials Using Partial Discharge Techniques. In Proceedings of the 2016 International Conference on Condition Monitoring and Diagnosis (CMD), Xi’an, China, 25–28 September 2016; pp. 819–823. [Google Scholar]
- Shibuya, Y.; Zoledziowski, S.; Calderwood, J.H. Void Formation and Electrical Breakdown in Epoxy Resin. IEEE Trans. Power Appar. Syst. 1977, 96, 198–207. [Google Scholar] [CrossRef]
- Rodríguez-Serna, J.M.; Albarracín-Sánchez, R. Numerical Simulation of Temperature and Pressure Changes Due to Partial Discharges in Spherical Cavities Within Solid Dielectrics at Different Ageing Conditions. Energies 2019, 12, 4771. [Google Scholar] [CrossRef]
- Kurrat, M. Energy Consideration for Partial Discharges in Voids. Eur. Trans. Elect. Power 1992, 2, 39–44. [Google Scholar] [CrossRef]
- Uchida, K.; Asai, H.; Shimizu, N.; Takahashi, T. Initiation Mechanism of Electrical Tree and Deteriorated Region in Polymers. In Proceedings of the 3rd International Conference on Properties and Applications of Dielectric Materials, Tokyo, Japan, 8–12 July 1991; Volume 1, pp. 240–243. [Google Scholar]
- Danikas, M.G.; Adamidis, G. Partial Discharges in Epoxy Resin Voids and the Interpretational Possibilities and Limitations of Pedersen’s Model. Elect. Eng. 1997, 80, 105–110. [Google Scholar] [CrossRef]
- Hudon, C.; Bartnikas, R. Surface and Gas Phase Reactions Arising with Epoxy Exposed to Partial Discharges. In Proceedings of the 1992 Annual Report: Conference on Electrical Insulation and Dielectric Phenomena, Victoria, BC, Canada, 18–21 October 1992; pp. 725–734. [Google Scholar]
- Holboll, J.T.; Henriksen, M. Partial Discharge Patterns Related to Surface Deterioration in Voids in Epoxy. In Proceedings of the IEEE International Symposium on Electrical Insulation, Toronto, ON, Canada, 3–6 June 1990; pp. 115–119. [Google Scholar]
- Rodríguez-Serna, J.M.; Albarracín-Sánchez, R. Improved Deterministic and Stochastic Models for Simulating Partial Discharges in Non-Conducting Trees inside Solid Dielectrics. High Volt. 2020. [Google Scholar] [CrossRef]
- Holboll, J.T.; Henriksen, M. Partial Discharge Patterns and Surface Deterioration in Voids in Filled and Unfilled Epoxy. In Proceedings of the Conference Record of the 1992 IEEE International Symposium on Electrical Insulation, Baltimore, MD, USA, 7–10 June 1992; pp. 354–358. [Google Scholar]
- Mauoux, C.; Laurent, C. Contribution of Partial Discharges to Electrical Breakdown of Solid Insulating Materials. IEEE Trans. Dielectr. Electr. Insul. 1995, 2, 641–652. [Google Scholar] [CrossRef]
- Chang, C.; Bai, T.; Lewin, P.L.; Morshuis, P.H.F.; Pilgrim, J.A.; Cavallini, A.; Vaughan, A.S.; Montanari, G.C.; Serra, S. Developing an Experimental Method for a Cavity PD Based Life Model. In Proceedings of the 2013 IEEE International Conference on Solid Dielectrics (ICSD), Bologna, Italy, 30 June–4 July 2013; pp. 780–783. [Google Scholar]
- Laurent, C.; Mayoux, C. Partial Discharge. XI. Limitations to PD as a Diagnostic for Deterioration and Remaining Life. IEEE Electr. Insul. Mag. 1992, 8, 14–17. [Google Scholar] [CrossRef]
- Morshuis, P.H.F. Partial Discharge Mechanisms in Voids Related to Dielectric Degradation. IEE Proc. Sci. Meas. Technol. 1995, 142, 62–68. [Google Scholar] [CrossRef]
- Montanari, G.C. Notes on Theoretical and Practical Aspects of Polymeric Insulation Aging. IEEE Electr. Insul. Mag. 2013, 29, 34–44. [Google Scholar] [CrossRef]
- Mazzanti, G.; Montanari, G.C.; Serra, S. Aging Model of Polyethylene-Based Materials for HV Cables Founded on Damage Inception and Growth from Air-Filled Voids. In Proceedings of the 2004 IEEE International Conference on Solid Dielectrics, 2004 (ICSD 2004), Toulouse, France, 5–9 July 2004; Volume 2, pp. 525–529. [Google Scholar]
- Rodríguez-Serna, J.M.; Albarracín-Sánchez, R.; Garnacho, F.; Álvarez, F.; Ortego, J. Partial Discharges Measurements for Condition Monitoring and Diagnosis of Power Transformers: A Review. In Proceedings of the 2019 6th International Advanced Research Workshop on Transformers (ARWtr), Cordoba, Spain, 7–9 October 2019; pp. 83–88. [Google Scholar]
- Borghei, M.; Ghassemi, M.; Rodriguez-Serna, J.M.; Albarracin, R. A Finite-Element-Analysis and an Improved Induced Charge Concept for Partial Discharge Modeling. IEEE Trans. Power Deliv. 2020. [Google Scholar] [CrossRef]
- Tanmaneeprasert, T.; Lewin, P.L.; Callender, G. Measuring and Simulating Partial Discharge Activity in a Spherical Cavity during Electrical Ageing Processes. In Proceedings of the 2018 IEEE 2nd International Conference on Dielectrics (ICD), Budapest, Hungary, 1–5 July 2018; pp. 1–4. [Google Scholar]
- Sanche, L. Nanoscopic Aspects of Electronic Aging in Dielectrics. IEEE Trans. Dielectr. Electr. Insul. 1997, 4, 507–543. [Google Scholar] [CrossRef]
- Lv, Z.; Rowland, S.M.; Chen, S.; Zheng, H.; Iddrissu, I. Evolution of Partial Discharges during Early Tree Propagation in Epoxy Resin. IEEE Trans. Dielectr. Electr. Insul. 2017, 24, 2995–3003. [Google Scholar] [CrossRef]
- Vincenti, W.G.; Kruger, C.H. Introduction to Physical Gas Dynamics, 2nd ed.; Krieger Pub Co.: Malabar, FL, USA, 1975; ISBN 978-0-88275-309-6. [Google Scholar]
- Kuffel, E.; Zaengl, W.S.; Kuffel, J. High Voltage Engineering Fundamentals, 2nd ed.; Elsevier: Oxford, UK, 2000; ISBN 978-0-7506-3634-6. [Google Scholar]
- Serra, S.; Montanari, G.C.; Mazzanti, G. Theory of Inception Mechanism and Growth of Defect-Induced Damage in Polyethylene Cable Insulation. J. Appl. Phys. 2005, 98, 034102. [Google Scholar] [CrossRef]
- Bahder, G.; Garrity, T.; Sosnowski, M.; Eaton, R.; Katz, C. Physical Model of Electric Aging and Breakdown of Extruded Polymeric Insulated Power Cables. IEEE Trans. Power Appar. Syst. 1982, PAS-101, 1379–1390. [Google Scholar] [CrossRef]
- Dissado, L.A.; Sweeney, P.J.J. Physical Model for Breakdown Structures in Solid Dielectrics. Phys. Rev. B 1993, 48, 16261–16268. [Google Scholar] [CrossRef]
- Noto, F.; Yoshimura, N. Voltage and Frequency Dependence of Tree Growth in Polyethylene. In Proceedings of the Conference on Electrical Insulation Dielectric Phenomena—Annual Report 1974, Downingtown, PA, USA, 21–23 October 1974; pp. 207–217. [Google Scholar]
- Fothergill, J.C.; Dissado, L.A.; Sweeney, P.J.J. A Discharge-Avalanche Theory for the Propagation of Electrical Trees. A Physical Basis for Their Voltage Dependence. IEEE Trans. Dielectr. Electr. Insul. 1994, 1, 474–486. [Google Scholar] [CrossRef]
- McAllister, I.W. Decay of Charge Deposited on the Wall of Gaseous Void. IEEE Trans. Electr. Insul. 1992, 27, 1202–1207. [Google Scholar] [CrossRef]
- Forssén, C. Modelling of Cavity Partial Discharges at Variable Applied Frequency. Ph.D. Thesis, KTH Royal Institute of Technology, Stockholm, Sweden, 2008. [Google Scholar]
- Brown, M.A.; Champion, J.V.; Dodd, S.J.; Mudge, P. An Investigation of Partial Discharge Energy Dissipation and Electrical Tree Growth in an Epoxy Resin. In Proceedings of the 2004 IEEE International Conference on Solid Dielectrics 2004 (ICSD 2004), Toulouse, France, 5–9 July 2004; Volume 1, pp. 288–291. [Google Scholar]
- Lawless, J. Statistical Models and Methods for Lifetime Data, 2nd ed.; Wiley: Hoboken, NJ, USA, 2011; ISBN 978-1-118-03125-4. [Google Scholar]
- Mas’ud, A.A.; Albarracín, R.; Ardila-Rey, J.A.; Muhammad-Sukki, F.; Illias, H.A.; Bani, N.A.; Munir, A.B. Artificial Neural Network Application for Partial Discharge Recognition: Survey and Future Directions. Energies 2016, 9, 574. [Google Scholar] [CrossRef]










| Case Study | Material | Cavity Gas | Cavity Radius, a [mm] | Electric Stress |
|---|---|---|---|---|
| 1 | Epoxy resin, EP 100 (Araldite D/HY 956) | Air (2–65 kPa, 300 K) | 1.25 | AC, 50 Hz, 19.25 kV, D = 3.50 mm |
| 2 | Epoxy resin, Araldite Rapid | Air (77 kPa, 293 K) | 0.70 | AC, 50 Hz, 14 kV–20 kV, D = 2 mm |
| 3 | Epoxy resin, Araldite Rapid | Air (101 kPa, 293 K) | 0.78 | AC, 1 Hz–50 Hz, 14 kV, D = 2 mm |
| Ageing Phase | A | B | C | D | E |
|---|---|---|---|---|---|
| 11.99 | 11.01 | 64 | 0.06 | 5.15 | |
| 10–14 | ~11.60 | ~60 | 0.06 | ~6 | |
| (%) | 14.29 | 5.05 | 6.67 | 0 | 14.23 |
| (pC) | 834.09 | 848.23 | 177.14 | 2978.90 | 1407.60 |
| (pC) | 850.91 | 2050.70 | 205.18 | 5660.90 | 3859.20 |
| (pC) | 529.58 | 538.56 | 112.47 | 1891.40 | 893.72 |
| (pC) | 540.26 | 1302 | 130.30 | 3594.20 | 2450.30 |
| (h) | 3.83 × 104 | 1.86 × 104 | Inf. | 1433.75 | 184.63 |
| Ageing Phase | A | B | C | D | E |
|---|---|---|---|---|---|
| (h) | 0.17 | 35 | 150 | 1049.83 | 50 |
| (h) | 3.83 × 104 (3.83 × 104–3.83 × 104) | 2.06 × 104 (1.98 × 104–2.15 × 104) | Inf. | 2082.86 (1760.11–2464.83) | 225.93 (216.46–235.81) |
| Inf. | 8.89 (6.81–11.62) | — | 2.26 (1.72–2.95) | 8.88 (6.85–11.53) | |
| (h) | 3.83 × 104 | 2.47 × 104 | Inf. | 3566.67 | 273.18 |
| (h) | 3.83 × 104 | 1.38 × 104 | Inf. | 708.78 | 179.99 |
| Applied Voltage Magnitude (kV) | 14 | 16 | 18 | 20 |
|---|---|---|---|---|
| 2.58 | 4.15 | 5.66 | 7.27 | |
| (pC) | 768.38 | 678.11 | 594.85 | 523.46 |
| (pC) | 876.89 | 726.60 | 642.64 | 573.07 |
| (h) | 10.62 | 7.17 | 6.11 | 5.81 |
| Applied Voltage Magnitude (kV) | 14 | 16 | 18 | 20 |
|---|---|---|---|---|
| (h) | 11.23 (11.07–11.40) | 7.16 (7.10–7.22) | 5.98 (5.94–6.02) | 5.60 (5.55–5.65) |
| 25.39 (19.41–33.21) | 45.35 (35.12–58.56) | 53.53 (40.64–70.52) | 46.58 (35.95–60.37) | |
| (h) | 10.13 | 6.69 | 5.63 | 5.36 |
| (h) | 11.92 | 7.45 | 6.11 | 5.81 |
| Applied Voltage Frequency (Hz) | 1 | 5 | 10 | 20 | 50 |
|---|---|---|---|---|---|
| 2.17 | 2.83 | 3.20 | 3.49 | 5.26 | |
| (pC) | 1296.70 | 1198.70 | 1082.16 | 1066.36 | 753.38 |
| (pC) | 1279.20 | 1214.50 | 1092.50 | 992.86 | 687.18 |
| (h) | 561.42 | 114.36 | 57.49 | 27.33 | 25.20 |
| Applied Voltage Frequency (Hz) | 1 | 5 | 10 | 20 | 50 |
|---|---|---|---|---|---|
| (h) | 610.44 (599.56–621.56) | 113.57 (111.16–116.04) | 54.03 (53.29–54.79) | 28.07 (27.73–28.41) | 24.68 (24.34–25.02) |
| 21.08 (16.14–27.53) | 17.72 (13.78–22.79) | 27.53 (21.50–35.24) | 31.29 (23.94–40.89) | 27.46 (20.99–35.92) | |
| (h) | 538.83 | 100.59 | 50.53 | 26.03 | 21.78 |
| (h) | 658.69 | 124.50 | 57.58 | 29.50 | 26.18 |
Publisher’s Note: MDPI stays neutral with regard to jurisdictional claims in published maps and institutional affiliations. |
© 2021 by the authors. Licensee MDPI, Basel, Switzerland. This article is an open access article distributed under the terms and conditions of the Creative Commons Attribution (CC BY) license (http://creativecommons.org/licenses/by/4.0/).
Share and Cite
Rodríguez-Serna, J.M.; Albarracín-Sánchez, R. A Study on the Life Estimation and Cavity Surface Degradation Due to Partial Discharges in Spherical Cavities within Solid Polymeric Dielectrics Using a Simulation Based Approach. Polymers 2021, 13, 324. https://doi.org/10.3390/polym13030324
Rodríguez-Serna JM, Albarracín-Sánchez R. A Study on the Life Estimation and Cavity Surface Degradation Due to Partial Discharges in Spherical Cavities within Solid Polymeric Dielectrics Using a Simulation Based Approach. Polymers. 2021; 13(3):324. https://doi.org/10.3390/polym13030324
Chicago/Turabian StyleRodríguez-Serna, Johnatan M., and Ricardo Albarracín-Sánchez. 2021. "A Study on the Life Estimation and Cavity Surface Degradation Due to Partial Discharges in Spherical Cavities within Solid Polymeric Dielectrics Using a Simulation Based Approach" Polymers 13, no. 3: 324. https://doi.org/10.3390/polym13030324
APA StyleRodríguez-Serna, J. M., & Albarracín-Sánchez, R. (2021). A Study on the Life Estimation and Cavity Surface Degradation Due to Partial Discharges in Spherical Cavities within Solid Polymeric Dielectrics Using a Simulation Based Approach. Polymers, 13(3), 324. https://doi.org/10.3390/polym13030324

