Icephobic Performance of Combined Fluorine-Containing Composite Layers on Al-Mg-Mn–Si Alloy Surface
Abstract
:1. Introduction
2. Materials and Methods
2.1. Samples
2.2. PEO Processing
2.3. Formation of Polymer-Containing Layers
2.4. Surface Characterization
2.5. Wettability Measurements
2.6. Localized Electrochemical Studies
2.7. Conventional Electrochemical Measurements
2.8. Ice Adhesion Tests
3. Results and Discussion
4. Conclusions
- The dip-coating method of formation of PVDF-containing layers allowed us to increase the uniformity of PEO coating surface relief, electrochemical properties and wettability. However, due to the absence of surface relief multimodality, the contact angle for these coatings attained 100.5° ± 1.8°, which did not allow us to classify the coating as superhydrophobic. Despite this, the formation of CC-PVDF coatings led to a fourfold decrease in ice pull adhesion strength (in comparison with the base PEO layer). This is probably explained by a significant reduction in surface roughness.
- The treatment of a PEO layer with SPTFE solution also resulted in a decrease in the number of pores and microdefects. The formation of a fluoropolymer layer led to advanced corrosion resistance and a decrease in wettability of the surface layer. The reduction in the pull ice adhesion strength of CC-SPTFE was 6 times, compared to the PEO-coating.
- The coatings obtained by combined PVDF–SPFTE treatment using a dip-coating method had the best wetting and corrosion resistance and icephobic properties. The pull ice adhesion strength of the combined coating was 22.1 times greater than that of the PEO layer.
- The data of SVET/SIET local scanning measurements indicated high protective properties of the CC-PVDF, CC-SPTFE and PVDF–SPFTE composite coatings. During the local studies, the formation of any pittings or defects was not detected.
Author Contributions
Funding
Institutional Review Board Statement
Informed Consent Statement
Data Availability Statement
Conflicts of Interest
References
- Shen, Y.; Wu, X.; Tao, J.; Zhu, C.; Lai, Y.; Chen, Z. Icephobic materials: Fundamentals, performance evaluation, and applications. Prog. Mater. Sci. 2019, 103, 509–557. [Google Scholar] [CrossRef]
- Choudhari, K.S.; Kulkarni, S.D.; Chidangil, S.; George, S.D. Facile one-step fabrication of super-repellent nanoporous anodic alumina using a non-fluorinated approach. Bull. Mater. Sci. 2020, 43, 193. [Google Scholar]
- Gao, H.T.; Jian, Y.M.; Yan, Y.Y. The effects of bio-inspired micro/nano scale structures on anti-icing properties. Soft Matter. 2021, 17, 447–466. [Google Scholar] [CrossRef] [PubMed]
- Fang, X.Z.; Liu, Y.F.; Lei, S.; Ou, J.F. Superhydrophobic Hair-Like Nanowire Membrane for the Highly Efficient Separation of Oil/Water Mixtures. J. Nanomater. 2020, 2020, 8540580. [Google Scholar] [CrossRef]
- Sojoudi, H.; Wang, M.; Boscher, N.D.; McKinley, G.H.; Gleason, K.K. Durable and scalable icephobic surfaces: Similarities and distinctions from superhydrophobic surfaces. Soft Matter 2016, 12, 1938–1963. [Google Scholar] [PubMed] [Green Version]
- Kulinich, S.A.; Farzaneh, M. How wetting hysteresis influences ice adhesion strength on superhydrophobic surfaces. Langmuir 2009, 25, 8854–8856. [Google Scholar] [CrossRef]
- Sarkar, D.K.; Farzaneh, M. Superhydrophobic coatings with reduced ice adhesion. J. Adhes. Sci. Technol. 2009, 23, 1215–1237. [Google Scholar]
- Hejazi, V.; Sobolev, K.; Nosonovsky, M. From superhydrophobicity to icephobicity: Forces and interaction analysis. Sci. Rep. 2013, 3, 2194. [Google Scholar] [CrossRef] [Green Version]
- Mishchenko, L.; Hatton, B.; Bahadur, V.; Taylor, J.A.; Krupenkin, T.; Aizenberg, J. Design of ice-free nanostructured surfaces based on repulsion of impacting water droplets. ACS Nano 2010, 4, 7699–7707. [Google Scholar] [CrossRef]
- Tourkine, P.; Le Merrer, M.; Quéré, D. Delayed freezing on water repellent materials. Langmuir 2009, 25, 7214–7216. [Google Scholar] [CrossRef] [PubMed]
- Alizadeh, A.; Yamada, M.; Li, R.; Shang, W.; Otta, S.; Zhong, S.; Ge, L.; Dhinojwala, A.; Conway, K.R.; Bahadur, V.; et al. Dynamics of ice nucleation on water repellent surfaces. Langmuir 2012, 28, 3180–3186. [Google Scholar]
- Saito, H.; Takai, K.I.; Yamauchi, G. A Study on ice adhesiveness to water-repellent coating. Mater. Sci. Res. Int. 1997, 46, 185–189. [Google Scholar] [CrossRef] [Green Version]
- Lin, Y.; Chen, H.; Wang, G.; Liu, A. Recent progress in preparation and anti-icing applications of superhydrophobic coatings. Coatings 2018, 8, 208. [Google Scholar] [CrossRef] [Green Version]
- Schutzius, T.M.; Jung, S.; Maitra, T.; Eberle, P.; Antonini, C.; Stamatopoulos, C.; Poulikakos, D. Physics of icing and rational design of surfaces with extraordinary icephobicity. Langmuir 2015, 31, 4807–4821. [Google Scholar]
- Boinovich, L.B.; Emelyanenko, A.M. Anti-icing potential of superhydrophobic coatings. Mendeleev Commun. 2013, 23, 3–10. [Google Scholar] [CrossRef]
- Antonini, C.; Villa, F.; Bernagozzi, I.; Amirfazli, A.; Marengo, M. Drop rebound after impact: The role of the receding contact angle. Langmuir 2013, 29, 16045–16050. [Google Scholar] [CrossRef] [PubMed]
- Maitra, T.; Tiwari, M.K.; Antonini, C.; Schoch, P.; Jung, S.; Eberle, P.; Poulikakos, D. On the nanoengineering of superhydrophobic and impalement resistant surface textures below the freezing temperature. Nano Lett. 2014, 14, 172–182. [Google Scholar] [CrossRef]
- Gnedenkov, S.V.; Sinebryukhov, S.L.; Egorkin, V.S.; Mashtalyar, D.V.; Emelyanenko, A.M.; Boinovich, L.B. Electrochemical properties of the superhydrophobic coatings on metals and alloys. J. Taiwan Inst. Chem. Eng. 2014, 45, 3075–3080. [Google Scholar] [CrossRef]
- Gnedenkov, S.V.; Sinebryukhov, S.L.; Egorkin, V.S.; Vyaliy, I.E. Wettability and electrochemical properties of the highly hydrophobic coatings on PEO-pretreated aluminum alloy. Surf. Coat. Technol. 2016, 307C, 1241–1248. [Google Scholar] [CrossRef]
- Mashtalyar, D.V.; Nadaraia, K.V.; Sinebryukhov, S.L.; Gnedenkov, S.V. Protective Composite Coatings Formed on Mg Alloy Surface by PEO Using Organofluorine Materials. J. Mater. Sci. Technol. 2017, 33, 661–667. [Google Scholar] [CrossRef]
- Mashtalyar, D.V.; Nadaraia, K.V.; Sinebryukhov, S.L.; Gnedenkov, S.V. Polymer-Containing Layers Formed by PEO and Spray-Coating Method. Mater. Today Proc. 2019, 11, 150–154. [Google Scholar]
- Imshinetsky, I.M.; Mashtalyar, D.V.; Nadaraia, K.V.; Sinebryukhov, S.L.; Gnedenkov, S.V. Fluoropolymer-containing layer formed on MA8 magnesium alloy. Mater. Today Proc. 2019, 19, 1887–1890. [Google Scholar] [CrossRef]
- Gnedenkov, S.V.; Mashtalyar, D.V.; Sinebryukhov, S.L.; Imshinetsky, I.M.; Gnedenkov, A.S. Composite coatings formed on PEO-layers using fluoroparaffin materials. In Proceedings of the International Offshore and Polar Engineering Conference, Honolulu, HI, USA, 16–21 June 2019; pp. 41–48. [Google Scholar]
- McKeen, L.W. The Effect of UV Light and Weather on Plastics and Elastomers, 3rd ed.; William Andrew: Norwich, NY, USA, 2013; p. 400. [Google Scholar]
- Yu, Y.; Chen, L.; Weng, D.; Wang, J.; Chen, C.; Mahmood, A. A promising self-assembly PTFE coating for effective large-scale deicing. Prog. Org. Coat. 2020, 147, 105732. [Google Scholar] [CrossRef]
- Saffar, M.A.; Eshaghi, A.; Dehnavi, M.R. Fabrication of superhydrophobic, self-cleaning and anti-icing ZnO/PTFE-SiO2 nano-composite thin film. Mater. Chem. Phys. 2021, 259, 124085. [Google Scholar]
- Chao, Q.; Meng, L.; Shuxian, C. Anti-Icing Characteristics of PTFE Super Hydrophobic Coating on Titanium Alloy Surface. J. Alloys Compd. 2021, 860, 157907. [Google Scholar] [CrossRef]
- Introduction to Vinylidene Fluoride Polymers. In Introduction to Fluoropolymers; Ebnesajjad, S. (Ed.) William Andrew: Norwich, NY, USA, 2013; pp. 133–148. [Google Scholar]
- Peng, C.; Xing, S.; Yuan, Z.; Xiao, J.; Wang, C.; Zeng, J. Preparation and anti-icing of superhydrophobic PVDF coating on a wind turbine blade. Appl. Surf. Sci. 2012, 259, 764–768. [Google Scholar] [CrossRef]
- Liu, Y.; Tian, Y.; Chen, J.; Gu, H.; Liu, J.; Wang, R.; Zhang, B.; Zhang, H.; Zhang, Q. Design and preparation of bioinspired slippery liquid-infused porous surfaces with anti-icing performance via delayed phase inversion process. Colloids Surf. A Physicochem. Eng. Asp. 2020, 588, 124384. [Google Scholar] [CrossRef]
- Tsvetnikov, A.K. Thermogradient method of synthesis of nano-and microdispersed fluorocarbon materials. Properties and application. Bull. FEBRAS 2009, 2, 18–22. [Google Scholar]
- Egorkin, V.S.; Gnedenkov, S.V.; Sinebryukhov, S.L.; Vyaliy, I.E.; Gnedenkov, A.S.; Chizhikov, R.G. Increasing thickness and protective properties of PEO-coatings on aluminum alloy. Surf. Coat. Technol. 2018, 334, 29–42. [Google Scholar] [CrossRef]
- Gnedenkov, S.V.; Sinebryukhov, S.L.; Mashtalyar, D.V.; Nadaraia, K.V.; Gnedenkov, A.S.; Bouznik, V.M. Composite fluoropolymer coatings on the MA8 magnesium alloy surface. Corros. Sci. 2016, 111, 175–185. [Google Scholar] [CrossRef]
- Minaev, A.N.; Gnedenkov, S.V.; Sinebryukhov, S.L.; Mashtalyar, D.V.; Egorkin, V.S.; Gnedenkov, A.S.; Nadaraia, K.V. Functional plasma electrolytic oxidation coatings for offshore structures. In Proceedings of the International Offshore and Polar Engineering Conference, Busan, Korea, 15 June 2014; pp. 418–422. [Google Scholar]
- Gnedenkov, S.V.; Sinebryukhov, S.L.; Minaev, A.N.; Mashtalyar, D.V.; Egorkin, V.S.; Gnedenkov, A.S.; Nadaraia, K.V. Application of plasma electrolytic oxidation for repair of details of marine technique. In Proceedings of the International Offshore and Polar Engineering Conference, Kona, HI, USA, 21 June 2015; pp. 38–43. [Google Scholar]
- Filonina, V.S.; Nadaraia, K.V.; Mashtalyar, D.V.; Gnedenkov, A.S.; Imshinetsky, I.M.; German, A.P.; Vyaliy, I.E.; Egorkin, V.S.; Minaev, A.N.; Sinebryukhov, S.L.; et al. Formation of protective coatings on amg3 aluminum alloy using fluoropolymer nanopowder. Solid State Phenom. 2020, 312, 330–334. [Google Scholar] [CrossRef]
- KRÜSS Advancing Your Surface Science. Available online: https://www.kruss-scientific.com/en/products-services/products/dsa100b (accessed on 27 October 2021).
- Li, D.; Neumann, A.W. Contact angles on hydrophobic solid surfaces and their interpretation. J. Colloid Interface Sci. 1992, 148, 190–200. [Google Scholar] [CrossRef]
- Emel’yanenko, A.M.; Boinovich, L.B. The Use of Digital Processing of Video Images for Determining Parameters of Sessile and Pendant Droplets. Colloid J. 2001, 63, 159–172. [Google Scholar] [CrossRef]
- Gnedenkov, A.S.; Mei, D.; Lamaka, S.V.; Sinebryukhov, S.L.; Mashtalyar, D.V.; Vyaliy, I.E.; Zheludkevich, M.L.; Gnedenkov, S.V. Localized currents and pH distribution studied during corrosion of MA8 Mg alloy in the cell culture medium. Corros. Sci. 2020, 170, 108689. [Google Scholar] [CrossRef]
- Lamaka, S.V.; Taryba, M.; Montemor, M.F.; Isaacs, H.S.; Ferreira, M.G.S. Quasi-simultaneous measurements of ionic currents by vibrating probe and pH distribution by ion-selective microelectrode. Electrochem. Commun. 2011, 13, 20–23. [Google Scholar] [CrossRef]
- Lamaka, S.V.; Gonzalez, J.; Mei, D.; Feyerabend, F.; Willumeit-Römer, R.; Zheludkevich, M.L. Local pH and Its Evolution Near Mg Alloy Surfaces Exposed to Simulated Body Fluids. Adv. Mater. Interfaces 2018, 5, 1800169. [Google Scholar] [CrossRef]







| Sample | CA, ° | RA, ° |
|---|---|---|
| PEO | 28.3 ± 1.2 | – |
| PEO–SPTFE | 130.5 ± 2.1 | – |
| PEO–PVDF | 100.5 ± 1.8 | – |
| PVDF–SPTFE 1:1 | 110.7 ± 0.5 | – |
| PVDF–SPTFE 1:2 | 116.3 ± 0.7 | – |
| PVDF–SPTFE 1:3 | 132.1 ± 1.7 | – |
| PVDF–SPTFE 1:4 | 160.5 ± 3.8 | 6.3 ± 0.7 |
| PVDF–SPTFE 1:5 | 155.0 ± 1.5 | 8.3 ± 0.6 |
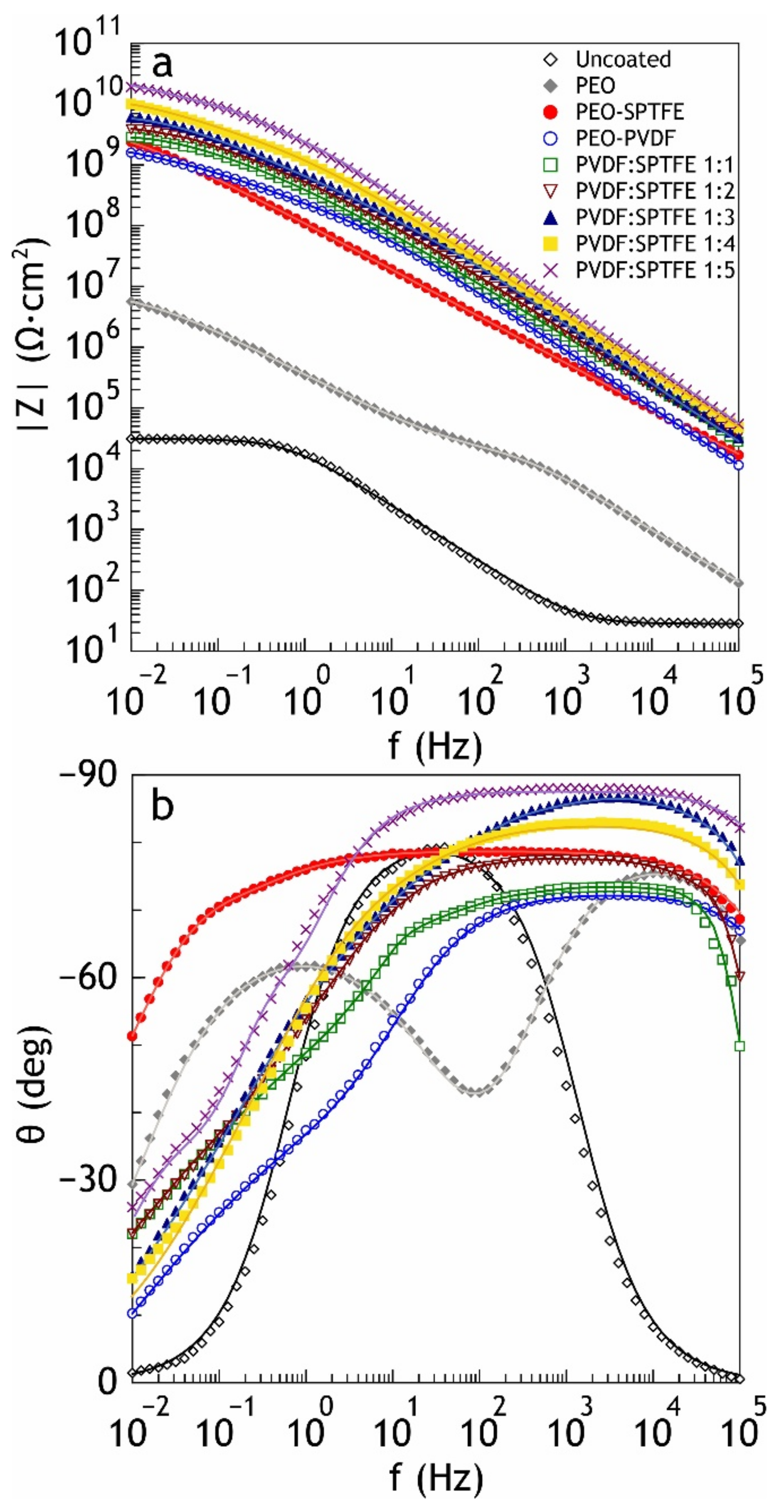
| Sample | Ec [V vs. Ag/AgCl] | Ic [A·cm−2] | Rp [Ω·cm2] | |Z|f = 0.01 Hz [Ω·cm2] |
|---|---|---|---|---|
| Uncoated | −0.67 | 1.1 × 10−6 | 2.4 × 104 | 2.9 × 104 |
| PEO | −0.87 | 8.4 × 10−8 | 1.9 × 105 | 5.6 × 106 |
| PEO–SPTFE | −0.87 | 6.2 × 10−11 | 3.8 × 109 | 2.2 × 109 |
| PEO–PVDF | −0.82 | 8.1 × 10−11 | 3.2 × 109 | 1.9 × 109 |
| PVDF–SPTFE 1:1 | −0.53 | 7.2 × 10−11 | 2.7 × 109 | 3.0 × 109 |
| PVDF–SPTFE 1:2 | −0.57 | 5.6 × 10−11 | 8.8 × 109 | 3.9 × 109 |
| PVDF–SPTFE 1:3 | −0.57 | 1.5 × 10−11 | 1.7 × 1010 | 5.9 × 109 |
| PVDF–SPTFE 1:4 | −0.57 | 8.9 × 10−12 | 3.7 × 1010 | 1.1 × 1010 |
| PVDF–SPTFE 1:5 | −0.59 | 7.5 × 10−12 | 3.9 × 1010 | 2.0 × 1010 |
Publisher’s Note: MDPI stays neutral with regard to jurisdictional claims in published maps and institutional affiliations. |
© 2021 by the authors. Licensee MDPI, Basel, Switzerland. This article is an open access article distributed under the terms and conditions of the Creative Commons Attribution (CC BY) license (https://creativecommons.org/licenses/by/4.0/).
Share and Cite
Egorkin, V.S.; Mashtalyar, D.V.; Gnedenkov, A.S.; Filonina, V.S.; Vyaliy, I.E.; Nadaraia, K.V.; Imshinetskiy, I.M.; Belov, E.A.; Izotov, N.V.; Sinebryukhov, S.L.; et al. Icephobic Performance of Combined Fluorine-Containing Composite Layers on Al-Mg-Mn–Si Alloy Surface. Polymers 2021, 13, 3827. https://doi.org/10.3390/polym13213827
Egorkin VS, Mashtalyar DV, Gnedenkov AS, Filonina VS, Vyaliy IE, Nadaraia KV, Imshinetskiy IM, Belov EA, Izotov NV, Sinebryukhov SL, et al. Icephobic Performance of Combined Fluorine-Containing Composite Layers on Al-Mg-Mn–Si Alloy Surface. Polymers. 2021; 13(21):3827. https://doi.org/10.3390/polym13213827
Chicago/Turabian StyleEgorkin, Vladimir S., Dmitry V. Mashtalyar, Andrey S. Gnedenkov, Valeriia S. Filonina, Igor E. Vyaliy, Konstantine V. Nadaraia, Igor M. Imshinetskiy, Evgeny A. Belov, Nikolaj V. Izotov, Sergey L. Sinebryukhov, and et al. 2021. "Icephobic Performance of Combined Fluorine-Containing Composite Layers on Al-Mg-Mn–Si Alloy Surface" Polymers 13, no. 21: 3827. https://doi.org/10.3390/polym13213827
APA StyleEgorkin, V. S., Mashtalyar, D. V., Gnedenkov, A. S., Filonina, V. S., Vyaliy, I. E., Nadaraia, K. V., Imshinetskiy, I. M., Belov, E. A., Izotov, N. V., Sinebryukhov, S. L., & Gnedenkov, S. V. (2021). Icephobic Performance of Combined Fluorine-Containing Composite Layers on Al-Mg-Mn–Si Alloy Surface. Polymers, 13(21), 3827. https://doi.org/10.3390/polym13213827

