Oxidative Depolymerization of Alkaline Lignin from Pinus Pinaster by Oxygen and Air for Value-Added Bio-Sourced Synthons
Abstract
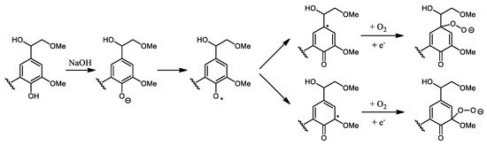
:1. Introduction
2. Materials and Methods
2.1. Materials
2.2. Lignins Oxidative Depolymerization Procedure
2.3. Purification Procedure
2.4. Lignin Characterizations
2.5. Instruments Methods
3. Results and Discussion
3.1. Characteristics of Technical Lignins
3.2. Influence of O2 Pressure on the Oxidative Depolymerization of Alkaline Lignin
3.3. Influence of Temperature on the Oxidative Depolymerization of Alkaline Lignin
3.4. Oxidative Depolymerization of Alkaline Lignin with Air
4. Conclusions
Supplementary Materials
Author Contributions
Funding
Institutional Review Board Statement
Informed Consent Statement
Data Availability Statement
Acknowledgments
Conflicts of Interest
References
- Gellerstedt, G.; Henriksson, G. Chapter 9—Lignins: Major Sources, Structure and Properties. In Monomers, Polymers and Composites from Renewable Resources; Belgacem, M.N., Gandini, A., Eds.; Elsevier: Amsterdam, The Netherlands, 2008; pp. 201–224. [Google Scholar] [CrossRef]
- Kalami, S.; Arefmanesh, M.; Master, E.; Nejad, M. Replacing 100% of phenol in phenolic adhesive formulations with lignin. J. Appl. Polym. Sci. 2017, 134, 45124. [Google Scholar] [CrossRef] [Green Version]
- Villar, J.C.; Caperos, A.; García-Ochoa, F. Oxidation of hardwood kraft-lignin to phenolic derivatives with oxygen as oxidant. Wood Sci. Technol. 2001, 35, 245–255. [Google Scholar] [CrossRef]
- Rinaldi, R.; Jastrzebski, R.; Clough, M.T.; Ralph, J.; Kennema, M.; Bruijnincx, P.C.A.; Weckhuysen, B.M. Paving the Way for Lignin Valorisation: Recent Advances in Bioengineering, Biorefining and Catalysis. Angew. Chem. Int. Ed. 2016, 55, 8164–8215. [Google Scholar] [CrossRef] [Green Version]
- Sixta, H. (Ed.) The History of Papermaking. In Handbook of Pulp; Wiley-VCH: Weinheim, Gemany, 2006; Volume 1, ISBN 978-3-527-30999-3. [Google Scholar] [CrossRef]
- Behling, B.; Valange, S.; Chatel, G. Heterogeneous catalytic oxidation for lignin valorization into valuable chemicals: What results? What limitations? What trends? Green Chem. 2016, 18, 1839–1854. [Google Scholar] [CrossRef]
- Sun, Y.; Argyropoulos, D.S. A Comparison of the reactivity and efficiency of ozone, chlorine dioxide, dimethyldioxirane and hydrogen peroxide with residual kraft lignin. Holzforschung 1996, 50, 175–182. [Google Scholar] [CrossRef]
- Bjørsvik, H.R.; Minisci, F. Fine Chemicals from Lignosulfonates. 1. Synthesis of Vanillin by Oxidation of Lignosulfonates. Org. Process Res. Dev. 1999, 3, 330–340. [Google Scholar] [CrossRef]
- Da Silva, E.A.B.; Zabkova, M.; Araújo Cateto, C.A.; Barreiro, M.F.; Belgacem, M.N.; Rodrigues, A.E. An integrated process to produce vanillin and lignin-based polyurethanes from Kraft lignin. Chem. Eng. Res. Des. 2009, 87, 1276–1292. [Google Scholar] [CrossRef]
- Fache, M.; Boutevin, B.; Caillol, S. Vanillin Production from Lignin and Its Use as a Renewable Chemical. ACS Sustain. Chem. Eng. 2016, 4, 35–46. [Google Scholar] [CrossRef]
- Balakshin, M.; Capanema, E.; Berlin, A. Chapter 4—Isolation and Analysis of Lignin–Carbohydrate Complexes Preparations with Traditional and Advanced Methods: A Review. In Studies in Natural Products Chemistry; Atta-ur-Rahman, Ed.; Elsevier: Amsterdam, The Netherlands, 2014; pp. 83–115. [Google Scholar] [CrossRef]
- Cao, L.; Yu, I.K.M.; Liu, Y.; Ruan, X.; Tsang, D.C.W.; Hunt, A.J.; Ok, Y.S.; Song, H.; Zhang, S. Lignin valorization for the production of renewable chemicals: State-of-the-art review and future prospects. Bioresour. Technol. 2018, 269, 465–475. [Google Scholar] [CrossRef]
- Kalliola, A.; Vehmas, T.; Liitiä, T.; Tamminen, T. Alkali-O2 oxidized lignin—A bio-based concrete plasticizer. Ind. Crop. Prod. 2015, 74, 150–157. [Google Scholar] [CrossRef]
- Kurańska, M.; Pinto, J.A.; Salach, K.; Barreiro, M.F.; Prociak, A. Synthesis of thermal insulating polyurethane foams from lignin and rapeseed based polyols: A comparative study. Ind. Crop. Prod. 2020, 143, 111882. [Google Scholar] [CrossRef]
- Maekawa, E.; Ichizawa, T.; Koshijima, T. An Evaluation of the Acid-Soluble Lignin Determination in Analyses of Lignin by the Sulfuric Acid Method. J. Wood Chem. Technol. 1989, 9, 549–567. [Google Scholar] [CrossRef]
- Sluiter, A.; Hames, B.; Ruiz, R.O.; Scarlata, C.; Sluiter, J.; Templeton, D. Determination of Ash in Biomass; Technical Report; National Renewable Energy Laboratory: Golden, CO, USA, 2008; pp. 1–6.
- Dence, C.W. The Determination of Lignin. In Methods in Lignin Chemistry, Springer Series in Wood Science; Lin, S.Y., Dence Carlton, W., Eds.; Springer: Berlin/Heidelberg, Germany, 1992; pp. 33–61. [Google Scholar] [CrossRef]
- Nada, A.M.A.; El-Diwany, A.I.; Elshafei, A.M. Infrared and antimicrobial studies on different lignins. Acta Biotechnol. 1989, 9, 295–298. [Google Scholar] [CrossRef]
- Granata, A.; Argyropoulos, D.S. 2-Chloro-4,4,5,5-Tetramethyl-1,3,2-Dioxaphospholane, a Reagent for the Accurate Determination of the Uncondensed and Condensed Phenolic Moieties in Lignins. J. Agric. Food Chem. 1995, 43, 1538–1544. [Google Scholar] [CrossRef]
- Sadeghifar, H.; Cui, C.; Argyropoulos, D.S. Toward Thermoplastic Lignin Polymers. Part 1. Selective Masking of Phenolic Hydroxyl Groups in Kraft Lignins via Methylation and Oxypropylation Chemistries. Ind. Eng. Chem. Res. 2012, 51, 16713–16720. [Google Scholar] [CrossRef]
- Rencoret, J.; Marques, G.; Gutiérrez, A.; Nieto, L.; Santos, J.; Jiménez-Barbero, J.; Martinez, A.T.; del Río, J. HSQC-NMR analysis of lignin in woody (Eucalyptus globulus and Picea abies) and non-woody (Agave sisalana) ball-milled plant materials at the gel state 10(th) EWLP, Stockholm, Sweden, August 25–28, 2008. Holzforschung 2008, 63, 691–698. [Google Scholar] [CrossRef]
- Wu, M.; Pang, J.; Lu, F.; Zhang, X.; Che, L.; Xu, F.; Sun, R. Application of new expansion pretreatment method on agricultural waste. Part I: Influence of pretreatment on the properties of lignin. Ind. Crop. Prod. 2013, 50, 887–895. [Google Scholar] [CrossRef]
- Yuan, T.-Q.; Sun, S.-N.; Xu, F.; Sun, R.-C. Characterization of Lignin Structures and Lignin–Carbohydrate Complex (LCC) Linkages by Quantitative 13C and 2D HSQC NMR Spectroscopy. J. Agric. Food Chem. 2011, 59, 10604–10614. [Google Scholar] [CrossRef] [PubMed]
- Gellerstedt, G.; Gosselink, R.; Dam, J.; de Jong, E.; Scott, E.; Sanders, J.; Li, J. Fractionation, analysis, and PCA modeling of properties of four technical lignins for prediction of their application potential in binders. Holzforschung 2010, 64, 193–200. [Google Scholar] [CrossRef]
- Crestini, C.; Lange, H.; Sette, M.; Argyropoulos, D.S. On the structure of soft-wood kraft lignin. Green Chem. 2017, 19, 4104–4121. [Google Scholar] [CrossRef]
- Jafari, V.; Labafzadeh, S.R.; King, A.; Kilpeläinen, I.; Sixta, H.; Van Heiningen, A. Oxygen delignification of conventional and high alkali cooked softwood Kraft pulps, and study of the residual lignin structure. RSC Adv. 2014, 4, 17469–17477. [Google Scholar] [CrossRef]
- Tarabanko, V.E.; Fomova, N.A.; Kuznetsov, B.N.; Ivanchenko, N.M.; Kudryashev, A.V. On the mechanism of vanillin formation in the catalytic oxidation of lignin with oxygen. React. Kinet. Catal. Lett. 1955, 55, 161–170. [Google Scholar] [CrossRef]
- Kadla, J.; Chang, H.; Jameel, H. The Reactions of Lignins with Hydrogen Peroxide at High Temperature. Part I. The Oxidation of Lignin Model Cornpounds. Holzforschung 1997, 51, 428–434. [Google Scholar] [CrossRef]
- Kadla, J.F.; Chang, H. The Reactions of Peroxides with Lignin and Lignin Model Compounds. In Oxidative Delignification Chemistry, ACS Symposium Series; American Chemical Society: Washington, DC, USA, 2001; pp. 108–129. [Google Scholar] [CrossRef]
- Ksenofontova, M.; NMitrofanova, A.; Mamleeva, N.; VLunin, V. The ozonization of sodium lignosulfonate in the presence of hydrogen peroxide. Russ. J. Phys. Chem. 2007, 81, 706–710. [Google Scholar] [CrossRef]
- Zakzeski, J.; Bruijnincx, P.C.A.; Jongerius, A.L.; Weckhuysen, B.M. The Catalytic Valorization of Lignin for the Production of Renewable Chemicals. Chem. Rev. 2010, 110, 3552–3599. [Google Scholar] [CrossRef] [PubMed]
- Kolibaba, T.J.; Stevens, D.L.; Pangburn, S.T.; Condassamy, O.; Camus, M.; Grau, E.; Grunlan, J.C. UV-Protection from Chitosan Derivatized Lignin Multilayer Thin Film. RSC Adv. 2020, 10, 32959–32965. [Google Scholar] [CrossRef]





| LN1 | LN2 | Kraft Lignin * | |
|---|---|---|---|
| Purity (%) (Klason + ASL) | 95 | 97 | 98 |
| Ashes (%) | 1 | 0.5 | 0.5 |
| Mn (g/mol) | 3400 | 3900 | 2000–20,000 |
| Ð | 4.5 | 3.6 | 2–4 |
| Aliphatic OH ratio (mmol/g) | 1.32 | 1.41 | 1.65 |
| Phenolic ratio (mmol/g) | 2.08 | 1.61 | 3.25 |
| COOH ratio (mmol/g) | 0.27 | 0.36 | 0.17 |
| Lignin Fraction | ||||
|---|---|---|---|---|
| O2 Pressure (Bar) | 2 | 5 | 10 | |
| Oxygen Equivalent | 5 | 12 | 24 | |
| Volatile ratio (%) | 0 | 9.7 | 32.3 | |
| Yield (%) | LNP | 69 | 41.3 | 12.2 |
| COOH content (mmol/g) | 1.65 | 2.04 | 2.27 | |
| Mn (g/mol) | 1700 | 1300 | 900 | |
| Ð | 1.9 | 2.5 | 2.4 | |
| Yield (%) | LNW | 31.2 | 49 | 55.5 |
| COOH content (mmol/g) | 0.93 | 1.40 | 1.64 | |
| Mn | 1700 | 3100 | 2000 | |
| Ð | 1.8 | 1.2 | 1.4 |
| Lignin Fraction | |||
|---|---|---|---|
| Temperature | 180 | 120 | |
| Volatile ratio (%) | 32.3 | 1 | |
| Yield (%) | LNP | 12.2 | 37.5 |
| COOH content (mmol/g) | 2.27 | 1.80 | |
| Mn (g/mol) | 900 | 2800 | |
| Ð | 2.4 | 2.1 | |
| Yield (%) | LNW | 55.5 | 59.5 |
| COOH content (mmol/g) | 1.64 | 1.15 | |
| Mn | 2000 | 2200 | |
| Ð | 1.4 | 2.0 |
| Lignin Fraction | |||
|---|---|---|---|
| Lignin sample | LN1 | LN2 | |
| Volatile ratio (%) | 1 | 0 | |
| Yield (%) | LNP | 37.5 | 40 |
| COOH content (mmol/g) | 1.80 | 1.87 | |
| Mn (g/mol) | 2800 | 2200 | |
| Ð | 2.1 | 1.7 | |
| Yield (%) | LNW | 59.5 | 58 |
| COOH content (mmol/g) | 1.15 | 2.76 | |
| Mn (g/mol) | 2200 | 1500 | |
| Ð | 2.0 | 1.5 |
Publisher’s Note: MDPI stays neutral with regard to jurisdictional claims in published maps and institutional affiliations. |
© 2021 by the authors. Licensee MDPI, Basel, Switzerland. This article is an open access article distributed under the terms and conditions of the Creative Commons Attribution (CC BY) license (https://creativecommons.org/licenses/by/4.0/).
Share and Cite
Camus, M.; Condassamy, O.; Ham-Pichavant, F.; Michaud, C.; Mastroianni, S.; Mignani, G.; Grau, E.; Cramail, H.; Grelier, S. Oxidative Depolymerization of Alkaline Lignin from Pinus Pinaster by Oxygen and Air for Value-Added Bio-Sourced Synthons. Polymers 2021, 13, 3725. https://doi.org/10.3390/polym13213725
Camus M, Condassamy O, Ham-Pichavant F, Michaud C, Mastroianni S, Mignani G, Grau E, Cramail H, Grelier S. Oxidative Depolymerization of Alkaline Lignin from Pinus Pinaster by Oxygen and Air for Value-Added Bio-Sourced Synthons. Polymers. 2021; 13(21):3725. https://doi.org/10.3390/polym13213725
Chicago/Turabian StyleCamus, Martin, Olivia Condassamy, Frédérique Ham-Pichavant, Christelle Michaud, Sergio Mastroianni, Gérard Mignani, Etienne Grau, Henri Cramail, and Stéphane Grelier. 2021. "Oxidative Depolymerization of Alkaline Lignin from Pinus Pinaster by Oxygen and Air for Value-Added Bio-Sourced Synthons" Polymers 13, no. 21: 3725. https://doi.org/10.3390/polym13213725
APA StyleCamus, M., Condassamy, O., Ham-Pichavant, F., Michaud, C., Mastroianni, S., Mignani, G., Grau, E., Cramail, H., & Grelier, S. (2021). Oxidative Depolymerization of Alkaline Lignin from Pinus Pinaster by Oxygen and Air for Value-Added Bio-Sourced Synthons. Polymers, 13(21), 3725. https://doi.org/10.3390/polym13213725

