Synthesis and Characterization of Hydrophobically Modified Xylans
Abstract
1. Introduction
2. Materials and Methods
2.1. Materials
2.2. Synthesis of Xylan Derivatives
2.3. Polymer Characterization
3. Results and Discussion
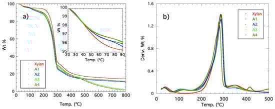
3.1. Reaction of Xylan with AKD
3.2. Reaction of Xylan with OSA
3.3. Reaction of Xylan with TPSA
3.4. SEC Analysis
4. Conclusions
Author Contributions
Funding
Institutional Review Board Statement
Informed Consent Statement
Data Availability Statement
Acknowledgments
Conflicts of Interest
References
- Ebringerová, A. Structural Diversity and Application Potential of Hemicelluloses. Macromol. Symp. 2005, 232, 1–12. [Google Scholar] [CrossRef]
- Deutchmann, R.; Dekker, R.F.H. From plant biomass to bio-based chemicals: Latest developments in xylan research. Biotech. Adv. 2012, 30, 1627–1640. [Google Scholar] [CrossRef] [PubMed]
- Liu, X.; Lin, Q.; Yan, Y.; Peng, F.; Sun, R.; Ren, J. Hemicellulose from Plant Biomass in Medical and Pharmaceutical Application: A Critical Review. Curr. Med. Chem. 2019, 26, 2430–2455. [Google Scholar] [CrossRef] [PubMed]
- Naidu, D.S.; Hlangothi, S.P.; John, M.J. Bio-based products from xylan: A review. Carbohydr. Polym. 2018, 179, 28–41. [Google Scholar] [CrossRef] [PubMed]
- Petzold-Welcke, K.; Schwikal, K.; Daus, S.; Heinze, T. Xylan derivatives and their application potential—Mini-review of own results. Carbohydr. Polym. 2014, 100, 80–88. [Google Scholar] [CrossRef] [PubMed]
- Hansen, N.M.L.; Plackett, D. Sustainable films and coatings from hemicelluloses: A review. Biomacromolecules 2008, 9, 1493–1505. [Google Scholar] [CrossRef] [PubMed]
- Farhat, W.; Venditti, R.A.; Hubbe, M.; Taha, M.; Becquart, F.; Ayoub, A. A Review of Water-Resistant Hemicellulose-Based Materials: Processing and Applications. ChemSusChem 2017, 10, 305–323. [Google Scholar] [CrossRef] [PubMed]
- Glass, J.E. (Ed.) Associative Polymers in Aqueous Media; American Chemical Society Symposium Series 765; American Chemical Society: Washington, DC, USA, 2000. [Google Scholar]
- Panmai, S.; Prud’Homme, R.K.; Peiffer, D.G. Rheology of hydrophobically modified polymers with spherical and rod-like surfactant micelles. Colloids Surf. A Physicochem. Eng. Asp. 1999, 147, 3–15. [Google Scholar] [CrossRef]
- Gu, Q.-M.; Cheng, H.N.; Carey, W.S.; Gelman, R.A.; Rittenhouse-Pruss, J.L.; Doherty, E. Hydrophobically Modified Poly[ethylene glycol] for Use in Pitch and Stickies Control in Pulp and Papermaking Processes. U.S. Patent 8,388,806, 7 February 2008. [Google Scholar]
- Gu, Q.-M.; Lobo, L.A.; Doherty, E.A.S.; Cheng, H.N. Hydrophobically Modified Poly(aminoamides). U.S. Patent 8,506,757, 13 August 2013. [Google Scholar]
- Landoll, L.M. Nonionic polymer surfactants. J. Polym. Sci. Polym. Chem. Ed. 1982, 20, 443–455. [Google Scholar] [CrossRef]
- Tanaka, R.; Meadows, J.; Williams, P.A.; Phillips, G.O. Interaction of hydrophobically modified hydroxyethyl cellulose with various added surfactants. Macromolecules 1992, 25, 1304–1310. [Google Scholar] [CrossRef]
- Cunha, A.G.; Gandini, A. Turning polysaccharides into hydrophobic materials: A critical review. Part 1. Cellulose. Cellulose 2010, 17, 875–889. [Google Scholar] [CrossRef]
- Cunha, A.G.; Gandini, A. Turning polysaccharides into hydrophobic materials: A critical review. Part 2. Hemicelluloses, chitin/chitosan, starch, pectin and alginates. Cellulose 2010, 17, 1045–1065. [Google Scholar] [CrossRef]
- Cheng, H.N.; Gu, Q.-M. Enzyme-Catalyzed Modifications of Polysaccharides and Poly(ethylene glycol). Polymers 2012, 4, 1311–1330. [Google Scholar] [CrossRef]
- Mohan, T.; Rathner, R.; Reishofer, D.; Koller, M.; Elschner, T.; Spirk, S.; Heinze, T.; Stana-Kleinschek, K.; Kargl, R. Designing Hydrophobically Modified Polysaccharide Derivatives for Highly Efficient Enzyme Immobilization. Biomacromolecules 2015, 16, 2403–2411. [Google Scholar] [CrossRef]
- Jung, B.; Shim, M.-K.; Park, M.-J.; Jang, E.H.; Yoon, H.Y.; Kim, H.; Kim, J.-H. Hydrophobically modified polysaccharide-based on polysialic acid nanoparticles as carriers for anticancer drugs. Int. J. Pharm. 2017, 520, 111–118. [Google Scholar] [CrossRef]
- Na, K.; Lee, T.B.; Park, K.-H.; Shin, E.-K.; Lee, Y.-B.; Choi, H.-K. Self-assembled nanoparticles of hydrophobically-modified polysaccharide bearing vitamin H as a targeted anti-cancer drug delivery system. Eur. J. Pharm. Sci. 2003, 18, 165–173. [Google Scholar] [CrossRef]
- Fundador, N.G.V.; Enomoto-Rogers, Y.; Takemura, A.; Iwata, T. Acetylation and characterization of xylan from hardwood kraft pulp. Carbohydr. Polym. 2012, 87, 170–176. [Google Scholar] [CrossRef]
- Ren, J.; Peng, X.; Feng, P.; Sun, R. A new strategy for acid anhydrides-modified xylans in ionic liquids. Fibers Polym. 2013, 14, 16–21. [Google Scholar] [CrossRef]
- Stepan, A.M.; King, A.W.T.; Kakko, T.; Toriz, G.; Kilpeläinen, I.; Gatenholm, P. Fast and highly efficient acetylation of xylans in ionic liquid systems. Cellulose 2013, 20, 2813–2824. [Google Scholar] [CrossRef]
- Ayoub, A.; Venditti, R.A.; Pawlak, J.J.; Sadeghifar, H.; Salam, A. Development of an acetylation reaction of switchgrass hemicellulose in ionic liquid without catalyst. Ind. Crop. Prod. 2013, 44, 306–314. [Google Scholar] [CrossRef]
- Zhang, X.; Zhang, A.; Liu, C.; Ren, J. Per-O-acetylation of xylan at room temperature in dimethylsulfoxide/N-methylimidazole. Cellulose 2016, 23, 2863–2876. [Google Scholar] [CrossRef]
- Biswas, A.; Cheng, H.N.; Appell, M.; Furtado, R.F.; Bastos, M.S.R.; Alves, C.R. Preparation of Xylan Esters with the Use of Selected Lewis Acids. ACS Symp. Ser. 2020, 1347, 33–42. [Google Scholar] [CrossRef]
- Sun, R.; Fanga, J.M.; Tomkinson, J.; Hill, C.A.S. Esterification of Hemicelluloses from Poplar Chips in Homogenous Solution of N, N-Dimethylformamide/Lithium Chloride. J. Wood Chem. Technol. 1999, 19, 287–306. [Google Scholar] [CrossRef]
- Fang, J.M.; Sun, R.; Fowler, P.; Tomkinson, J.; Hill, C.A.S. Esterification of wheat straw hemicelluloses in the N,N-dimethylformamide/lithium chloride homogeneous system. J. Appl. Polym. Sci. 1999, 74, 2301–2311. [Google Scholar] [CrossRef]
- Moine, C.; Gloaguen, V.; Gloaguen, J.-M.; Granet, R.; Krausz, P. Agricultural by-products. Obtention, chemical characteristics, and mechanical behavior of a novel family of hydrophobic films. J. Environ. Sci. Health Part B 2004, 39, 627–640. [Google Scholar] [CrossRef] [PubMed]
- Ren, J.L.; Peng, X.W.; Zhong, L.X.; Peng, F.; Sun, R.C. Novel hydrophobic hemicelluloses: Synthesis and characteristic. Carbohydr. Polym. 2012, 89, 152–157. [Google Scholar]
- Jain, R.K.; Sjöstedt, M.; Glasser, W.G. Thermoplastic Xylan Derivatives with Propylene Oxide. Cellulose 2000, 7, 319–336. [Google Scholar] [CrossRef]
- Laine, C.; Harlin, A.; Hartman, J.; Hyvärinen, S.; Kammiovirta, K.; Krogerus, B.; Pajari, H.; Rautkoski, H.; Setälä, H.; Sievänen, J.; et al. Hydroxyalkylated xylans—Their synthesis and application in coatings for packaging and paper. Ind. Crop. Prod. 2013, 44, 692–704. [Google Scholar] [CrossRef]
- Gröndahl, M.; Gustafsson, A.; Gatenholm, P. Gas-Phase Surface Fluorination of Arabinoxylan Films. Macromolecules 2006, 39, 2718–2721. [Google Scholar] [CrossRef]
- Brander, J.; Thorn, I. Surface Application of Paper Chemicals; Blackie Academic: London, UK, 1997. [Google Scholar]
- Reynolds, W.F. The Sizing of Paper, 2nd ed.; TAPPI: Atlanta, GA, USA, 1989. [Google Scholar]
- Bottorff, K.J. AKD sizing mechanism: A more definite description. Tappi J. 1994, 77, 105–116. [Google Scholar]
- Cheng, H.N.; Gu, Q.-M. Esterified Polysaccharide Products and β-lactone Ring Opened Ketene Dimer Products Containing the Compositions, and Process of Making the Same. U.S. Patent 6,624,298, 23 September 2003. [Google Scholar]
- Yoshida, Y.; Isogai, A. Preparation and characterization of cellulose β-ketoesters prepared by homogeneous reaction with alkylketene dimers: Comparison with cellulose/fatty acid esters. Cellulose 2007, 14, 481–488. [Google Scholar] [CrossRef]
- Yan, Y.; Amer, H.; Rosenau, T.; Zollfrank, C.; Dörrstein, J.; Jobst, C.; Zimmermann, T.; Keckes, J.; Veigel, S.; Gindl-Altmutter, W.; et al. Dry, hydrophobic microfibrillated cellulose powder obtained in a simple procedure using alkyl ketene dimer. Cellulose 2016, 23, 1189–1197. [Google Scholar] [CrossRef]
- Song, X.; Chen, F.; Liu, F. Preparation and characterization of alkyl ketene dimer (AKD) modified cellulose composite membrane. Carbohydr. Polym. 2012, 88, 417–421. [Google Scholar] [CrossRef]
- Delgado-Aguilar, M.; Gonzalez, I.; Jimenez, A.M.; Tarres, Q.; Quintana, G.; Mutje, P. Cellulose nanofibers modified with alkyl ketene dimer for oil absorbent aerogels. Cellul. Chem. Technol. 2016, 50, 369–375. [Google Scholar]
- Missoum, K.; Bras, J.; Belgacem, N. Method for Forming a Hydrophobic Layer. WO Patent 2015011364A2, 29 January 2015. [Google Scholar]
- Russler, A.; Wieland, M.; Bacher, M.; Henniges, U.; Miethe, P.; Liebner, F.; Potthast, A.; Rosenau, T. AKD-Modification of bacterial cellulose aerogels in supercritical CO2. Cellulose 2012, 19, 1337–1349. [Google Scholar] [CrossRef]
- Lähteenmäki, M.; Känköhen, H.; Kloow, G.; Ruppert, O.; Leupin, J.A.; Gosselink, E.P. Modified Cellulose Ethers. U.S. Patent 6,600,033, 29 July 2003. [Google Scholar]
- Gu, Q.-M.; Cheng, H.N. Enzyme-catalyzed esterification of cellulosics, guar, and polyethers. Am. Chem. Soc. Polym. Prepr. 2005, 46, 30–31. [Google Scholar]
- Qiao, L.; Gu, Q.-M.; Cheng, H. Enzyme-catalyzed synthesis of hydrophobically modified starch. Carbohydr. Polym. 2006, 66, 135–140. [Google Scholar] [CrossRef]
- Dang, C.; Xu, M.; Yin, Y.; Pu, J. Preparation and Characterization of Hydrophobic Non-Crystal Microporous Starch (NCMS) and its Application in Food Wrapper Paper as a Sizing Agent. BioResources 2017, 12, 5775–5789. [Google Scholar] [CrossRef]
- Biswas, A.; Kim, S.; Buttrum, M.; Furtado, R.F.; Alves, C.R.; Cheng, H.N. Preparation of Hydrophobically Modified Cashew Gum through Reaction with Alkyl Ketene Dimer. ACS Symp. Ser. 2018, 1310, 137–146. [Google Scholar] [CrossRef]
- Oppolzer, W.; Snieckus, V. Intramolecular Ene Reactions in Organic Synthesis. Angew. Chem. Int. Ed. 1978, 17, 476–486. [Google Scholar] [CrossRef]
- Nahm, S.H.; Cheng, H.N. Transition-state geometry and stereochemistry of the ene reaction between olefins and maleic anhydride. J. Org. Chem. 1986, 51, 5093–5100. [Google Scholar] [CrossRef]
- Altuna, L.; Herrera, M.L.; Foresti, M.L. Synthesis and characterization of octenyl succinic anhydride modified starches for food applications. A review of recent literature. Food Hydrocoll. 2018, 80, 97–110. [Google Scholar] [CrossRef]
- Sweedman, M.C.; Tizzotti, M.J.; Schäfer, C.; Gilbert, R.G. Structure and physicochemical properties of octenyl succinic anhydride modified starches: A review. Carbohydr. Polym. 2013, 92, 905–920. [Google Scholar] [CrossRef]
- Shah, N.N.; Soni, N.; Singhal, R.S. Modification of proteins and polysaccharides using dodecenyl succinic anhydride: Synthesis, properties and applications—A review. Int. J. Biol. Macromol. 2018, 107, 2224–2233. [Google Scholar] [CrossRef] [PubMed]
- Hansen, N.M.L.; Plankett, D. Synthesis and characterization of birch wood xylan succinoylated in 1-n-butyl-3-methylimidazolium chloride. Polym. Chem. 2011, 2, 2010–2020. [Google Scholar] [CrossRef]
- Zhong, L.-X.; Peng, X.; Yang, N.; Cao, X.-F.; Sun, R.-C. Long-Chain Anhydride Modification: A New Strategy for Preparing Xylan Films. J. Agric. Food Chem. 2013, 61, 655–661. [Google Scholar] [CrossRef]
- Ramos, A.; Sousa, S.; Evtuguin, D.V.; Gamelas, J.A. Functionalized xylans in the production of xylan-coated paper laminates. React. Funct. Polym. 2017, 117, 89–96. [Google Scholar] [CrossRef]
- Hu, Z.; Xiang, Z.; Lu, F. Synthesis and emulsifying properties of long-chain succinic acid esters of glucuronoxylans. Cellulose 2019, 26, 3713–3724. [Google Scholar] [CrossRef]
- Biswas, A.; Cheng, H.; Kim, S.; Alves, C.R.; Furtado, R.F. Hydrophobic Modification of Cashew Gum with Alkenyl Succinic Anhydride. Polymers 2020, 12, 514. [Google Scholar] [CrossRef]
- Kokubun, S.; Ratcliffe, I.; Williams, P. Synthesis, Characterization and Self-Assembly of Biosurfactants Based on Hydrophobically Modified Inulins. Biomacromolecules 2013, 14, 2830–2836. [Google Scholar] [CrossRef]
- Dilbaghi, N.; Ahuja, M.; Bernela, M.; Kumar, S.; Bhardwaj, P.; Kaur, H. Synthesis and characterization of novel amphiphilic tamarind seed xyloglucan-octenyl succinic anhydride conjugate. J. Polym. Res. 2020, 27, 1–8. [Google Scholar] [CrossRef]
- Fundador, N.G.V.; Enomoto-Rogers, Y.; Iwata, T. Esterification of Xylan and Its Application. ACS Symp. Ser. 2013, 1144, 393–406. [Google Scholar] [CrossRef]
- Daus, S.; Elschner, T.; Heinze, T. Towards unnatural xylan based polysaccharides: Reductive amination as a tool to access highly engineered carbohydrates. Cellulose 2010, 17, 825–833. [Google Scholar] [CrossRef]
- Zhang, X.; Chen, M.; Liu, C.; Zhang, A.; Sun, R. Ring-Opening Graft Polymerization of Propylene Carbonate onto Xylan in an Ionic Liquid. Molecules 2015, 20, 6033–6047. [Google Scholar] [CrossRef] [PubMed]
- Peng, X.; Ren, J.-L.; Zhong, L.-X.; Cao, X.-F.; Sun, R.-C. Microwave-Induced Synthesis of Carboxymethyl Hemicelluloses and Their Rheological Properties. J. Agric. Food Chem. 2011, 59, 570–576. [Google Scholar] [CrossRef] [PubMed]
- Konduri, M.K.; Fatehi, P. Synthesis and characterization of carboxymethylated xylan and its application as a dispersant. Carbohydr. Polym. 2016, 146, 26–35. [Google Scholar] [CrossRef]
- Ren, J.L.; Sun, R.C.; Liu, C.F.; Chao, Z.Y.; Luo, W. Two-step preparation and thermal characterization of cationic 2-hydroxypropyltrimethylammonium chloride hemicellulose polymers from sugarcane bagasse. Polym. Degrad. Stab. 2006, 91, 2579–2587. [Google Scholar] [CrossRef]
- Kačuráková, M.; Wellner, N.; Ebringerová, A.; Hromádková, Z.; Wilson, R.; Belton, P. Characterisation of xylan-type polysaccharides and associated cell wall components by FT-IR and FT-Raman spectroscopies. Food Hydrocoll. 1999, 13, 35–41. [Google Scholar] [CrossRef]
- Zhang, X.; Liu, C.; Zhang, A.; Sun, R. Organic Catalysis for Ring-Opening Graft Polymerization of p-Dioxanone with Xylan in Ionic liquid. Polymers 2017, 9, 345. [Google Scholar] [CrossRef]
- Cheng, H.N.; Furtado, R.F.; Alves, C.R.; Bastos, M.D.S.R.; Kim, S.; Biswas, A. Novel Polyurethanes From Xylan and TDI: Preparation and Characterization. Int. J. Polym. Anal. Charact. 2017, 22, 35–42. [Google Scholar] [CrossRef]
- Sun, R.; Tomkinson, J.; Ma, P.; Liang, S. Comparative study of hemicelluloses from rice straw by alkali and hydrogen peroxide treatments. Carbohydr. Polym. 2000, 42, 111–122. [Google Scholar] [CrossRef]
- Sousa, S.; Ramos, A.; Evtuguin, D.V.; Gamelas, J.A.F. Xylan and xylan derivatives—Their performance in bio-based films and effect of glycerol addition. Ind. Crop. Prod. 2016, 94, 682–689. [Google Scholar] [CrossRef]
- Pushpamalar, V.; Langford, S.; Ahmad, M.; Lim, Y. Optimization of reaction conditions for preparing carboxymethyl cellulose from sago waste. Carbohydr. Polym. 2006, 64, 312–318. [Google Scholar] [CrossRef]
- Bai, Y.; Shi, Y.-C.; Herrera, A.; Prakash, O. Study of octenyl succinic anhydride-modified waxy maize starch by nuclear magnetic resonance spectroscopy. Carbohydr. Polym. 2011, 83, 407–413. [Google Scholar] [CrossRef]
- Shafizadeh, F.; McGinnis, G.; Philpot, C. Thermal degradation of xylan and related model compounds. Carbohydr. Res. 1972, 25, 23–33. [Google Scholar] [CrossRef]
- Cheng, H.; Ford, C.; Kolpak, F.J.; Wu, Q. Preparation and Characterization of Xylan Derivatives and Their Blends. J. Polym. Environ. 2018, 26, 4114–4123. [Google Scholar] [CrossRef]
- Peng, X.; Ren, J.-L.; Zhong, L.-X.; Sun, R.-C. Synthesis and Characterization of Amphoteric Xylan-type Hemicelluloses by Microwave Irradiation. J. Agric. Food Chem. 2012, 60, 1695–1702. [Google Scholar] [CrossRef]
- Hromádková, Z.; Ebringerová, A.; Malovíková, A. The Structural, Molecular and Functional Properties of Lignin-Containing Beechwood Glucuronoxylan. Macromol. Symp. 2006, 232, 19–26. [Google Scholar] [CrossRef]
- Kroon, G. Associative behavior of hydrophobically modified hydroxyethyl celluloses (HMHECs) in waterborne coatings. Prog. Org. Coat. 1993, 22, 245–260. [Google Scholar] [CrossRef]
- Wu, W.; Shay, G.D. Tailoring HASE rheology through polymer design: Effects of hydrophobe size, acid content, and molecular weight. J. Coat. Technol. Res. 2005, 2, 423–433. [Google Scholar] [CrossRef]













| Sample # | Xylan (g) | AKD (g) | AKD/xyl Mol Ratio | DMAP (g) | Weight Yield (g) | DS |
|---|---|---|---|---|---|---|
| A1 | 1 | 0.02 | 0.0026 | 0.01 | 0.998 | 0.0013 |
| A2 | 1 | 0.05 | 0.0066 | 0.02 | 1.037 | 0.0019 |
| A3 | 1 | 0.156 | 0.0206 | 0.075 | 1.044 | 0.0036 |
| A4 | 1 | 0.208 | 0.0274 | 0.1 | 1.078 | 0.0059 |
| Sample | Weight of OSA, g | Product Weight, g | Weight Yield % | Obsd DS |
|---|---|---|---|---|
| B1 | 0.02 | 0.9977 | 98 | 0.016 |
| B2 | 0.04 | 1.0391 | 99 | 0.036 |
| B3 | 0.084 | 1.0113 | 93 | 0.052 |
| B4 | 0.104 | 0.797 | 72 * | 0.059 |
| B5 | 0.2 | 1.091 | 91 | 0.135 |
| Sample | Weight of TPSA, g | Product Weight, g | Weight Yield % | Obsd DS |
|---|---|---|---|---|
| C1 | 0.02 | 0.9548 | 94 | 0.010 |
| C2 | 0.04 | 1.0057 | 97 | 0.018 |
| C3 | 0.084 | 1.0064 | 93 | 0.039 |
| C4 | 0.104 | 0.9888 | 90 | 0.052 |
| C5 | 0.2 | 0.9833 | 82 | 0.105 |
Publisher’s Note: MDPI stays neutral with regard to jurisdictional claims in published maps and institutional affiliations. |
© 2021 by the authors. Licensee MDPI, Basel, Switzerland. This article is an open access article distributed under the terms and conditions of the Creative Commons Attribution (CC BY) license (http://creativecommons.org/licenses/by/4.0/).
Share and Cite
Cheng, H.N.; Biswas, A.; Kim, S.; Alves, C.R.; Furtado, R.F. Synthesis and Characterization of Hydrophobically Modified Xylans. Polymers 2021, 13, 291. https://doi.org/10.3390/polym13020291
Cheng HN, Biswas A, Kim S, Alves CR, Furtado RF. Synthesis and Characterization of Hydrophobically Modified Xylans. Polymers. 2021; 13(2):291. https://doi.org/10.3390/polym13020291
Chicago/Turabian StyleCheng, Huai N., Atanu Biswas, Sanghoon Kim, Carlucio R. Alves, and Roselayne F. Furtado. 2021. "Synthesis and Characterization of Hydrophobically Modified Xylans" Polymers 13, no. 2: 291. https://doi.org/10.3390/polym13020291
APA StyleCheng, H. N., Biswas, A., Kim, S., Alves, C. R., & Furtado, R. F. (2021). Synthesis and Characterization of Hydrophobically Modified Xylans. Polymers, 13(2), 291. https://doi.org/10.3390/polym13020291

