A Dynamically Correlated Network Model for the Collective Dynamics in Glass-Forming Molecular Liquids and Polymers
Abstract
:1. Introduction
2. Modeling of DCN
3. Results and Discussion
3.1. Percolation Transition
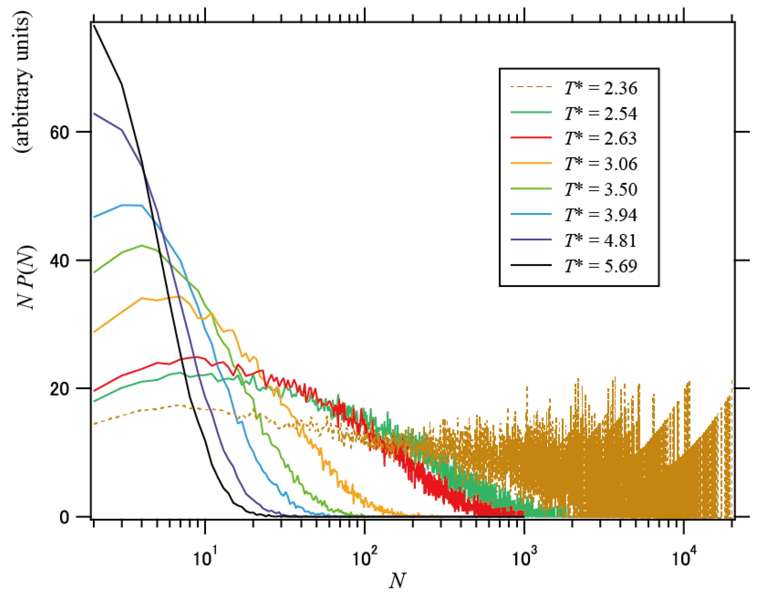
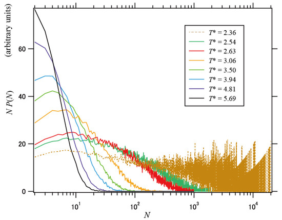
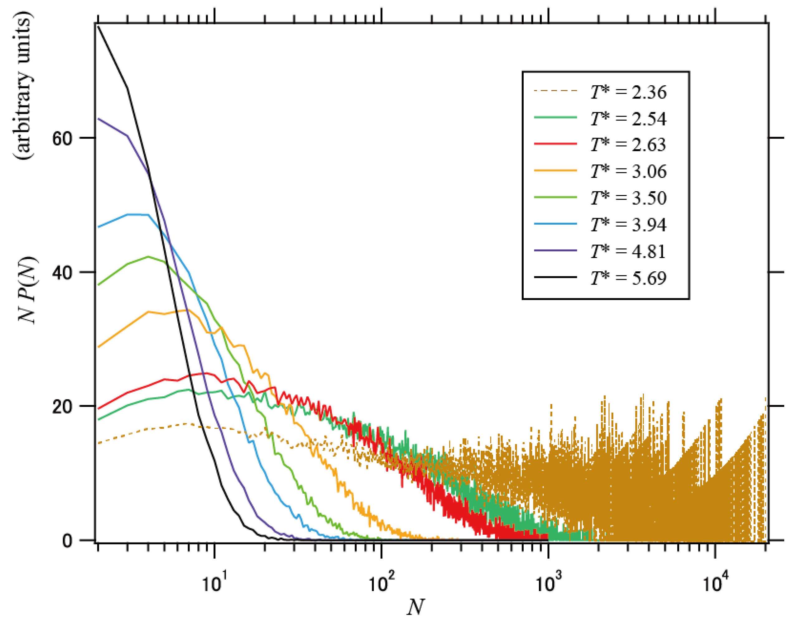
3.2. Geometry of DCN
3.3. Segmental Relaxation Time
4. Conclusions
Supplementary Materials
Author Contributions
Funding
Institutional Review Board Statement
Informed Consent Statement
Acknowledgments
Conflicts of Interest
References
- Debenedetti, P.G.; Stillinger, F.H. Supercooled liquids and the glass transition. Nature 2001, 410, 259–267. [Google Scholar] [CrossRef] [PubMed]
- Donth, E. The Glass Transition: Relaxation Dynamics in Liquids and Disordered Materials; Springer: Berlin/Heidelberg, Germany, 2001. [Google Scholar]
- Angell, C.A. Formation of glasses from liquids and biopolymers. Science 1995, 267, 1924–1935. [Google Scholar] [CrossRef] [PubMed]
- Berthier, L.; Biroli, G. Theoretical perspective on the glass transition and amorphous materials. Rev. Mod. Phys. 2011, 83, 587–645. [Google Scholar] [CrossRef]
- Biroli, G.; Garrahan, J.P. Perspective: The glass transition. J. Chem. Phys. 2013, 138, 12A301. [Google Scholar] [CrossRef] [PubMed]
- Charbonneau, P.; Kurchan, J.; Parisi, G.; Urbani, P.; Zamponi, F. Glass and jamming transitions: From exact results to finite-dimensional descriptions. Annu. Rev. Condens. Matter Phys. 2017, 8, 265–288. [Google Scholar] [CrossRef]
- Ryu, C.W.; Egami, T. Origin of liquid fragility. Phys. Rev. E 2020, 102, 042615. [Google Scholar] [CrossRef] [PubMed]
- Xu, W.-S.; Douglas, J.F.; Sun, Z.-Y. Polymer glass formation: Role of activation free energy, configurational entropy, and collective motion. Macromolecules 2021, 54, 3001–3033. [Google Scholar] [CrossRef]
- Adam, G.; Gibbs, J.H. On the temperature dependence of cooperative relaxation properties in glass-forming liquids. J. Chem. Phys. 1965, 43, 139–146. [Google Scholar] [CrossRef]
- Kirkpatrick, T.R.; Thirumalai, D.; Wolynes, P.G. Scaling concepts for the dynamics of viscous liquids near an ideal glassy state. Phys. Rev. A 1989, 40, 1045–1054. [Google Scholar] [CrossRef]
- Lubchenko, V.; Wolynes, P.G. Theory of structural glasses and supercooled liquids. Annu. Rev. Phys. Chem. 2007, 58, 235–266. [Google Scholar] [CrossRef]
- Kauzmann, W. The nature of the glassy state and the behavior of liquids at low temperatures. Chem. Rev. 1948, 43, 219–256. [Google Scholar] [CrossRef]
- Fredrickson, G.H.; Andersen, H.C. Kinetic Ising model of the glass transition. Phys. Rev. Lett. 1984, 53, 1244–1247. [Google Scholar] [CrossRef]
- Ritort, F. Sollich, P. Glassy dynamics of kinetically constrained models. Adv. Phys. 2003, 52, 219–342. [Google Scholar] [CrossRef]
- Bertin, E.; Bouchaud, J.-P.; Lequeux, F. Subdiffusion and dynamical heterogeneities in a lattice glass model. Phys. Rev. Lett. 2005, 95, 015702. [Google Scholar] [CrossRef] [PubMed]
- Royall, C.P.; Turci, F.; Speck, T. Dynamical phase transitions and their relation to structural and thermodynamic aspects of glass physics. J. Chem. Phys. 2020, 153, 090901. [Google Scholar] [CrossRef] [PubMed]
- Ediger, M.D. Spatially heterogeneous dynamics in supercooled liquids. Annu. Rev. Phys. Chem. 2000, 51, 99–128. [Google Scholar] [CrossRef] [PubMed]
- Anderson, H.C. Molecular dynamics studies of heterogeneous dynamics and dynamic crossover in supercooled atomic liquids. Proc. Natl. Acad. Sci. USA 2005, 102, 6686–6691. [Google Scholar] [CrossRef] [PubMed]
- Berthier, L.; Biroli, G.; Bouchaud, J.-P.; Cipelletti, L.; Saarloos, W. Dynamical Heterogeneities in Glasses, Colloids and Granular Media; Oxford University Press: Oxford, UK, 2011. [Google Scholar]
- Kirkpatrick, T.R.; Thirumalai, D. Dynamics of the structural glass transition and the p-spin-interaction spin-glass model. Phys. Rev. Lett. 1987, 58, 2091–2094. [Google Scholar] [CrossRef]
- Kirkpatrick, T.R.; Thirumalai, D. p-spin-interaction spin-glass models: Connections with the structural glass problem. Phys. Rev. B 1987, 36, 5388–5397. [Google Scholar] [CrossRef]
- Kirkpatrick, T.R.; Wolynes, P.G. Stable and metastable states in mean-field Potts and structural glasses. Phys. Rev. B 1987, 36, 8552–8564. [Google Scholar] [CrossRef]
- Kirkpatrick, T.R.; Thirumalai, D. Comparison between dynamical theories and metastable states in regular and glassy mean-field spin models with underlying first-order-like phase transitions. Phys. Rev. A 1988, 37, 4439–4448. [Google Scholar] [CrossRef]
- Starr, F.W.; Douglas, J.F.; Sastry, S. The relationship of dynamical heterogeneity to the Adam-Gibbs and random first-order transition theories of glass formation. J. Chem. Phys. 2013, 138, 12A541. [Google Scholar] [CrossRef] [PubMed]
- Betancourt, B.A.P.; Starr, F.W.; Douglas, J.F. String-like collective motion in the α- and β-relaxation of a coarse-grained polymer melt. J. Chem. Phys. 2018, 148, 104508. [Google Scholar] [CrossRef] [PubMed]
- Wang, X.; Xu, W.-S.; Zhang, H.; Douglas, J.F. Universal nature of dynamic heterogeneity in glass-forming liquids: A comparative study of metallic and polymeric glass-forming liquids. J. Chem. Phys. 2019, 151, 184503. [Google Scholar] [CrossRef]
- Salez, T.; Salez, J.; Dalnoki-Veress, K.; Raphaël, E.; Forrest, J.A. Cooperative strings and glassy interfaces. Proc. Natl. Acad. Sci. USA 2015, 112, 8227–8231. [Google Scholar] [CrossRef] [PubMed]
- Arutkin, M.; Raphaël, E.; Forrest, J.A.; Salez, T. Cooperative strings in glassy nanoparticles. Soft Matter 2017, 13, 141–146. [Google Scholar] [CrossRef] [PubMed]
- Sato, A.; Sasaki, T. Cooperativity of dynamics in supercooled polymeric materials and its temperature dependence predicted from a surface controlled model. Eur. Polym. J. 2018, 99, 485–494. [Google Scholar] [CrossRef]
- Boucher, V.M.; Cangialosi, D.; Yin, H.; Schönhals, A.; Alegria, A.; Colmenero, J. Tg depression and invariant segmental dynamics in polystyrene thin films. Soft Matter 2012, 8, 5119–5122. [Google Scholar] [CrossRef]
- Sasaki, T.; Nakane, T.; Sato, A. Segmental dynamics of free-standing and supported polymer thin films predicted from a surface-controlled model. Polymer 2019, 172, 265–271. [Google Scholar] [CrossRef]
- Nakane, T.; Tsuzuki, Y.; Sasaki, T. Glass transition and fragility of nanosized polymeric fibers and spheres predicted from a surface-controlled model. Polym. J. 2021, 53, 363–372. [Google Scholar] [CrossRef]
- Priestley, R.D.; Cangialosi, D.; Napolitano, S. On the equivalence between the thermodynamic and dynamic measurements of the glass transition in confined polymers. J. Non Cryst. Solids 2015, 407, 288–295. [Google Scholar] [CrossRef]
- Madkour, S.; Szymoniak, P.; Hertwig, A.; Heidari, M.; Von Klitzing, R.; Napolitano, S.; Sferrazza, M.; Schönhals, A. Decoupling of dynamic and thermal glass transition in thin films of a PVME/PS blend. ACS Macro Lett. 2017, 6, 1156–1161. [Google Scholar] [CrossRef]
- Napolitano, S.; Glynos, E.; Tito, N.B. Glass transition of polymers in bulk, confined geometries, and near interfaces. Rep. Progr. Phys. 2017, 80, 036602. [Google Scholar] [CrossRef]
- Stauffer, D.; Aharony, A. Introduction to Percolation Theory, 2nd ed.; Taylor and Francis: London, UK, 1994. [Google Scholar]
- Bethe, H.A. Statistical theory of superlattices. Proc. R. Soc. Lond. 1935, 150, 552–575. [Google Scholar]
- Stevenson, J.D.; Schmalian, J.; Wolynes, P.G. The shapes of cooperatively rearranging regions in glass-forming liquids. Nat. Phys. 2006, 2, 268–274. [Google Scholar] [CrossRef]
- Cammarota, C.; Cavagna, A.; Gradenigo, G.; Grigera, T.S.; Verrocchio, P. Numerical determination of the exponents controlling the relationship between time, length, and temperature in glass-forming liquids. J. Chem. Phys. 2009, 131, 194901. [Google Scholar] [CrossRef]
- Bouchaud, J.-P.; Biroli, G. On the Adam-Gibbs-Kirkpatrick-Thirumalai-Wolynes scenario for the viscosity increase in glasses. J. Chem. Phys. 2004, 121, 7347–7354. [Google Scholar] [CrossRef]
- Döß, A.; Hinze, G.; Schiener, B.; Hemberger, J.; Böhmer, R. Dielectric relaxation in the fragile viscous liquid state of toluene. J. Chem. Phys. 1997, 107, 1740–1743. [Google Scholar] [CrossRef]
- Chen, Z.; Richert, R. Dynamics of glass-forming liquids. XV. Dynamical features of molecular liquids that form ultra-stable glasses by vapor deposition. J. Chem. Phys. 2011, 135, 124515. [Google Scholar] [CrossRef]
- Casalini, R.; Roland, C.M. Scaling of the supercooled dynamics and its relation to the pressure dependences of the dynamic crossover and the fragility of glass formers. Phys. Rev. B 2005, 71, 014210. [Google Scholar] [CrossRef]
- Schmidtke, B.; Petzold, N.; Kahlau, R.; Hofmann, M.; Rössler, E.A. From boiling point to glass transition temperature: Transport coefficients in molecular liquids follow three-parameter scaling. Phys. Rev. E 2012, 86, 041507. [Google Scholar] [CrossRef]
- Dhinojwala, A.; Wong, G.K.; Torkelson, J.M. Rotational reorientation dynamics of disperse red 1 in polystyrene: α-relaxation dynamics probed by second harmonic generation and dielectric relaxation. J. Chem. Phys. 1994, 100, 6046–6054. [Google Scholar] [CrossRef]
- Roland, C.M. Relaxation phenomena in vitrifying polymers and molecular liquids. Macromolecules 2010, 43, 7875–7890. [Google Scholar] [CrossRef]
- Roland, C.M.; Santangelo, P.G. Effect of temperature on the terminal relaxation of branched polydimethysiloxane. J. Non Cryst. Solids 2002, 307–310, 835–841. [Google Scholar] [CrossRef]
- Casalini, R.; Roland, C.M. Aging of the secondary relaxation to probe structural relaxation in the glassy state. Phys. Rev. Lett. 2009, 102, 035701. [Google Scholar] [CrossRef] [PubMed]
- Ngai, K.L.; Roland, C.M. Development of cooperativity in the local segmental dynamics of poly(vinylacetate): Synergy of thermodynamics and intermolecular coupling. Polymer 2002, 43, 567–573. [Google Scholar] [CrossRef]
- Casalini, R.; Roland, C.M. Aging of a low molecular weight poly(methyl methacrylate). J. Non Cryst. Solids 2011, 357, 282–285. [Google Scholar] [CrossRef]
- Vogel, H. Das Temperaturabhangigkeitsgesetz der Viskositat von Flussigkeiten. Phys. Z. 1921, 22, 645–646. [Google Scholar]
- Fulcher, G.S. Analysis of recent measurements of the viscosity of glasses. J. Am. Ceram. Soc. 1925, 8, 339–355. [Google Scholar] [CrossRef]
- Tammann, G.; Hesse, W. Die Abhängigkeit der Viscosität von der Temperatur bie unterkühlten Flüssigkeiten. Z. Anorg. Allg. Chem. 1926, 156, 245–257. [Google Scholar] [CrossRef]
- Huang, D.; McKenna, G.B. New insights into the fragility dilemma in liquids. J. Chem. Phys. 2001, 114, 5621–5630. [Google Scholar] [CrossRef]
- Hempel, E.; Hempel, G.; Hensel, A.; Schick, C.; Donth, E. Characteristic length of dynamic glass transition near Tg for a wide assortment of glass-forming substances. J. Phys. Chem. B 2000, 104, 2460–2466. [Google Scholar] [CrossRef]
- Hong, L.; Novikov, V.N.; Sokolov, A.P. Is there a connection between fragility of glass forming systems and dynamic heterogeneity/cooperativity? J. Non Cryst. Solids 2011, 357, 351–356. [Google Scholar] [CrossRef]
- Sasaki, T.; Ichimura, M.; Irie, S. Correlation between fragility and cooperativity in segmental dynamics of glass-forming para-substituted polystyrenes. Polym. J. 2015, 47, 687–694. [Google Scholar] [CrossRef]
- Xu, W.-S.; Douglas, J.F.; Freed, K.F. Influence of cohesive energy on relaxation in a model glass-forming polymer melt. Macromolecules 2016, 49, 8355–8370. [Google Scholar] [CrossRef]







| Material | Exponent | Δμ/kJ mol−1 | ε/kJ mol−1 | log (τ0/s) | Tc/K | T0/K |
|---|---|---|---|---|---|---|
| Toluene | α1 | 1.60 | 0.28 | −11.9 | 77.8 | 97 |
| α2 | 2.62 | 0.28 | −12.1 | 76.7 | ||
| α3 | 2.88 | 0.36 | −12.6 | 98.7 | ||
| α4 | 3.89 | 0.34 | −12.2 | 92.8 | ||
| Ethylbenzene | α1 | 1.30 | 0.30 | −11.7 | 82.0 | 102 |
| α2 | 2.08 | 0.29 | −11.8 | 81.1 | ||
| α3 | 2.36 | 0.37 | −12.0 | 103.0 | ||
| α4 | 3.19 | 0.35 | −11.9 | 97.4 | ||
| Salol | α1 | 2.31 | 0.58 | −12.1 | 159.2 | 189 |
| α2 | 4.09 | 0.56 | −12.5 | 155.1 | ||
| α3 | 5.79 | 0.70 | −13.7 | 192.1 | ||
| α4 | 7.00 | 0.67 | −12.9 | 183.6 | ||
| o-Terphenyl | α1 | 3.08 | 0.63 | −12.5 | 172.5 | 209 |
| α2 | 5.20 | 0.61 | −12.7 | 169.1 | ||
| α3 | 6.88 | 0.76 | −13.6 | 210.7 | ||
| α4 | 8.70 | 0.73 | −13.1 | 200.6 | ||
| PS | α1 | 0.65 | 1.13 | −8.1 | 312.1 | 335 |
| α2 | 0.97 | 1.12 | −8.1 | 308.2 | ||
| α3 | 5.11 | 1.21 | −10.5 | 333.3 | ||
| α4 | 4.59 | 1.19 | −9.4 | 328.6 | ||
| PDMS | α1 | 2.86 | 0.30 | −2.9 | 81.5 | 101 |
| α2 | 3.92 | 0.31 | −3.1 | 86.5 | ||
| α3 | 3.85 | 0.41 | −3.3 | 111.8 | ||
| α4 | 6.44 | 0.36 | −3.3 | 99.7 | ||
| PBD | α1 | 0.57 | 0.83 | −8.5 | 229.9 | 248 |
| α2 | 0.85 | 0.82 | −8.3 | 226.9 | ||
| α3 | 4.38 | 0.89 | −11.1 | 245.9 | ||
| α4 | 3.94 | 0.88 | −9.9 | 242.3 | ||
| PVAc | α1 | 5.05 | 0.71 | −11.5 | 196.8 | 249 |
| α2 | 8.38 | 0.70 | −11.8 | 193.8 | ||
| α3 | 8.19 | 0.93 | −12.2 | 255.6 | ||
| α4 | 11.4 | 0.87 | −11.7 | 238.5 | ||
| PMMA (low Mw) | α1 | 1.14 | 0.99 | −8.1 | 81.5 | 298 |
| α2 | 1.88 | 0.97 | −8.0 | 86.5 | ||
| α3 | 7.43 | 1.08 | −11.3 | 111.8 | ||
| α4 | 6.92 | 1.06 | −9.8 | 99.7 |
Publisher’s Note: MDPI stays neutral with regard to jurisdictional claims in published maps and institutional affiliations. |
© 2021 by the authors. Licensee MDPI, Basel, Switzerland. This article is an open access article distributed under the terms and conditions of the Creative Commons Attribution (CC BY) license (https://creativecommons.org/licenses/by/4.0/).
Share and Cite
Sasaki, T.; Tsuzuki, Y.; Nakane, T. A Dynamically Correlated Network Model for the Collective Dynamics in Glass-Forming Molecular Liquids and Polymers. Polymers 2021, 13, 3424. https://doi.org/10.3390/polym13193424
Sasaki T, Tsuzuki Y, Nakane T. A Dynamically Correlated Network Model for the Collective Dynamics in Glass-Forming Molecular Liquids and Polymers. Polymers. 2021; 13(19):3424. https://doi.org/10.3390/polym13193424
Chicago/Turabian StyleSasaki, Takashi, Yuya Tsuzuki, and Tatsuki Nakane. 2021. "A Dynamically Correlated Network Model for the Collective Dynamics in Glass-Forming Molecular Liquids and Polymers" Polymers 13, no. 19: 3424. https://doi.org/10.3390/polym13193424
APA StyleSasaki, T., Tsuzuki, Y., & Nakane, T. (2021). A Dynamically Correlated Network Model for the Collective Dynamics in Glass-Forming Molecular Liquids and Polymers. Polymers, 13(19), 3424. https://doi.org/10.3390/polym13193424

