Epoxy-Based Interlocking Membranes for All Solid-State Lithium Ion Batteries: The Effects of Amine Curing Agents on Electrochemical Properties
Abstract
:1. Introduction
2. Experimental
2.1. Materials
2.2. Preparation of Epoxy Containing Copolymer
2.3. Preparation of SPE Membranes
2.4. Material Characterization
2.5. Electrochemical Characterization
3. Results and Discussion
3.1. Synthesis and Characterization
3.2. Thermal Properties of SPE Membranes
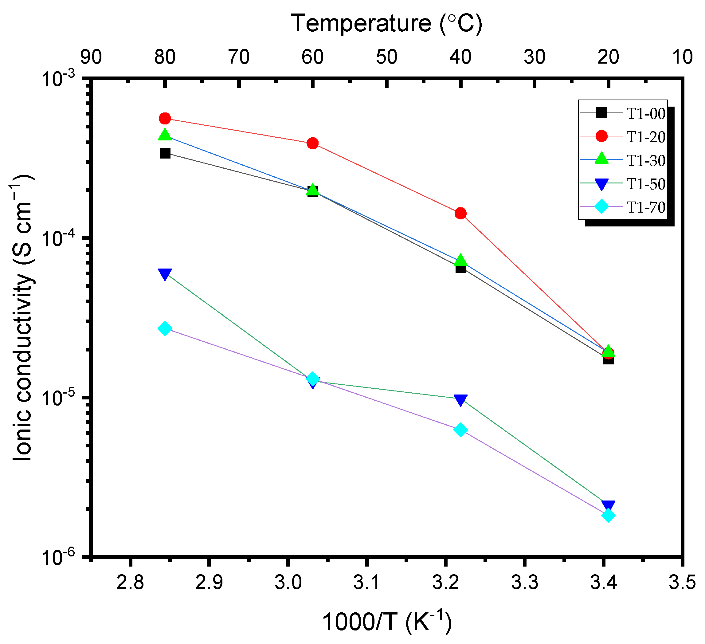
3.3. Lithium Ion Conductivity (σ) and Lithium Ion Transference Number (tLi+)
3.4. Electrochemical Stability and Compatibility of SPEs
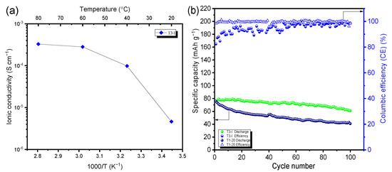
3.5. Characterization of Li°|SPE|LFP Half-Cells
4. Conclusions
Supplementary Materials
Author Contributions
Funding
Institutional Review Board Statement
Informed Consent Statement
Data Availability Statement
Acknowledgments
Conflicts of Interest
References
- Bhatt, M.D.; O’Dwyer, C. Recent progress in theoretical and computational investigations of Li-ion battery materials and electrolytes. Phys. Chem. Chem. Phys. 2015, 17, 4799–4844. [Google Scholar] [CrossRef] [Green Version]
- Boaretto, N.; Meabe, L.; Martinez-Ibañez, M.; Armand, M.; Zhang, H. Review—polymer electrolytes for rechargeable batteries: From nanocomposite to nanohybrid. J. Electrochem. Soc. 2020, 167, 070524. [Google Scholar] [CrossRef]
- Zhang, H.; Li, C.; Eshetu, G.G.; Laruelle, S.; Grugeon, S.; Zaghib, K.; Julien, C.; Mauger, A.; Guyomard, D.; Rojo, T.; et al. From solid-solution electrodes and the rocking-chair concept to today’s batteries. Angew. Chem. Int. Ed. 2020, 59, 534–538. [Google Scholar] [CrossRef]
- Bruce, D.; Kamath, H.; Tarascon, J.-M. Electrical energy storage for the grid: A battery of choices. Science 2011, 334, 928–935. [Google Scholar]
- Armand, M.; Tarascon, J.-M. Building better batteries. Nature 2008, 451, 652–657. [Google Scholar] [CrossRef] [PubMed]
- Xue, Z.; He, D.; Xie, X. Poly(ethylene oxide)-based electrolytes for lithium-ion batteries. J. Mater. Chem. A 2015, 3, 19218–19253. [Google Scholar] [CrossRef]
- Fedeli, E.; Garcia-Calvo, O.; Thieu, T.; Phan, T.N.; Gigmes, D.; Urdampilleta, I.; Kvasha, A. Nanocomposite solid polymer electrolytes based on semi-interpenetrating hybrid polymer networks for high performance lithium metal batteries. Electrochim. Acta 2020, 353, 136481. [Google Scholar] [CrossRef]
- Yao, P.; Yu, H.; Ding, Z.; Liu, Y.; Lu, J.; Lavorgna, M.; Wu, J.; Liu, X. Review on polymer-based composite electrolytes for lithium batteries. Front. Chem. 2019, 7, 522–538. [Google Scholar] [CrossRef] [PubMed] [Green Version]
- Wang, Q.; Jiang, L.; Yu, Y.; Sun, J. Progress of enhancing the safety of lithium ion battery from the electrolyte aspect. Nano Energy 2019, 55, 93–114. [Google Scholar] [CrossRef]
- Shi, K.; Xu, Z.; Huang, M.; Zou, L.; Zheng, D.; Yang, Z.; Zhang, W. Solid-state polymer electrolytes with polypropylene separator-reinforced sandwich structure for room-temperature lithium ion batteries. J. Membr. Sci. 2021, 638, 119713. [Google Scholar] [CrossRef]
- Amici, J.; Torchio, C.; Versaci, D.; Dessantis, D.; Marchisio, A.; Caldera, F.; Bella, F.; Francia, C.; Bodoardo, S. Nanosponge-based composite gel polymer electrolyte for safer Li-O2 batteries. Polymers 2021, 13, 1625. [Google Scholar] [CrossRef]
- Zhang, Y.; Lu, W.; Cong, L.; Liu, J.; Sun, L.; Mauger, A.; Julien, C.M.; Xie, H.; Liu, J. Cross-linking network based on poly(ethylene oxide): Solid polymer electrolyte for room temperature lithium battery. J. Power Sources 2019, 420, 63–72. [Google Scholar] [CrossRef]
- Homann, G.; Stolz, L.; Nair, J.; Laskovic, I.C.; Winter, M.; Kasnatscheew, J. Poly(ethylene oxide)-based electrolyte for solid-state-lithium-batteries with high voltage positive electrodes: Evaluating the role of electrolyte oxidation in rapid cell failure. Sci. Rep. 2020, 10, 4390–4398. [Google Scholar] [CrossRef] [PubMed]
- Zeng, F.; Sun, Y.; Hui, B.; Xia, Y.; Zou, Y.; Zhang, X.; Yang, D. Three-dimensional porous alginate fiber membrane reinforced peo-based solid polymer electrolyte for safe and high-performance lithium ion batteries. ACS Appl. Mater. Interfaces 2020, 12, 43805–43812. [Google Scholar] [CrossRef]
- Wang, X.; Fu, C.; Feng, Z.; Huo, H.; Yin, X.; Gao, G.; Yin, G.; Ci, L.; Tong, Y.; Jiang, Z.; et al. Flyash/polymer composite electrolyte with internal binding interaction enables highly-stable extrinsic-interfaces of all-solid-state lithium batteries. Chem. Eng. J. 2022, 428, 131041. [Google Scholar] [CrossRef]
- Cui, J.; Zhou, Z.; Jia, M.; Chen, X.; Shi, C.; Zhao, N.; Guo, X. Solid polymer electrolytes with flexible framework of SiO2 nanofibers for highly safe solid lithium batteries. Polymers 2020, 12, 1324. [Google Scholar] [CrossRef] [PubMed]
- Guarnizo-Herrero, V.; Torrado-Salmeron, C.; Pabon, N.S.T.; Duran, G.T.; Morales, J.; Torrado-Santiago, S. Study of different chitosan/sodium carboxymethyl cellulose proportions in the development of polyelectrolyte complexes for the sustained release of clarithromycin from matrix tablets. Polymers 2021, 13, 2813. [Google Scholar] [CrossRef] [PubMed]
- Aziz, S.B.; Brevik, I.; Hamsan, M.H.; Brza, M.A.; Nofal, M.M.; Abdullah, A.M.; Rostam, S.; Al-Zangana, S.; Muzakir, S.K.; Kadir, M.F.Z. Compatible solid polymer electrolyte based on methyl cellulose for energy storage application: Structural, electrical, and electrochemical Properties. Polymers 2020, 12, 2257. [Google Scholar] [CrossRef]
- Radzir, N.N.M.; Hanifah, S.A.; Ahmad, A.; Hassan, N.H.; Bella, F. Effect of lithium bis(trifluoromethylsulfonyl)imide salt-doped UV-cured glycidyl methacrylate. J. Solid State Electrochem. 2015, 19, 3079–3085. [Google Scholar] [CrossRef]
- Falco, M.; Castro, L.; Nair, J.R.; Bella, F.; Bardé, F.; Meligrana, G.; Gerbaldi, C. UV-cross-linked composite polymer electrolyte for high-rate, ambient temperature lithium batteries. ACS Appl. Energy Mater. 2019, 2, 1600–1607. [Google Scholar] [CrossRef]
- Falco, M.; Simari, C.; Ferrara, C.; Nair, J.R.; Meligrana, G.; Bella, F.; Nicotera, I.; Mustarelli, P.; Winter, M.; Gerbaldi, C. Understanding the effect of uv-induced cross-linking on the physicochemical properties of highly performing PEO/LiTFSI-based polymer electrolytes. Langmuir 2019, 35, 8210–8219. [Google Scholar] [CrossRef]
- Verdier, N.; Lepage, D.; Zidani, R.; Prébé, A.; Aymé-Perrot, D.; Pellerin, C.; Dollé, M.; Rochefort, D. Cross-linked polyacrylonitrile-based elastomer used as gel polymer electrolyte in Li-Ion battery. ACS Appl. Energy Mater. 2019, 3, 1099–1110. [Google Scholar] [CrossRef] [Green Version]
- Yang, Y.; Xiong, J.; Lai, S.; Zhou, R.; Zhao, M.; Geng, H.; Zhang, Y.; Fang, Y.; Li, C.; Zhao, J. Vinyl ethylene carbonate as an effective SEI-forming additive in carbonate-based electrolyte for lithium-metal anodes. ACS Appl. Mater. Interfaces 2019, 11, 6118–6125. [Google Scholar] [CrossRef]
- Khurana, R.; Schaefer, J.L.; Archer, L.A.; Coates, G.W. Suppression of lithium dendrite growth using cross-linked polyethylene/poly(ethylene oxide) electrolytes: A new approach for practical lithium-metal polymer batteries. J. Am. Chem. Soc. 2014, 136, 7395–7402. [Google Scholar] [CrossRef]
- Lee, J.-Y.; Yu, T.-Y.; Chung, P.-H.; Lee, W.-Y.; Yeh, S.-C.; Wu, N.-L.; Jeng, R.-J. Semi-interpenetrating polymer network electrolytes based on a spiro-twisted benzoxazine for all-solid-state lithium-ion batteries. ACS Appl. Energy Mater. 2021, 4, 2663–2671. [Google Scholar] [CrossRef]
- Aldalur, I.; Armand, M.; Zhang, H. Jeffamine-based polymers for rechargeable batteries. Batter. Supercaps 2019, 3, 30–46. [Google Scholar] [CrossRef] [Green Version]
- Lopez, J.; Sun, Y.; Mackanic, D.G.; Lee, M.; Foudeh, A.M.; Song, M.S.; Cui, Y.; Bao, Z. A dual-crosslinking design for resilient lithium-ion conductors. Adv. Mater. 2018, 30, 1804142. [Google Scholar] [CrossRef] [PubMed]
- Li, X.; Zheng, Y.; Duan, Y.; Shang, M.; Niu, J.; Li, C.Y. Designing comb-chain crosslinker-based solid polymer electrolytes for additive-free all-solid-state lithium metal batteries. Nano Lett. 2020, 20, 6914–6921. [Google Scholar] [CrossRef] [PubMed]
- Lehmann, M.L.; Yang, G.; Nanda, J.; Saito, T. Well-designed crosslinked polymer electrolyte enables high ionic conductivity and enhanced salt solvation. J. Electrochem. Soc. 2020, 167, 070539. [Google Scholar] [CrossRef] [Green Version]
- Aldalur, I.; Martinez-Ibañez, M.; Krztoń-Maziopa, A.; Piszcz, M.; Armand, M.; Zhang, H. Flowable polymer electrolytes for lithium metal batteries. J. Power Sources 2019, 423, 218–226. [Google Scholar] [CrossRef]
- Chen, C.; Chen, F.; Liu, L.; Zhao, J.; Wang, F. Cross-linked hyperbranched polyethylenimine as an efficient multidimensional binder for silicon anodes in lithium-ion batteries. Electrochim. Acta 2019, 326, 134964. [Google Scholar] [CrossRef]
- Yan, P.; Huang, Z.; Lin, Y.; Wu, X.; Yang, Y.; Wang, D.; Chen, F.; Zhang, C.; He, D. Composite-porous polymer membrane with reduced crystalline for lithium–ion battery via non-solvent evaporate method. Ionics 2015, 21, 593–599. [Google Scholar] [CrossRef]
- Oh, S.; Nguyen, V.H.; Bui, V.T.; Nam, S.; Mahato, M.; Oh, I.K. Intertwined nanosponge solid-state polymer electrolyte for rollable and foldable lithium-ion batteries. ACS Appl. Mater. Interfaces 2020, 12, 11657–11668. [Google Scholar] [CrossRef] [PubMed]
- Wang, J.; Yang, J.; Shen, L.; Guo, Q.; He, H.; Yao, X. Synergistic effects of plasticizer and 3d framework toward high-performance solid polymer electrolyte for room-temperature solid-state lithium batteries. ACS Appl. Energy Mater. 2021, 4, 4129–4137. [Google Scholar] [CrossRef]
- Zhai, W.; Zhang, Y.-w.; Wang, L.; Cai, F.; Liu, X.-m.; Shi, Y.-j.; Yang, H. Study of nano-TiO2 composite polymer electrolyte incorporating ionic liquid PP12O1TFSI for lithium battery. Solid State Ion. 2016, 286, 111–116. [Google Scholar] [CrossRef] [Green Version]
- Bruce, P.G.; Evans, J.; Vincent, C.A. Conductivity and transference number measurements on polymer electrolytes. Solid State Ion. 1988, 28-30, 918–922. [Google Scholar] [CrossRef]
- Yao, W.; Zhang, Q.; Qi, F.; Zhang, J.; Liu, K.; Li, J.; Chen, W.; Du, Y.; Jin, Y.; Liang, Y.; et al. Epoxy containing solid polymer electrolyte for lithium ion battery. Electrochim. Acta 2019, 318, 302–313. [Google Scholar] [CrossRef]
- Zugmann, S.; Fleischmann, M.; Amereller, M.; Gschwind, R.M.; Wiemhöfer, H.D.; Gores, H.J. Measurement of transference numbers for lithium ion electrolytes via four different methods, a comparative study. Electrochim. Acta 2011, 56, 3926–3933. [Google Scholar] [CrossRef]
- Ghosh, A.; Wang, C.; Kofinas, P. Block copolymer solid battery electrolyte with high Li-ion transference number. J. Electrochem. Soc. 2010, 157, A846–A849. [Google Scholar] [CrossRef]
- Pożyczka, K.; Marzantowicz, M.; Dygas, J.R.; Krok, F. Ionic conducitivity and lithium transference number of poly(ethylene oxide):LiTFSI system. Electrochim. Acta 2017, 227, 127–135. [Google Scholar] [CrossRef]
- Timachova, K.; Watanabe, H.; Balsara, N.P. Effect of molecular weight and salt concentration on ion transport and the transference number in polymer electrolytes. Macromolecules 2015, 48, 7882–7888. [Google Scholar] [CrossRef] [Green Version]
- Wu, J.; Yuan, L.; Zhang, W.; Li, Z.; Xie, X.; Huang, Y. Reducing the thickness of solid-state electrolyte membranes for high-energy lithium batteries. Energy Environ. Sci. 2021, 14, 12–36. [Google Scholar] [CrossRef]
- Yang, Y.; Li, W.; Zhou, N.; Shen, J. Design and construction of cross-linked PEO with the integration of helical polyurethane as an advanced all-solid-state polymer electrolyte for lithium batteries. J. Chem. Educ. 2020, 97, 3758–3765. [Google Scholar] [CrossRef]
- Luo, H.; Zhu, J.; Sahraei, E.; Xia, Y. Adhesion strength of the cathode in lithium-ion batteries under combined tension/shear loadings. RSC Adv. 2018, 8, 3996–4005. [Google Scholar] [CrossRef] [Green Version]











| Original Thickness a (μm) | Thickness a,b μm | tLi+ (80 °C) a | SPE Type | Ref. | |
|---|---|---|---|---|---|
| T1-00 | 100 ± 15 | 50 ± 15 | 0.73 ± 0.06 | pristine PEO | this work |
| 200 ± 40 | 124 ± 40 | 0.62 ± 0.03 | pristine PEO | this work | |
| 300 ± 15 | 158 ± 15 | 0.54 ± 0.05 | pristine PEO | this work | |
| 400 ± 40 | 220 ± 40 | 0.55 ± 0.02 | pristine PEO | this work | |
| 500 ± 25 | 350 ± 25 | 0.32 ± 0.04 | pristine PEO | this work | |
| T1-20 | 225 ± 30 | 225 ± 30 | 0.43 ± 0.03 | crosslinked SPE | this work |
| SPE-PEO | 80 | - | 0.21 | pristine PEO | [15] |
| PEO | 200 | - | 0.36 | pristine PEO | [14] |
| PEO@HPU | 150 | - | 0.46 | crosslinked SPE | [43] |
| PGMA−PEG | 100 | - | 0.234 | crosslinked SPE | [28] |
Publisher’s Note: MDPI stays neutral with regard to jurisdictional claims in published maps and institutional affiliations. |
© 2021 by the authors. Licensee MDPI, Basel, Switzerland. This article is an open access article distributed under the terms and conditions of the Creative Commons Attribution (CC BY) license (https://creativecommons.org/licenses/by/4.0/).
Share and Cite
Yu, T.-Y.; Yeh, S.-C.; Lee, J.-Y.; Wu, N.-L.; Jeng, R.-J. Epoxy-Based Interlocking Membranes for All Solid-State Lithium Ion Batteries: The Effects of Amine Curing Agents on Electrochemical Properties. Polymers 2021, 13, 3244. https://doi.org/10.3390/polym13193244
Yu T-Y, Yeh S-C, Lee J-Y, Wu N-L, Jeng R-J. Epoxy-Based Interlocking Membranes for All Solid-State Lithium Ion Batteries: The Effects of Amine Curing Agents on Electrochemical Properties. Polymers. 2021; 13(19):3244. https://doi.org/10.3390/polym13193244
Chicago/Turabian StyleYu, Tsung-Yu, Shih-Chieh Yeh, Jen-Yu Lee, Nae-Lih Wu, and Ru-Jong Jeng. 2021. "Epoxy-Based Interlocking Membranes for All Solid-State Lithium Ion Batteries: The Effects of Amine Curing Agents on Electrochemical Properties" Polymers 13, no. 19: 3244. https://doi.org/10.3390/polym13193244
APA StyleYu, T.-Y., Yeh, S.-C., Lee, J.-Y., Wu, N.-L., & Jeng, R.-J. (2021). Epoxy-Based Interlocking Membranes for All Solid-State Lithium Ion Batteries: The Effects of Amine Curing Agents on Electrochemical Properties. Polymers, 13(19), 3244. https://doi.org/10.3390/polym13193244

