Kinetics and Mechanism of Synthesis of Carboxyl-Containing N-Vinyl-2-Pyrrolidone Telehelics for Pharmacological Use
Abstract
:1. Introduction
2. Experimental
2.1. Materials and Methods
2.2. Study of the Polymerization (Telomerization) Kinetics of N-Vinyl-2-Pyrrolidone in the Presence of Sulfanylethanoic Acid and 3-Sulfanylpropanoic Acids
2.3. Determination of the Chain Transfer Constants for Sulfanyletanoic Acid and 3-Sulfanylpropanoic Acid
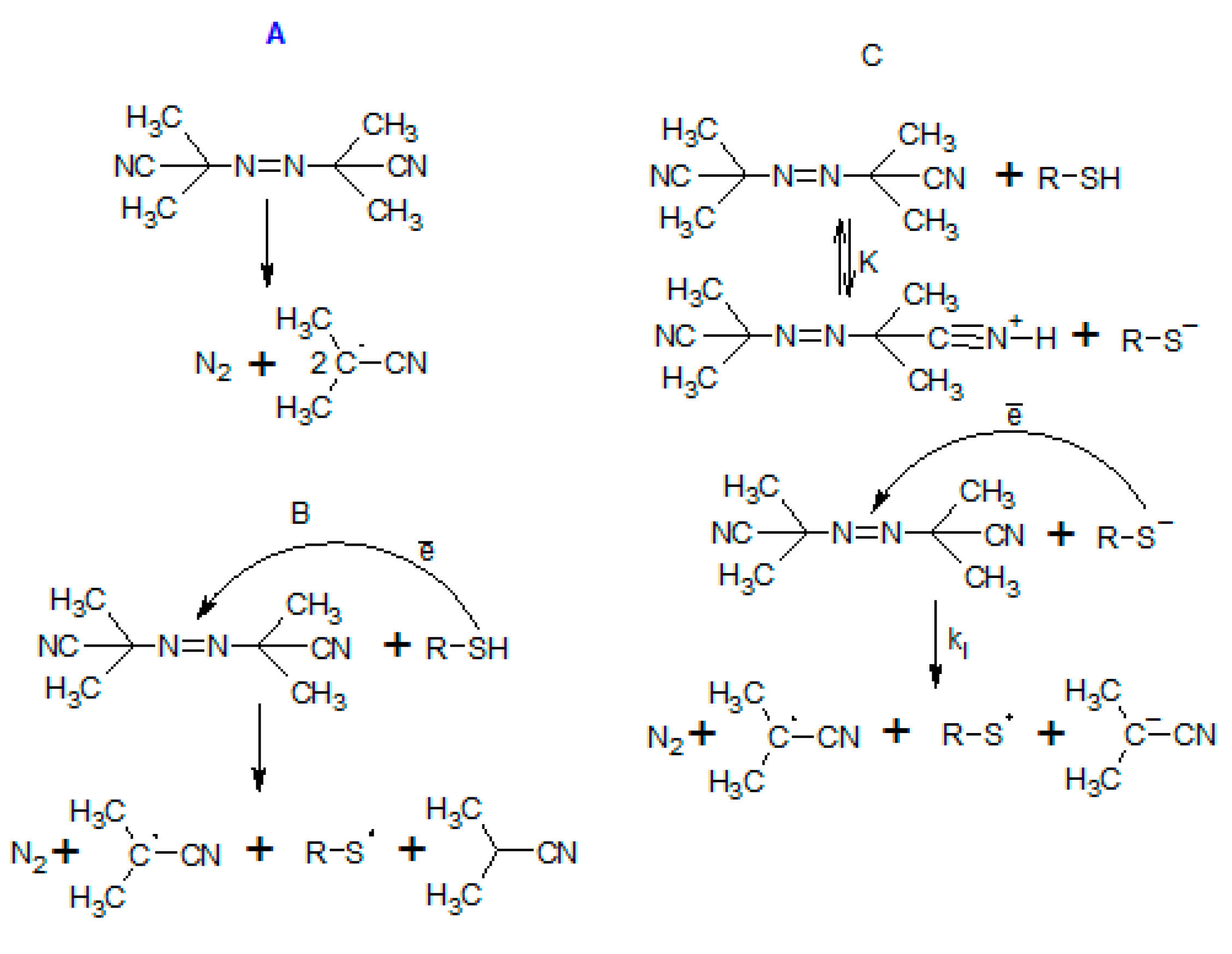
2.4. Interaction of AIBN with Sulfanylethanoic and 3-Sulfanylpropane Acids
2.5. Immobilization of Doxorubicin on the Telomere of N-Vinyl-2-Pyrrolidone with a Terminal Thioacetic Acid Residue and the Kinetics of Release of Bound Doxorubicin
3. Results and Discussion
4. Conclusions
Author Contributions
Funding
Institutional Review Board Statement
Informed Consent Statement
Data Availability Statement
Conflicts of Interest
References
- Schwarz, W. PVP: A Critical Review of the Kinetics and Toxicology of Polyvinylpyrrolidone (Povidone), 1st ed.; CRC Press: Boca Raton, FL, USA, 1990. [Google Scholar]
- Nair, B. Final report on the safety assessment of Polyvinylpyrrolidone (PVP). Int. J. Toxicol. 1998, 17, 95–130. [Google Scholar] [CrossRef]
- Yang, M.; Xie, S.; Li, Q.; Wang, Y.; Chang, X.; Shan, L.; Sun, L.; Huang, X.; Gao, C. Effects of polyvinylpyrrolidone both as a binder and pore-former on the release of sparingly water-soluble topiramate from ethylcellulose coated pellets. Int. J. Pharm. 2014, 465, 187–196. [Google Scholar] [CrossRef]
- Hita-Iglesias, P.; Torres-Lagares, D.; Gutiérrez-Pérez, J.L. Evaluation of the clinical behavior of a polyvinylpyrrolidone and sodium hyalonurate gel (Gelclair) in patients subjected to surgical treatment with CO2 laser. Int. J. Oral Maxillofac. Surg. 2006, 35, 514–517. [Google Scholar] [CrossRef]
- Ma, R.; Xiong, D.; Miao, F.; Zhang, J.; Peng, Y. Novel PVP/PVA hydrogels for articular cartilage replacement. Mater. Sci. Eng. C 2009, 29, 1979–1983. [Google Scholar] [CrossRef]
- Kamal Hossen, M.; Alaul Azim, M.; Sarwaruddin Chowdhury, A.M.; Dafader, N.C.; Haque, M.E.; Akter, F. Characterization of poly(vinyl alcohol) and poly(vinyl pyrrolidone) co-polymer blend hydrogel prepared by application of gamma radiation. Polym. Plast. Technol. Eng. 2008, 47, 662–665. [Google Scholar] [CrossRef]
- Dafader, N.C.; Haque, M.E.; Akhtar, F. Synthesis of hydrogel from aqueous solution of poly(vinyl pyrrolidone) with agar by Gamma-rays irradiation. Polym. Plast. Technol. Eng. 2005, 44, 243–251. [Google Scholar] [CrossRef]
- Abbaszadeh, F.; Moradi, O.; Norouzi, M.; Sabzevari, O. Improvement single-wall carbon nanotubes (SWCNTs) based on functionalizing with monomers 2-hydroxyethylmethacryate (HEMA) and N-vinylpyrrolidone (NVP) for pharmaceutical applications as cancer therapy. J. Ind. Eng. Chem. 2013, 20, 2895–2900. [Google Scholar] [CrossRef]
- Bailly, N.; Thomas, M.; Klumperman, B. Poly(N-vinylpyrrolidone)- block-poly(vinyl acetate) as a drug delivery vehicle for hydrophobic drugs. Biomacromolecules 2012, 13, 4109–4117. [Google Scholar] [CrossRef] [PubMed]
- Kubin, A.; Loew, H.G.; Burner, U.; Jessner, G.; Kolbabek, H.; Wierrani, F. How to make hypericin water-soluble. Pharmazie 2008, 63, 263–269. [Google Scholar] [PubMed]
- Kariduraganavar, M.Y.; Kittur, A.A.; Kamble, R.R. Polymer synthesis and processing. In Natural and Synthetic Biomedical Polymers, 1st ed.; Elsevier Inc.: Amsterdam, The Netherlands, 2014; pp. 1–31. [Google Scholar]
- Afrasiabi Garekani, H.; Sadeghi, F.; Ghazi, A. Increasing the aqueous solubility of acetaminophen in the presence of polyvinylpyrrolidone and investigation of the mechanisms involved. Drug Develop. Industr. Pharm. 2003, 29, 173–179. [Google Scholar] [CrossRef]
- Wang, W.; Li, M.; Yang, Q.; Liu, Q.; Ye, M.; Yang, G. The opposed effects of polyvinylpyrrolidone K30 on dissolution and precipitation for indomethacin supersaturating drug delivery systems. AAPS PharmSciTech 2020, 21, 107. [Google Scholar] [CrossRef]
- Teodorescu, M.; Bercea, M. Poly(vinylpyrrolidone)—A versatile polymer for biomedical and beyond medical applications. Polym. Plast. Technol. Eng. 2015, 54, 923–943. [Google Scholar] [CrossRef]
- Kuskov, A.N.; Kulikov, P.P.; Goryachaya, A.V.; Tzatzarakis, M.N.; Docea, A.O.; Velonia, K.; Shtilman, M.I.; Tsatsakis, A.M. Amphiphilic poly-N-vinylpyrrolidone nanoparticles as carriers for non-steroidal, anti-inflammatory drugs: In Vitro cytotoxicity and In Vivo acute toxicity study. Nanomed. Nanotechnol. Biol. Med. 2017, 13, 1021–1030. [Google Scholar] [CrossRef]
- Martins, R.M.; Pereira, S.V.; Siqueira, S.; Salomão, W.F.; Freitas, L.A.P. Curcuminoid content and antioxidant activity in spray dried microparticles containing turmeric extract. Food Res. Int. 2013, 50, 657–663. [Google Scholar] [CrossRef] [Green Version]
- Chowdhury, P.; Nagesh, P.K.B.; Khan, S.; Hafeez, B.B.; Chauhan, S.C.; Jaggi, M.; Yallapu, M.M. Development of polyvinylpyrrolidone/paclitaxel self-assemblies for breast cancer. Acta Pharm. Sin. B 2018, 8, 602–614. [Google Scholar] [CrossRef] [PubMed]
- Ramalingam, V.; Varunkumar, K.; Ravikumar, V.; Rajaram, R. Target delivery of doxorubicin tethered with PVP stabilized gold nanoparticles for effective treatment of lung cancer. Sci. Rep. 2018, 8, 3815. [Google Scholar] [CrossRef]
- Franco, P.; De Marco, I. The use of Poly(N-vinyl pyrrolidone) in the delivery of drugs: A review. Polymers 2020, 12, 1114. [Google Scholar] [CrossRef] [PubMed]
- Kurakula, M.; Rao, G. Pharmaceutical assessment of polyvinylpyrrolidone (PVP): As excipient from conventional to controlled delivery systems with a spotlight on COVID-19 inhibition. J. Drug Deliv. Sci. Technol. 2020, 60, 102046. [Google Scholar] [CrossRef] [PubMed]
- Mady, L.J.; Kubik, M.W.; Baddour, K.; Snyderman, C.H.; Rowan, N.R. Consideration of povidone-iodine as a public health intervention for COVID-19: Utilization as “Personal Protective Equipment” for frontline providers exposed in high-risk head and neck and skull base oncology care. Oral Oncol. 2020, 105, 104724. [Google Scholar] [CrossRef] [PubMed]
- Sarma, P.; Kaur, H.; Medhi, B.; Bhattacharyya, A. Possible prophylactic or preventive role of topical povidone iodine during accidental ocular exposure to 2019-nCoV. Graefes Arch. Clin. Exp. Ophthalmol. 2020, 258, 2563–2565. [Google Scholar] [CrossRef]
- Anderson, D.E.; Sivalingam, V.; Kang, A.E.Z.; Ananthanarayanan, A.; Arumugam, H.; Jenkins, T.M.; Hadjiat, Y.; Eggers, M. Povidone-iodine demonstrates rapid in vitro virucidal activity against SARS-CoV-2, the virus causing COVID-19 disease. Infect. Dis. Ther. 2020, 9, 669–675. [Google Scholar] [CrossRef]
- Kuskov, A.N.; Shtil’man, M.I.; Tsatsakis, A.M.; Torchilin, V.P.; Yamskov, I.A. Synthesis of Amphiphilic N-Vinylpyrrolidone and acrylamide polymers of various structures. Russ. J. Appl. Chem. 2005, 78, 806–810. [Google Scholar] [CrossRef]
- Berdiaki, A.; Perisynaki, E.; Stratidakis, A.; Kulikov, P.P.; Kuskov, A.N.; Stivaktakis, P.; Henrich-Noack, P.; Luss, A.L.; Shtilman, M.I.; Tzanakakis, G.N.; et al. Assessment of amphiphilic poly-N-vinylpyrrolidone nanoparticles’ biocompatibility with endothelial cells In Vitro and delivery of an anti-inflammatory drug. Mol. Pharm. 2020, 17, 4212–4225. [Google Scholar] [CrossRef]
- Luss, A.L.; Kulikov, P.P.; Romme, S.B.; Andersen, C.L.; Pennisi, C.P.; Docea, A.O.; Kuskov, A.N.; Velonia, K.; Mezhuev, Y.O.; Shtilman, M.I.; et al. Nanosized carriers based on amphiphilic poly-N-vinyl-2-pyrrolidone for intranuclear drug delivery. Nanomedicine 2018, 13, 703–715. [Google Scholar] [CrossRef] [PubMed] [Green Version]
- Senogles, E.; Thomas, R. Polymerization kinetics of N–vinyl pyrrolidone. J. Polym. Sci. Symp. 1975, 49, 203–210. [Google Scholar] [CrossRef]
- Karaputadze, T.M.; Shumskii, V.I.; Kirsh, Y.E. Effect of the type of solvent on radical polymerization of N-vinylpyrrolidone. Polym. Sci. USSR 1978, 20, 2084–2091. [Google Scholar] [CrossRef]
- Srivastava, S.; Srivastava, A.K. Synthesis and characterization of poly(N-vinyl pyrrolidone) initiated by stibonium ylide. Des. Monomers Polym. 2006, 9, 29–39. [Google Scholar] [CrossRef]
- Neethu, T.; Ethayaraja, M. Mechanism and modeling of poly[vinylpyrrolidone] (PVP) facilitated synthesis of silver nanoplates. Phys. Chem. Chem. Phys. 2018, 20, 15507–15517. [Google Scholar]
- Li, D.; Laroui, A.; Ma, S.; Wang, J.; Wang, D.; Kelland, M.A.; Dong, J. Tetrahydrofuran hydrate crystal growth inhibition with synergistic mixtures: Insight into gas hydrate inhibition mechanisms. Energy Fuels 2020, 34, 13664–13672. [Google Scholar] [CrossRef]
- Kokkorogianni, O.; Kontoes-Georgoudakis, P.; Athanasopoulou, M.; Polizos, N.; Pitsikalis, M. Statistical copolymers of N-vinylpyrrolidone and isobornyl methacrylate via free radical and RAFT polymerization: Monomer reactivity ratios, thermal properties, and kinetics of thermal decomposition. Polymers 2021, 13, 778. [Google Scholar] [CrossRef]
- Atanase, L.I.; Winninger, J.; Delaite, C.; Riess, G. Reversible addition–fragmentation chain transfer synthesis and micellar characteristics of biocompatible amphiphilic poly(vinyl acetate)-graft-poly(N-vinyl-2-pyrrolidone) copolymers. Eur. Polym. J. 2014, 53, 109–117. [Google Scholar] [CrossRef]
- Lu, X.; Gong, S.; Meng, L.; Li, C.; Yang, S.; Zhang, L. Controllable synthesis of poly(N-vinylpyrrolidone) and its block copolymers by atom transfer radical polymerization. Polymer 2007, 48, 2835–2842. [Google Scholar] [CrossRef]
- Bamford, C.H.; Schofield, E.; Michael, D.J. Non-classical free-radical polymerization: 5. The purification and polymerization of 1-vinyl-2-pyrrolidone. Polymer 1985, 26, 945–950. [Google Scholar] [CrossRef]
- Gupta, K.C. Kinetics of radical polymerization of N-vinylpyrrolidone by peroxidiphosphate—Ag+ system. J. Appl. Polym. Sci. 1994, 53, 71–78. [Google Scholar] [CrossRef]
- Cizravi, J.C.; Tay, T.Y.; Pon, E.C. Kinetics of azo-initiated 1-vinyl-2-pyrrolidone polymerizations at low conversions in aqueous media. J. Appl. Polym. Sci. 2000, 75, 239–246. [Google Scholar] [CrossRef]
- Aldea, A.; Albu, A.-M.; Nicolescu, A.; Tecuceanu, V. Kinetics of free radical polymerization of N-substituted amides and their structural implications. Adv. Mater. Sci. Eng. 2016, 2016, 6430416. [Google Scholar] [CrossRef] [Green Version]
- Ulrich, K.; Jakob, U. The role of thiols in antioxidant systems. Free Radic. Biol. Med. 2019, 140, 14–27. [Google Scholar] [CrossRef]
- Dutta, K.; Brar, A.S. Poly(vinylpyrrolidone): Configurational assignments by one- and two-dimensional NMR spectroscopy. J. Polym. Sci. Part A Polym. Chem. 1999, 37, 3922–3928. [Google Scholar] [CrossRef]
- Thorn, C.F.; Oshiro, C.; Marsh, S.; Hernandez-Boussard, T.; McLeod, H.; Klein, T.E.; Altman, R.B. Doxorubicin pathways: Pharmacodynamics and adverse effects. Pharm. Genomics 2011, 21, 440–446. [Google Scholar] [CrossRef]
- Lee, C.S.; Kim, T.W.; Oh, D.E.; Bae, S.O.; Ryu, J.; Kong, H.; Jeon, H.; Seo, H.K.; Jeon, S.; Kim, T.H. In Vivo and In Vitro anticancer activity of doxorubicin-loaded DNA-AuNP nanocarrier for the ovarian cancer treatment. Cancers 2020, 12, 634. [Google Scholar] [CrossRef] [Green Version]
- Agudelo, D.; Bourassa, P.; Bérubé, G.; Tajmir-Riahi, H.A. Review on the binding of anticancer drug doxorubicin with DNA and tRNA: Structural models and antitumor activity. J. Photochem. Photobiol. B Biol. 2016, 158, 274–279. [Google Scholar] [CrossRef] [PubMed]
- Zhao, L.; Zhang, B. Doxorubicin induces cardiotoxicity through upregulation of death receptors mediated apoptosis in cardiomyocytes. Sci. Rep. 2017, 7, 44735. [Google Scholar] [CrossRef] [Green Version]
- Octavia, Y.; Tocchetti, C.G.; Gabrielson, K.L.; Janssens, S.; Crijns, H.J.; Moens, A.L. Doxorubicin-induced cardiomyopathy: From molecular mechanisms to therapeutic strategies. J. Mol. Cell. Cardiol. 2012, 52, 1213–1225. [Google Scholar] [CrossRef] [Green Version]
- Kalyanaraman, B. Teaching the basics of the mechanism of doxorubicin-induced cardiotoxicity: Have we been barking up the wrong tree? Redox Biol. 2020, 29, 101394. [Google Scholar] [CrossRef]
- Bansal, N.; Adams, M.J.; Ganatra, S.; Colan, S.D.; Aggarwal, S.; Steiner, R.; Amdani, S.; Lipshultz, E.R.; Lipshultz, S.E. Strategies to prevent anthracycline-induced cardiotoxicity in cancer survivors. Cardio Oncol. 2019, 5, 18. [Google Scholar] [CrossRef] [PubMed] [Green Version]











Publisher’s Note: MDPI stays neutral with regard to jurisdictional claims in published maps and institutional affiliations. |
© 2021 by the authors. Licensee MDPI, Basel, Switzerland. This article is an open access article distributed under the terms and conditions of the Creative Commons Attribution (CC BY) license (https://creativecommons.org/licenses/by/4.0/).
Share and Cite
Kuskov, A.N.; Luss, A.L.; Gritskova, I.A.; Shtilman, M.I.; Motyakin, M.V.; Levina, I.I.; Nechaeva, A.M.; Sizova, O.Y.; Tsatsakis, A.M.; Mezhuev, Y.O. Kinetics and Mechanism of Synthesis of Carboxyl-Containing N-Vinyl-2-Pyrrolidone Telehelics for Pharmacological Use. Polymers 2021, 13, 2569. https://doi.org/10.3390/polym13152569
Kuskov AN, Luss AL, Gritskova IA, Shtilman MI, Motyakin MV, Levina II, Nechaeva AM, Sizova OY, Tsatsakis AM, Mezhuev YO. Kinetics and Mechanism of Synthesis of Carboxyl-Containing N-Vinyl-2-Pyrrolidone Telehelics for Pharmacological Use. Polymers. 2021; 13(15):2569. https://doi.org/10.3390/polym13152569
Chicago/Turabian StyleKuskov, Andrey N., Anna L. Luss, Inessa A. Gritskova, Mikhail I. Shtilman, Mikhail V. Motyakin, Irina I. Levina, Anna M. Nechaeva, Oksana Yu. Sizova, Aristidis M. Tsatsakis, and Yaroslav O. Mezhuev. 2021. "Kinetics and Mechanism of Synthesis of Carboxyl-Containing N-Vinyl-2-Pyrrolidone Telehelics for Pharmacological Use" Polymers 13, no. 15: 2569. https://doi.org/10.3390/polym13152569
APA StyleKuskov, A. N., Luss, A. L., Gritskova, I. A., Shtilman, M. I., Motyakin, M. V., Levina, I. I., Nechaeva, A. M., Sizova, O. Y., Tsatsakis, A. M., & Mezhuev, Y. O. (2021). Kinetics and Mechanism of Synthesis of Carboxyl-Containing N-Vinyl-2-Pyrrolidone Telehelics for Pharmacological Use. Polymers, 13(15), 2569. https://doi.org/10.3390/polym13152569

