Design of Experiment Approach to Optimize Hydrophobic Fabric Treatments
Abstract
:1. Introduction
2. Materials and Methods
2.1. Samples
2.2. Reagents and Chemicals
2.3. Textile Finishing Treatment
2.4. Determination of Water Vapor Permeability
2.5. Resistance to Surface Wetting
2.6. Mathematical and Statistical Procedures
3. Results
3.1. Optimization by Design of Experiments
3.2. ANNOVA Report
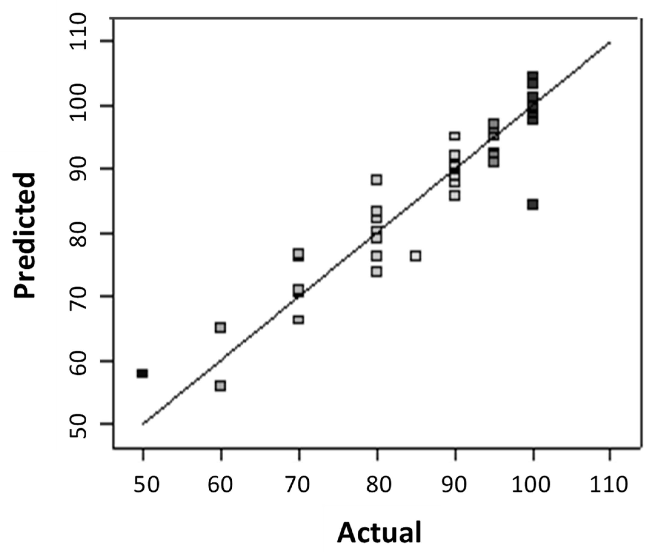
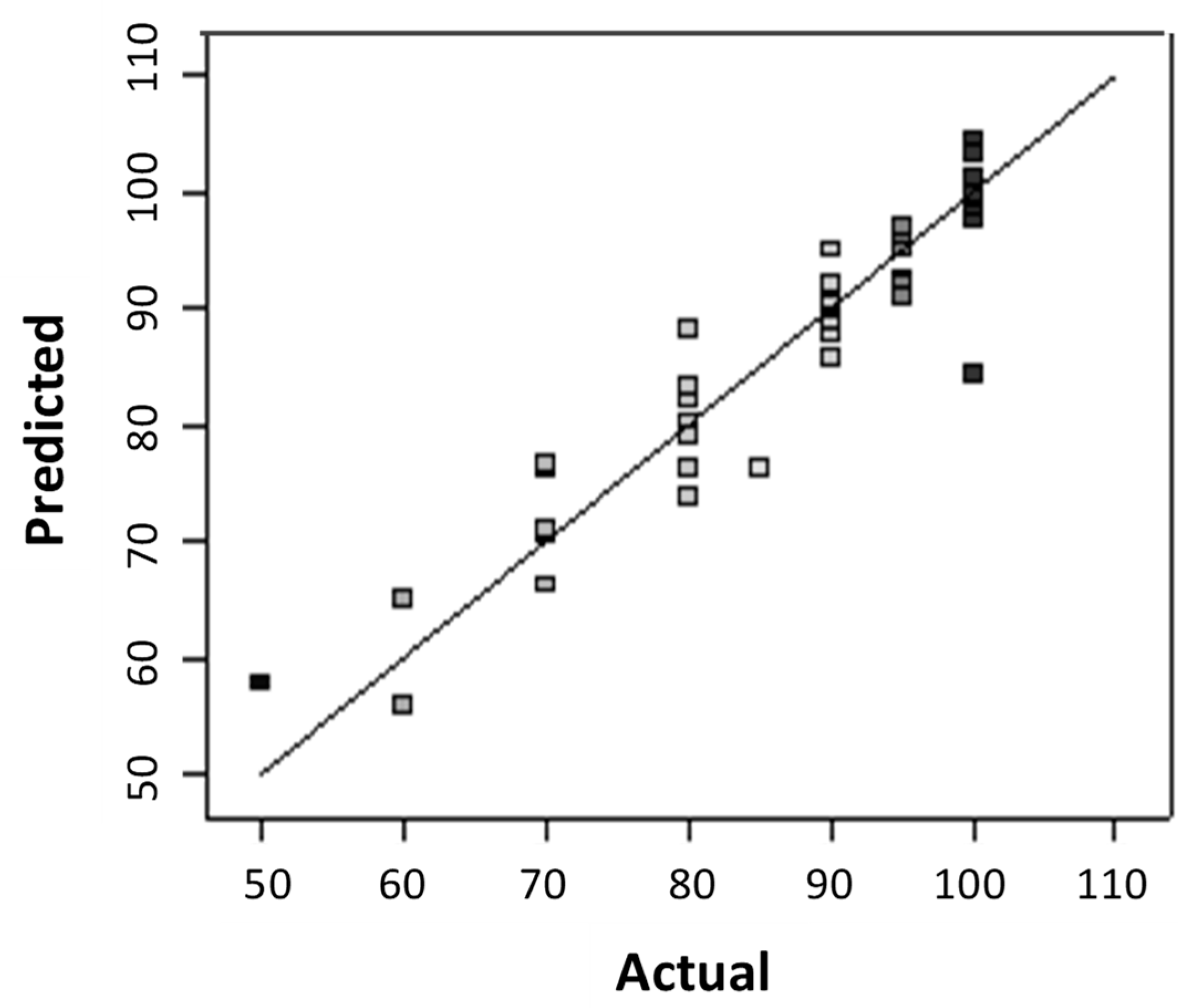
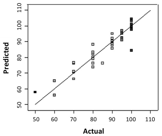
3.3. Significant Graphics
3.4. Selectivity
3.5. Optimization Using Response Surface Methodology
4. Conclusions
- -
- Sevophob HFK–F and Tubiquard SCS–F are efficient hydrophobic reagents, with Sevophob HFK–F being much more efficient but ecologically unacceptable.
- -
- Central composite design of experiments was used based on 42 preliminary experiments in order to investigate six process parameters within laboratory scale optimization, to find an alternative solution using Tubiquard SCS-F with six C atoms.
- -
- An Ecologically favorable optimum using a fluorocarbon with six C atoms (68.802 g/L, Tubiquard) surpassed all the test results by 21.15%. It was found at 154.3 °C, 1.05 bar, 56.07 g/L dye, 220 g/m2 fabric.
Author Contributions
Funding
Conflicts of Interest
Abbreviations
| ASTM | American Society for Testing and Materials |
| EN ISO | European Norm |
| ISO | International Organization for Standardization |
| HT | high tension |
| PA | polyamide |
References
- Sayed, U.; Dabhi, P. Finishing of textiles with fluorocarbons. In The Textile Institute Book Series Waterproof and Water Repellent Textiles and Clothing, Chapter 6; Williams, J., Ed.; Mahendra Publications; Woodhead Publishing: Cambridge, UK; Sawston, UK, 2014; pp. 139–153. [Google Scholar]
- Rezić, I.; Krstić, D.; Bokić, L. Ultrasonic extraction of resins from an historical textile. Ultrason. Sonochem. 2008, 15, 21–24. [Google Scholar] [CrossRef] [PubMed]
- Audenaert, F.; Lens, H.; Rolly, D.; Vander Elst, P. Fluoro-chemical textile repellents—Synthesis, and applications: A 3M perspective. J. Text. Inst. 1999, 90, 76–94. [Google Scholar] [CrossRef]
- Schindler, W.; Hauser, P. Chemical Finishing of Textiles; Woodhead Publishing Ltd.: Boca Raton, FL, USA; Cambridge, UK, 2004; pp. 74–91. [Google Scholar]
- Kissa, E.; Lewin, M.; Sello, S. Handbook of Fiber Science and Technology, Chemical Processing of Fibers and Fabrics, Part B Functional Finishes; Marcel Dekker: New York, NY, USA, 1984; Volume 2, p. 143. [Google Scholar]
- Holmes, D.; Horrocks, A.; Anand, S. (Eds.) Handbook of Technical Textiles; Woodhead Publishing Ltd.: Cambridge, UK, 2000; p. 461. [Google Scholar]
- Lu, D.; Sha, S.; Luo, J.; Huang, Z.; Zhang Jackie, X. Treatment train approaches for the remediation of per- and polyfluoroalkyl substances PFAS: A. critical review. J. Hazard. Mater. 2020, 386, 121963. [Google Scholar] [CrossRef] [PubMed]
- Gibson, P. Water-repellent Treatment on Military Uniform Fabrics: Physiological and Comfort. J. Ind. Text. 2008, 38, 43–54. [Google Scholar] [CrossRef]
- Murray, C.C.; Vatankhah, H.; McDonough, C.A.; Nickerson, A.; Hedtke, T.T.; Higgins, C.P.; Bellona, C.L. Removal of per- and polyfluoroalkyl substances using super-fine powder activated carbon and ceramic membrane filtration. J. Hazard. Mater. 2019, 366, 160–168. [Google Scholar] [CrossRef]
- Zahid, M.; Heredia-Guerrero, J.A.; Athanassiou, A.; Bayer, I.S. Robust water repellent treatment for woven cotton fabrics with eco-friendly polymers. Chem. Eng. J. 2017, 319, 321–332. [Google Scholar] [CrossRef]
- Moussa, A.; Marzoug, I.B.; Bouchereb, H. Development and optimisation of waterproof breathable double-sided knitting using a factorial experimental design. J. Ind. Text. 2015, 45, 437–466. [Google Scholar] [CrossRef]
- Ravindra, D.; Kale, D.; Vade, A.; Potdar, T. Optimization study for Waterproof breathable Polyester fabric. Int. J. Innov. Res. Technol. 2016, 3, 16–24. [Google Scholar]
- Huo, L.; Huang, X.; Li, J.; Guo, Z.; Gao, Q.; Hu, M.; Xue, H.; Gao, J. Superhydrophobic and multi-responsive fabric composite with excellent electro-photo-thermal effect and electromagnetic interference shielding performance. Chem. Eng. J. 2019, 123537, in press, corrected proof. [Google Scholar] [CrossRef]
- Peng, W.; Qin, H.; Zhao, M.; Zhao, X.; Guo, Z. Creation of a multifunctional superhydrophobic coating for composite insulators. Chem. Eng. J. 2018, 352, 774–781. [Google Scholar] [CrossRef]
- Wang, J.; He, J.; Ma, L.; Zhang, Y.; Shen, L.; Xiong, S.; Li, K.; Qu, M. Multifunctional conductive cellulose fabric with flexibility, superamphiphobicity and flame-retardancy for all-weather wearable smart electronic textiles and high-temperature warning device. Chem. Eng. J. 2020, 390, 124508. [Google Scholar] [CrossRef]
- Nabil, B.; Christine, C.; Julien, V.; Abdelkrim, A. Polyfunctional cotton fabrics with catalytic activity and antibacterial capacity. Chem. Eng. J. 2018, 351, 328–339. [Google Scholar] [CrossRef]
- Rezić, I. Determination of engineered nanoparticles on textiles and in textile wastewaters. TrAC Trends Anal. Chem. 2011, 30, 1159–1167. [Google Scholar] [CrossRef]
- Mukhopadhyay, A.; Midha, V.K. A Review on Designing the Waterproof Breathable Fabrics Part I: Fundamental Principles and Designing Aspects of Breathable Fabrics. J. Ind. Text. 2008, 37, 225–262. [Google Scholar] [CrossRef]
- Coronado, M.; Segadães, A.M.; Andrés, A. Using mixture design of experiments to assess the environmental impact of clay-based structural ceramics containing foundry wastes. J. Hazard. Mater. 2015, 299, 529–539. [Google Scholar] [CrossRef] [PubMed]
- Wahla, A.Q.; Iqbal, S.; Anwar, S.; Firdous, S.; Mueller, J.A. Optimizing the metribuzin degrading potential of a novel bacterial consortium based on Taguchi design of experiment. J. Hazard. Mater. 2019, 366, 1–9. [Google Scholar] [CrossRef]
- Rezić, I. Prediction of the surface tension of surfactants mixtures for detergent formulation using Design Expert software. Mon. Chem. 2011, 142, 1219–1225. [Google Scholar] [CrossRef]
- Rezić, T.; Rezić, I.; Blaženović, I.; Šantek, B. Optimization of corrosion process of stainless steel coating during cleaning in steel brewery tanks. Mater. Corros. 2013, 64, 321–327. [Google Scholar] [CrossRef]
- Andlar, M.; Rezić, I.; Oros, D.; Kracher, D.; Ludwig, R.; Rezić, T.; Šantek, B. Optimization of enzymatic sugar beet hydrolysis in a horizontal rotating tubular bioreactor. J. Chem. Technol. Biotechnol. 2017, 92, 623–632. [Google Scholar] [CrossRef]
- United States Environmental Protection Agency. EPA’s Per- and Polyfluoroalkyl Substances PFAS Action Plan; EPA 823R18004; United States Environmental Protection Agency: Washington, DC, USA, 2019. Available online: https://www.epa.gov/pfas (accessed on 2 May 2020).
- Arabuli, S.; Vlasenko, V.; Havelka, A.; Kus, Z. Analysis of Modern Methods for Measuring Vapor Permeability Properties of Textiles. In Proceedings of the 7th International Conference—TEXSCI, Liberec, Czech Republic, 6–8 September 2010. [Google Scholar]
- ISO 4920:2012 Textile Fabrics—Determination of Resistance to Surface Wetting Spray Test; International Organization for Standardization: Geneva, Switzerland, 2012.
- Rezić, I. Optimization of ultrasonic extraction of 23 elements from cotton. Ultrason. Sonochem. 2009, 16, 63–69. [Google Scholar] [CrossRef]
- Zahid, M.; Mazzon, G.; Athanassiou, A.; Bayer, I.S. Environmentally benign non-wettable textile treatments: A review of recent state-of-the-art. Adv. Colloid Interface Sci. 2019, 270, 216–250. [Google Scholar] [CrossRef] [PubMed]










| Weight, g/m2 | Fabric Composition | Density, Thread per 1 cm | Yarn Count, Tex * | Construction of Fabric | ||
|---|---|---|---|---|---|---|
| Warp | Weft | Warp | Weft | |||
| 190 | 50% cordura (PA 6.6. Type 420 HT dull)/50% cotton | 35.8 | 19.5 | 14 × 2 tex | 14 × 2 tex | Ripstop (square 7 ± 1 mm × 7 ± 1 mm) |
| 220 | 35.8 | 20.5 | 14 × 2 tex | 38.4 × 1 tex | ||
| 240 | 35.8 | 20.5 | 15 × 2 tex | 50 × 1 tex | ||
| PARAMETERS | RESPONSES | |||||||
|---|---|---|---|---|---|---|---|---|
| Random Run | Fabric Weight g/m2 | Dye Concentration g/L | Concentration of Hydrophobic Compound FC, g/L | Temperature °C | Pressure Bar | Type of Hydrophobic Compound | WVP, g/m2, 24 h | Resistance to Water Wetting |
| 1 | 240 | 60 | 70 | 170 | 1.66 | Tubiquard SCS-F | 1658 | 70 |
| 2 | 190 | 60 | 70 | 150 | 1 | Tubiquard SCS-F | 2090 | 80 |
| 3 | 220 | 40 | 35 | 161 | 1.85 | Sevophob HFK-F | 1646 | 90 |
| 4 | 190 | 59.2 | 47.6 | 159.8 | 1.39 | Sevophob HFK-F | 1824 | 90 |
| 5 | 240 | 10 | 62.1 | 166.5 | 1.43 | Tubiquard SCS-F | 1738 | 100 |
| 6 | 220 | 60 | 70 | 164 | 1.3 | Sevophob HFK-F | 1517 | 90 |
| 7 | 220 | 29 | 70 | 153 | 1.77 | Tubiquard SCS-F | 1963 | 60 |
| 8 | 220 | 40 | 41.8 | 160.7 | 1.2 | Tubiquard SCS-F | 1196 | 70 |
| 9 | 240 | 16.5 | 38.2 | 170 | 1.38 | Tubiquard SCS-F | 1617 | 80 |
| 10 | 190 | 22.8 | 35 | 150 | 2 | Sevophob HFK-F | 2000 | 95 |
| 11 | 190 | 13.8 | 60.2 | 157.4 | 1.66 | Tubiquard SCS-F | 1466 | 80 |
| 12 | 190 | 13.8 | 60.2 | 157.4 | 1.66 | Tubiquard SCS-F | 1390 | 80 |
| 13 | 220 | 52.5 | 35 | 170 | 1 | Sevophob HFK-F | 1765 | 95 |
| 14 | 240 | 35 | 50.9 | 159.9 | 2 | Tubiquard SCS-F | 1463 | 70 |
| 15 | 240 | 30.0 | 67.9 | 170 | 2 | Tubiquard SCS-F | 1522 | 80 |
| 16 | 240 | 10 | 70 | 164.6 | 2 | Sevophob HFK-F | 1696 | 100 |
| 17 | 220 | 49.8 | 61.3 | 150.3 | 1.05 | Sevophob HFK-F | 1926 | 100 |
| 18 | 190 | 12.8 | 70 | 150 | 1 | Sevophob HFK-F | 1770 | 95 |
| 19 | 190 | 13.5 | 70 | 170 | 1 | Tubiquard SCS-F | 1825 | 80 |
| 20 | 220 | 60 | 51.7 | 150 | 2 | Tubiquard SCS-F | 2007 | 80 |
| 21 | 220 | 10 | 54.5 | 158 | 1.25 | Sevophob HFK-F | 1247 | 100 |
| 22 | 240 | 35 | 68.0 | 166.0 | 1 | Sevophob HFK-F | 1720 | 100 |
| 23 | 240 | 60 | 35 | 150 | 1.59 | Tubiquard SCS-F | 1560 | 70 |
| 24 | 220 | 10 | 35 | 150 | 2 | Tubiquard SCS-F | 1296 | 60 |
| 25 | 240 | 60 | 42.7 | 170 | 2 | Sevophob HFK-F | 1362 | 90 |
| 26 | 240 | 60 | 70 | 150.5 | 2 | Sevophob HFK-F | 1558 | 90 |
| 27 | 240 | 26.9 | 54.3 | 150 | 1.52 | Sevophob HFK-F | 1653 | 90 |
| 28 | 190 | 59.2 | 47.6 | 159.8 | 1.39 | Sevophob HFK-F | 1647 | 95 |
| 29 | 240 | 10 | 70 | 150 | 1 | Tubiquard SCS-F | 1585 | 50 |
| 30 | 240 | 56.3 | 61.1 | 155.9 | 1.45 | Tubiquard SCS-F | 1796 | 85 |
| 31 | 240 | 27.0 | 54.3 | 150 | 1.52 | Sevophob HFK-F | 1995 | 95 |
| 32 | 240 | 10 | 35 | 157.5 | 1 | Sevophob HFK-F | 1834 | 100 |
| 33 | 220 | 60 | 35 | 150 | 1 | Sevophob HFK-F | 1720 | 95 |
| 34 | 190 | 60 | 35 | 169.5 | 2 | Tubiquard SCS-F | 1973 | 90 |
| 35 | 190 | 10 | 35 | 170 | 1.6 | Sevophob HFK-F | 1892 | 100 |
| 36 | 240 | 60 | 47.3 | 166 | 1 | Tubiquard SCS-F | 1560 | 90 |
| 37 | 220 | 10 | 53.7 | 170 | 2 | Tubiquard SCS-F | 1457 | 80 |
| 38 | 220 | 31.8 | 70 | 159 | 1.01 | Tubiquard SCS-F | 1783 | 80 |
| 39 | 220 | 40 | 35 | 161 | 1.85 | Sevophob HFK-F | 1521 | 95 |
| 40 | 190 | 29.5 | 40.3 | 150 | 1 | Tubiquard SCS-F | 1596 | 70 |
| 41 | 220 | 40 | 41.8 | 160.7 | 1.2 | Tubiquard SCS-F | 1723 | 70 |
| 42 | 190 | 37.5 | 63.7 | 170 | 1.95 | Sevophob HFK-F | 1711 | 95 |
| Nr. | A | B | C | D | E | F | Resistance to Water Wetting, % PREDICTED | Resistance to Water Wetting, % EXPERIMENT | Water Vapor Permeability PREDICTED g/m2 | Water Vapor Permeability EXPERIMENT g/m2 |
|---|---|---|---|---|---|---|---|---|---|---|
| 1. | 190 | 16.931 | 41.066 | 168.903 | 1.046 | Sevophob | 102 | 100 | 2670 | 2609 |
| 2. | 220 | 56.067 | 68.802 | 154.276 | 1.048 | Tubiquard | 100 | 100 | 2176 | 2620 |
| 3. | 240 | 11.106 | 38.815 | 152.460 | 1.908 | Sevophob | 88 | 100 | 2355 | 2530 |
© 2020 by the authors. Licensee MDPI, Basel, Switzerland. This article is an open access article distributed under the terms and conditions of the Creative Commons Attribution (CC BY) license (http://creativecommons.org/licenses/by/4.0/).
Share and Cite
Rezić, I.; Kiš, A. Design of Experiment Approach to Optimize Hydrophobic Fabric Treatments. Polymers 2020, 12, 2131. https://doi.org/10.3390/polym12092131
Rezić I, Kiš A. Design of Experiment Approach to Optimize Hydrophobic Fabric Treatments. Polymers. 2020; 12(9):2131. https://doi.org/10.3390/polym12092131
Chicago/Turabian StyleRezić, Iva, and Ana Kiš. 2020. "Design of Experiment Approach to Optimize Hydrophobic Fabric Treatments" Polymers 12, no. 9: 2131. https://doi.org/10.3390/polym12092131
APA StyleRezić, I., & Kiš, A. (2020). Design of Experiment Approach to Optimize Hydrophobic Fabric Treatments. Polymers, 12(9), 2131. https://doi.org/10.3390/polym12092131

