The Difference in Molecular Orientation and Interphase Structure of SiO2/Shape Memory Polyurethane in Original, Programmed and Recovered States during Shape Memory Process
Abstract
1. Introduction
2. Experimental
2.1. Preparation of the SiO2/SMPU Composite
2.1.1. Raw Materials
2.1.2. SiO2/SMPU Synthesis
2.2. Characterization Method
2.2.1. DMA Test
2.2.2. Scanning Electron Microscope (SEM) Observations
2.2.3. Wide Angle X-Ray Diffraction (WAXD) Test
2.2.4. Shape Memory Test
2.2.5. SAXS Test
3. Results and Discussion
3.1. Thermodynamic Properties
3.2. Phase Structure Analysis
3.3. Shape Memory Behaviors
3.4. Molecular Orientation Characterization
3.5. Interphase Structure Changes
4. Conclusions
- The XRD curves showed that the addition of SiO2 have little influence on Pure SMPU, but after a shape memory cycle, SiO2/SMPU had microscopic loss and segment damage after the recovery process, but still had a good shape memory effect, which was demonstrated in the shape memory test. After a whole cycle, the Rf and Rr of SiO2/SMPU could still reach above 97%.
- The molecular chains of SiO2/SMPU experience a process from isotropy to anisotropy, and back to isotropy during a shape memory cycle. The different scattering intensities in vertical and horizontal direction manifest that the programmed SiO2/SMPU has an obvious microphase separation and molecular orientation.
- The SiO2 particles moved with the extension of the molecular chain moving along the stretching direction, and partially filled in the pores caused by the intense reaction; some large-size sheet structures were also formed during the programming process. This further caused the change in electron density between the crystalline and amorphous regions in the SMPU matrix. According to the SAXS Lorentz correction, some long-period structure is formed in the programmed SiO2/SMPU, revealing the shape memory mechanism of SiO2/SMPU.
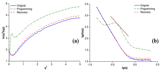
- The SAXS profiles of the scattering curves suggest that some hard segments in the programmed SiO2/SMPU were affected by the molecular chain movement to deviate from the spherical shape, and were rearranged along the stretching direction. SiO2 particles influence the shape symmetry of a hard segment, and the gyration radius of the hard segment scatterer was increased after the programming process of SiO2/SMPU.
- The Porod curves showed that some defects formed at the interfaces between hard and soft segments as well as between Pure SMPU and SiO2 particles. These defects produced a heterogeneous distribution of positive and negative charges at the interfaces, leading to local electron density fluctuations.
- The hard segments and SiO2 particles moved along the stretching direction of molecular chains of soft segments in the programming process, after that, the blurred interphase structure and intermediate layer formed in the programmed SiO2/SMPU. During the whole cycle of shape memory, there were some crystal damage and chemical bond breakages in the recovered SiO2/SMPU.
- Calculated fractal dimensions of original and recovered SiO2/SMPU samples showed a self-similarity, which is seen as a surface fractal. The programmed SiO2/SMPU showed a non-fractal phenomenon and fractal transition region, which is seen as mass fractal. This further confirms that hard segments and SiO2 particles are moved together, and reform the two-phase structure in programmed SiO2/SMPU.
Author Contributions
Funding
Acknowledgments
Conflicts of Interest
References
- Lu, H.B.; Wang, X.D.; Yu, K. A thermodynamic model for tunable multi-shape memory effect and cooperative relaxation in amorphous polymers. Smart Mater. Struct. 2019, 28, 025031. [Google Scholar] [CrossRef]
- Weems, A.C.; Li, W.; Maitland, D.J. Polyurethane microparticles for stimuli response and reduced oxidative degradation in highly porous shape memory polymers. ACS Appl. Mater. Interfaces 2018, 10, 32998–33009. [Google Scholar] [CrossRef]
- Weems, A.C.; Carrow, J.K.; Gaharwar, A.K. Improving the Oxidative Stability of Shape Memory Polyurethanes Containing Tertiary Amines by the Presence of Isocyanurate Trios. Macromolecules 2018, 51, 9078–9087. [Google Scholar] [CrossRef]
- Wei, Y.; Zhang, X.; Wu, G.; Zhou, Y. Behavior of concrete confined by both steel spirals and fiber-reinforced polymer under axial load. Compos. Structr. 2018, 192, 577–591. [Google Scholar] [CrossRef]
- Fan, J.; Li, G.Q. High enthalpy storage thermoset network with giant stress and energy output in rubbery state. Nat. Commun. 2018, 9, 642. [Google Scholar] [CrossRef]
- Xing, J.; Ma, Y.; Lin, M. Stretching-induced nanostructures on shape memory polyurethane films and their regulation to osteoblasts morphology. Colloids Surf. B 2016, 146, 431–441. [Google Scholar] [CrossRef]
- Weems, A.C.; Wacker, K.T.; Maitland, D.J. Improved oxidative biostability of porous shape memory polymers by substituting triethanolamine for glycerol. J. Appl. Polym. Sci. 2019, 47857. [Google Scholar] [CrossRef]
- Easley, A.D.; Monroe, M.B.B.; Hasan, S.M. Shape memory polyurethane-urea foams with improved toughness. J. Appl. Polym. Sci. 2019, 136, 47268. [Google Scholar] [CrossRef]
- Hu, J.L.; Zhang, C.L.; Ji, F.L. Revealing the morphological architecture of a shape memory polyurethane by simulation. Sci. Rep. 2016, 6, 29180. [Google Scholar] [CrossRef]
- Versteegen, R.M.; Kleppinger, R.; Sijbesma, R.P. Properties and morphology of segmented copoly (ether urea) s with uniform hard segments. Macromolecules 2006, 39, 772–783. [Google Scholar] [CrossRef]
- Shen, D.; Shi, S.; Xu, T. Development of shape memory polyurethane based sealant for concrete pavement. Constr. Build. Mater. 2018, 174, 474–483. [Google Scholar] [CrossRef]
- Wei, Y.; Ji, X.; Duan, M.; Li, G. Flexural performance of bamboo scrimber beams strengthened with fiber-reinforced polymer. Constr. Build. Mater. 2017, 142, 66–82. [Google Scholar] [CrossRef]
- Castillo-Cruz, O.; Aviles, F.; Vargas-Coronado, R. Mechanical properties of l-lysine based segmented polyurethane vascular grafts and their shape memory potential. Mater. Sci. Eng. C 2019, 102, 887–895. [Google Scholar] [CrossRef]
- Huang, K.; Shi, X.; Zollinger, D.; Mirsayar, M.; Wang, A.; Mo, L. Use of MgO expansion agent to compensate concrete shrinkage in jointed reinforced concrete pavement under high-altitude environmental conditions. Constr. Build. Mater. 2019, 202, 528–536. [Google Scholar] [CrossRef]
- Cai, Q.; Huang, J.; Weng, R. Preparation and surface properties of silicon -containing waterborne polyurethane functionalized with fluorine-containing acrylate and micro-nano silica. J. Wuhan Univ. Technol. Mater. Sci. Ed. 2018, 33, 233–241. [Google Scholar] [CrossRef]
- Chen, J.; Li, X.; Zhu, Y. Storable silicon/shape memory polyurethane hybrid sols prepared by a facile synthesis process and their application to aramid fibers. J. Sol-Gel Sci. Technol. 2015, 74, 670–676. [Google Scholar] [CrossRef]
- Chen, J.; Zhu, Y.; Ni, Q. Surface modification and characterization of aramid fibers with hybrid coating. Appl. Surf. Sci. 2014, 321, 103–108. [Google Scholar] [CrossRef]
- Shi, S.; Shen, D.Y.; Xu, T. Microstructural and mechanical property evolutions of shape memory polyurethane during a thermodynamic cycle. J. Appl. Polym. Sci. 2017, 135, 45703. [Google Scholar] [CrossRef]
- Wang, A.Q.; Li, G.Q.; Meng, H.Y. Strain rate effect on the thermomechanical behavior of a thermoset shape memory polymer. Smart Mater. Struct. 2013, 22, 085033. [Google Scholar] [CrossRef]
- Shi, S.; Shen, D.; Xu, T. Thermal, optical, interfacial and mechanical properties of titanium dioxide/shape memory polyurethane nanocomposites. Compos. Sci. Technol. 2018, 164, 17–23. [Google Scholar]
- Steelman, Z.A.; Weems, A.C. Revealing the glass transition in shape memory polymers using Brillouin spectroscopy. Appl. Phys. Lett. 2017, 241904. [Google Scholar] [CrossRef]
- Shi, S.; Liu, Q.; Xu, T. Study on effect of transition temperature on shape memory behavior in polyurethane based on molecular dynamic simulation. Mater. Res. Express 2019, 6, 115323. [Google Scholar] [CrossRef]
- Huang, M.; Dong, X.; Gao, Y. Probing the structure evolution/orientation induced by interaction between polyurethane segments and SiO2 surface in shape memory process. Polymer 2014, 55, 4289–4298. [Google Scholar] [CrossRef]
- Sadeghi, M.; Afarani, H.T.; Tarashi, Z. Preparation and investigation of the gas separation properties of polyurethane-TiO2, composite membranes. Korean J. Chem. Eng. 2015, 32, 97–103. [Google Scholar] [CrossRef]
- Zhao, Q.; Qi, H.J.; Xie, T. Recent progress in shape memory polymer: New behavior, enabling materials, and mechanistic understanding. Prog. Polym. Sci. 2015, 49, 79–120. [Google Scholar] [CrossRef]
- Lu, H.; Lu, C.; Huang, W.M. Chemo-responsive shape memory effect in shape memory polyurethane triggered by inductive release of mechanical energy storage undergoing copper (II) chloride migration. Smart Mater. Struct. 2015, 24, 035018. [Google Scholar] [CrossRef]
- Prevost, S.; Lopian, T.; Pleines, M. Small angle scattering and morphologies of ultra-flexible microemulsions. J. Appl. Crystallogr. 2016, 49, 2063–2072. [Google Scholar] [CrossRef]
- Cser, F. About the Lorentz correction used in the interpretation of small angle X-ray scattering data of polymers. J. Appl. Polym. Sci. 2001, 80, 2300–2308. [Google Scholar] [CrossRef]
- Stoclet, G.; Lefebvre, J.M.; Yeniad, B. On the strain-induced structural evolution of Poly(ethylene-2,5-furanoate) upon uniaxial stretching: An in-situ SAXS-WAXS study. Polymer 2018, 134, 227–241. [Google Scholar] [CrossRef]
- Zheng, W.; Best, R.B. An Extended Guinier Analysis for Intrinsically Disordered Proteins. J. Mol. Biol. 2018, 430, 2540–2553. [Google Scholar] [CrossRef]
- Hu, J.; Zhang, C.; Li, X. Architectural evolution of phase domains in shape memory polyurethanes by dissipative particle dynamics simulations. Polym. Chem. 2017, 8, 260–271. [Google Scholar] [CrossRef]
- Paudel, D.; Attafynn, R.; Drabold, D.A. Small-angle X-ray scattering in amorphous silicon: A computational study. Phys. Rev. B 2018, 97, 184202. [Google Scholar] [CrossRef]
- Putnam, C.D. Guinier peak analysis for visual and automated inspection of small-angle X-ray scattering data. J. Appl. Crystallogr. 2016, 49, 1412–1419. [Google Scholar] [CrossRef]
- Liu, X.X.; Yin, J.H.; Kong, Y.N. The property and microstructure study of polyimide/nano-TiO2 hybrid films. Thin Solid Films 2013, 554, 54–58. [Google Scholar] [CrossRef]
- Turković, A. Grazing-incidence SAXS/WAXD on nanosized TiO2 films obtained by ALE. Mater. Sci. Eng. B 2000, 75, 85–91. [Google Scholar] [CrossRef]
- Shiryaev, A.A.; Voloshchuk, A.M. Nanoporous active carbons at ambient conditions: A comparative study using X-ray scattering and diffraction, Raman spectroscopy and N2 adsorption. J. Phys. Conf. Ser. 2017, 848, 012009. [Google Scholar] [CrossRef]
- Wisotzki, E.I.; Tempesti, P.; Fratini, E. Influence of high energy electron irradiation on the network structure of gelatin hydrogels as investigated by small-angle X-ray scattering (SAXS). Phys. Chem. Chem. Phys. 2017, 19, 12064–12074. [Google Scholar] [CrossRef]
- Feng, Y.; Yin, J.H.; Chen, M.K. Effect of nano-TiO2 on the polarization process of polyimide/TiO2 composites. Mater. Lett. 2013, 96, 113–116. [Google Scholar] [CrossRef]
- Whittaker, J.L.; Balu, R.; Knott, R. Structural evolution of photo crosslinked silk fibroin and silk fibroin-based hybrid hydrogels: A small angle and ultra-small angle scattering investigation. Int. J. Biol. Macromol. 2018, 114, 998–1007. [Google Scholar] [CrossRef]









| Samples | Peak of Tan δ (°C) | E′@20 °C (MPa) | E′@120 °C (MPa) |
|---|---|---|---|
| SMPU | 74.31 | 2631.79. | 192.58 |
| 15% SiO2/SMPU | 72.18 | 3235.29 | 489.69 |
| Phase Structure Parameters | Crystallite Size (nm) | Crystallinity | FWHM | |
|---|---|---|---|---|
| Pure SMPU original | 7.88 | 15.68 | 4.386 | |
| 15% SiO2/SMPU | Original | 7.23 | 14.56 | 4.154 |
| Specimen | Programmed | 5.21 | 11.03 | 4.849 |
| states | Recovered | 6.98 | 12.73 | 4.023 |
| Samples | l0 (mm) | l1 (mm) | l2 (mm) | l3 (mm) | Rf (%) | Rr (%) |
|---|---|---|---|---|---|---|
| SMPU | 44.00 | 55.00 | 55.00 | 44.00 | 100 | 100 |
| 44.00 | 55.02 | 55.02 | 44.00 | 100 | 100 | |
| 44.00 | 55.00 | 55.00 | 44.00 | 100 | 100 | |
| 44.00 | 55.03 | 54.83 | 44.31 | 98.18 | 97.14 | |
| SiO2/SMPU | 44.00 | 54.99 | 54.80 | 44.29 | 98.18 | 97.29 |
| 44.00 | 54.98 | 54.76 | 44.27 | 98.09 | 97.49 |
| SiO2/SMPU Sample | α | DS | Dm |
|---|---|---|---|
| Original | 3.71 | 2.29 | - |
| Programmed | 2.27 | - | 2.27 |
| Recovered | 3.69 | 2.31 | - |
© 2020 by the authors. Licensee MDPI, Basel, Switzerland. This article is an open access article distributed under the terms and conditions of the Creative Commons Attribution (CC BY) license (http://creativecommons.org/licenses/by/4.0/).
Share and Cite
Shi, S.; Xu, T.; Wang, D.; Oeser, M. The Difference in Molecular Orientation and Interphase Structure of SiO2/Shape Memory Polyurethane in Original, Programmed and Recovered States during Shape Memory Process. Polymers 2020, 12, 1994. https://doi.org/10.3390/polym12091994
Shi S, Xu T, Wang D, Oeser M. The Difference in Molecular Orientation and Interphase Structure of SiO2/Shape Memory Polyurethane in Original, Programmed and Recovered States during Shape Memory Process. Polymers. 2020; 12(9):1994. https://doi.org/10.3390/polym12091994
Chicago/Turabian StyleShi, Shuang, Tao Xu, Dawei Wang, and Markus Oeser. 2020. "The Difference in Molecular Orientation and Interphase Structure of SiO2/Shape Memory Polyurethane in Original, Programmed and Recovered States during Shape Memory Process" Polymers 12, no. 9: 1994. https://doi.org/10.3390/polym12091994
APA StyleShi, S., Xu, T., Wang, D., & Oeser, M. (2020). The Difference in Molecular Orientation and Interphase Structure of SiO2/Shape Memory Polyurethane in Original, Programmed and Recovered States during Shape Memory Process. Polymers, 12(9), 1994. https://doi.org/10.3390/polym12091994

