Semi-Natural Superabsorbents Based on Starch-g-poly(acrylic acid): Modification, Synthesis and Application
Abstract
1. Introduction
2. Methods of Characterization of Superabsorbents
2.1. Materials
2.2. Fourier Transform Infrared Spectroscopy
2.3. Thermal Analysis
2.4. Scanning Electron Microscopy
2.5. Preparation of Graft Polymerization with Ceric Ammonium Nitrate
2.6. Preparation of Starch Graft Copolymer Using Potassium Persulfate Initiator
2.7. Preparation Synthesis with Urea/NaOH
2.8. Swelling Properties
2.9. Swelling Kinetics and Effect of Particle Size on Swelling
3. Results and Discussion
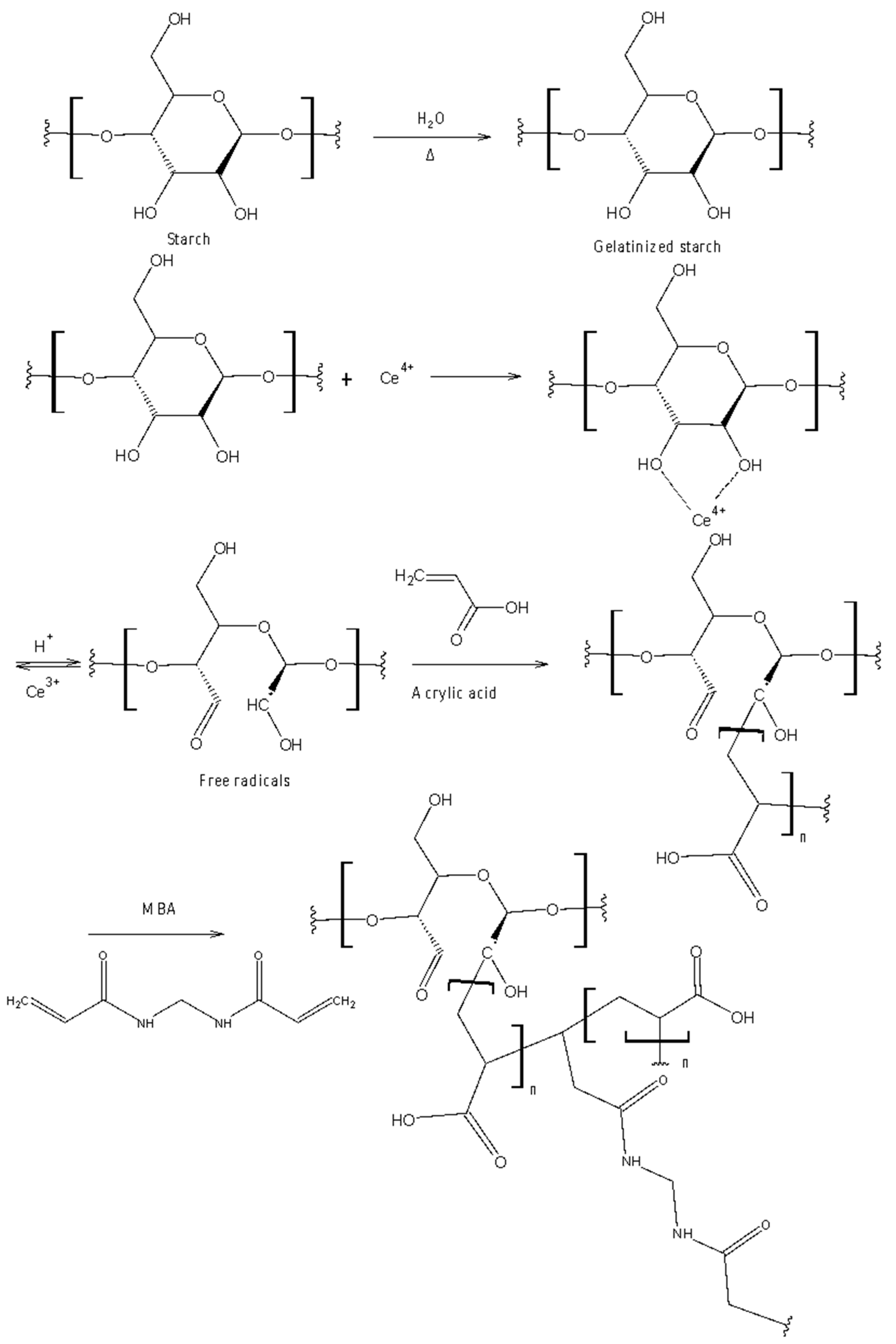
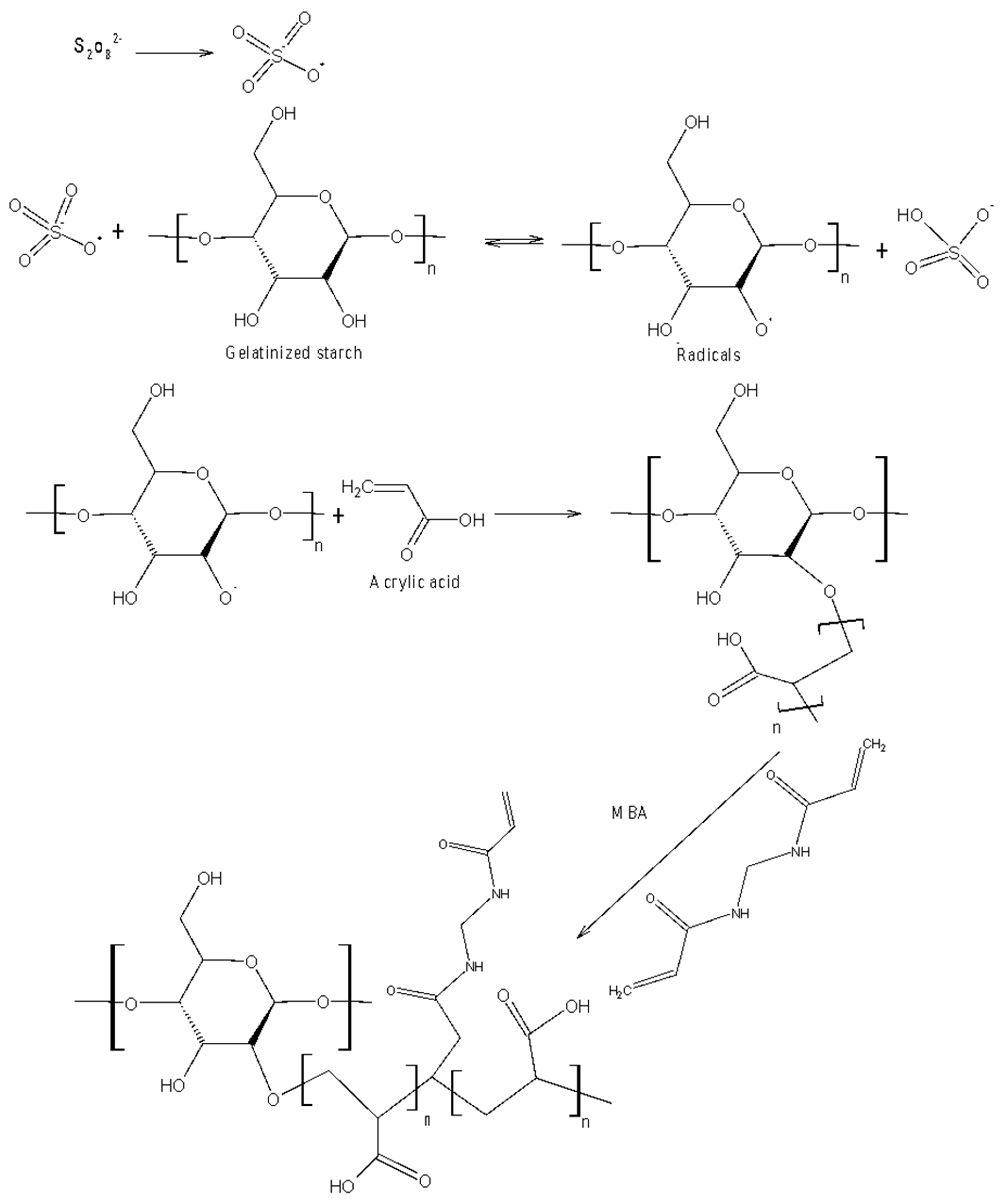
3.1. Analysis of the Synthesis Mechanism
3.2. FTIR Analysis
3.3. Scanning Electron Microscope
3.4. Thermogravimetric Analysis
3.5. Swelling Properties of Superabsorbents
4. Conclusions
Supplementary Materials
Author Contributions
Funding
Conflicts of Interest
References
- M Inteligence Global Superabsorbent Polymers Market (Study Period: 2016–2024). Available online: http://dln.jaipuria.ac.in:8080/jspui/bitstream/123456789/2836/1/Global Super Absorbent Polymers %28SAP%29 Market - Growth%2C Trends%2C and Forecast %282016 - 2024%29.pdf (accessed on 6 August 2020).
- Rosiak, J.M.; Ulański, P.; Pajewski, L.A.; Yoshii, F.; Makuuchi, K. Radiation formation of hydrogels for biomedical purposes. Some remarks and comments. Radiat. Phys. Chem. 1995, 46, 161–168. [Google Scholar] [CrossRef]
- Rosiak, J.M.; Yoshii, F. Hydrogels and their medical applications. Nucl. Instrum. Methods Phys. Res. Sect. B Beam Interact. Mater. Atoms 1999, 151, 56–64. [Google Scholar] [CrossRef]
- Drury, J.L.; Mooney, D.J. Hydrogels for tissue engineering: Scaffold design variables and applications. Biomaterials 2003, 24, 4337–4351. [Google Scholar] [CrossRef]
- Bai, X.; Gao, M.; Syed, S.; Zhuang, J.; Xu, X.; Zhang, X.Q. Bioactive hydrogels for bone regeneration. Bioact. Mater. 2018, 3, 401–417. [Google Scholar] [CrossRef]
- Rabat, N.E.; Hashim, S.; Majid, R.A. Effect of Different Monomers on Water Retention Properties of Slow Release Fertilizer Hydrogel. Procedia Eng. 2016, 148, 201–207. [Google Scholar] [CrossRef]
- Chen, Y.C.; Chen, Y.H. Thermo and pH-responsive methylcellulose and hydroxypropyl hydrogels containing K2SO4 for water retention and a controlled-release water-soluble fertilizer. Sci. Total Environ. 2019, 655, 958–967. [Google Scholar] [CrossRef] [PubMed]
- Mohammadzadeh Pakdel, P.; Peighambardoust, S.J. A review on acrylic based hydrogels and their applications in wastewater treatment. J. Environ. Manag. 2018, 217, 123–143. [Google Scholar] [CrossRef] [PubMed]
- Barakat, M.A.; Sahiner, N. Cationic hydrogels for toxic arsenate removal from aqueous environment. J. Environ. Manag. 2008, 88, 955–961. [Google Scholar] [CrossRef] [PubMed]
- Mahmoud, M.E. Water treatment of hexavalent chromium by gelatin-impregnated-yeast (Gel-Yst) biosorbent. J. Environ. Manag. 2015, 147, 264–270. [Google Scholar] [CrossRef] [PubMed]
- Feng, E.; Ma, G.; Wu, Y.; Wang, H.; Lei, Z. Preparation and properties of organic–inorganic composite superabsorbent based on xanthan gum and loess. Carbohydr. Polym. 2014, 111, 463–468. [Google Scholar] [CrossRef] [PubMed]
- Pathak, V.M.; Kumar, N. Dataset on the superabsorbent hydrogel synthesis with SiO2 nanoparticle and role in water restoration capability of agriculture soil. Data Br. 2017, 13, 291–294. [Google Scholar] [CrossRef] [PubMed]
- Zhang, Y.; Wu, F.; Liu, L.; Yao, J. Synthesis and urea sustained-release behavior of an eco-friendly superabsorbent based on flax yarn wastes. Carbohydr. Polym. 2013, 91, 277–283. [Google Scholar] [CrossRef] [PubMed]
- Zhou, J.; Chang, C.; Zhang, R.; Zhang, L. Hydrogels prepared from unsubstituted cellulose in NaOH/urea aqueous solution. Macromol. Biosci. 2007, 7, 804–809. [Google Scholar] [CrossRef] [PubMed]
- Chang, C.; Duan, B.; Cai, J.; Zhang, L. Superabsorbent hydrogels based on cellulose for smart swelling and controllable delivery. Eur. Polym. J. 2010, 46, 92–100. [Google Scholar] [CrossRef]
- Li, X.; Xu, S.; Pen, Y.; Wang, J. The swelling behaviors and network parameters of cationic starch-g-acrylic acid/poly(dimethyldiallylammonium chloride) semi-interpenetrating polymer networks hydrogels. J. Appl. Polym. Sci. 2008, 110, 1828–1836. [Google Scholar] [CrossRef]
- Moura, M.J.; Figueiredo, M.M.; Gil, M.H. Rheological study of genipin cross-linked chitosan hydrogels. Biomacromolecules 2007, 8, 3823–3829. [Google Scholar] [CrossRef]
- Kadokawa, J.-I. Ionic Liquid as Useful Media for Dissolution, Derivatization, and Nanomaterial Processing of Chitin. Green Sustain. Chem. 2013, 03, 19–25. [Google Scholar] [CrossRef]
- Peng, Z.; Peng, Z.; Shen, Y. Fabrication and properties of gelatin/chitosan composite hydrogel. Polym. - Plast. Technol. Eng. 2011, 50, 1160–1164. [Google Scholar] [CrossRef]
- Chan, A.W.; Whitney, R.A.; Neufeld, R.J. Semisynthesis of a Controlled Stimuli-Responsive Alginate Hydrogel. Biomacromolecules 2009, 10, 609–616. [Google Scholar] [CrossRef]
- Gattás-Asfura, K.M.; Weisman, E.; Andreopoulos, F.M.; Micic, M.; Muller, B.; Sirpal, S.; Pham, S.; Leblanc, R.M. Nitrocinnamate-functionalized gelatin: Synthesis and “smart” hydrogel formation via photo-cross-linking. Biomacromolecules 2005, 6, 1503–1509. [Google Scholar] [CrossRef]
- Meng, Y.; Ye, L. Synthesis and swelling property of superabsorbent starch grafted with acrylic acid / 2-acrylamido-2-methyl-1-propanesulfonic acid. J. Sci. Food Agric. 2017, 97, 3831–3840. [Google Scholar] [CrossRef] [PubMed]
- Szepes, A.; Szabó-Révész, P.; Bajdik, J.; Kása, P., Jr.; Neményi, M.; Pap, R.; Kovács, A.J.; Pintye-Hódi, K. Characterization and Utilization of Starches Extracted from Florencia and Waxy Maize Hybrids for Tablet Formulation: Compaction Behaviour and Tablet Properties. Am. J. Plant Sci. 2014, 05, 787–798. [Google Scholar] [CrossRef][Green Version]
- Bemiller, J.N. Starch Modification: Challenges and Prospects. Starch - Stärke 1997, 49, 127–131. [Google Scholar] [CrossRef]
- Jobling, S. Improving starch for food and industrial applications. Curr. Opin. Plant Biol. 2004, 7, 210–218. [Google Scholar] [CrossRef]
- Siong, K.K.; Amari, N.F.; Yuan, T.C.; Radiman, S.; Yahaya, R.; Yasir, M.S. Preparation, characterization and properties of core-shell cobalt ferrite/polycaprolactone nanomagnetic biomaterials. Sains Malays. 2013, 42, 167–173. [Google Scholar]
- Samaha, S.H.; Essa, D.M.; Osman, E.M.; Ibrahim, S.F. Synthesis and characterization of hydroxyethyl cellulose grafted copolymers and its application for removal of nickel ions from aqueous solutions. Int. J. Eng. Innov. Res. 2015, 4, 645–653. [Google Scholar]
- Sadeghi, M.; Ghasemi, N.; Yarahmadi, M. Synthesis of biosuperabsorbent based on carboxymethylcellulose-g-poly(AcA- co-AN). Biosci. Biotechnol. Res. Asia 2011, 8, 455–461. [Google Scholar] [CrossRef]
- Article, R.; Neelam, K.; Vijay, S.; Lalit, S. Various Techniques For The Modification Of Starch And The Applications Of Its Derivatives. Int. Res. J. Pharm. 2012, 3, 25–31. [Google Scholar]
- Athawale, V.D.; Lele, V. Graft copolymerization onto starch. II. Grafting of acrylic acid and preparation of it’s hydrogels. Carbohydr. Polym. 1998, 35, 21–27. [Google Scholar] [CrossRef]
- Das, P.; Saikia, C.N.; Dass, N.N. Thermal behavior of some homogeneously polymethyl methacrylate (PMMA)-grafted high α-cellulose products. J. Appl. Polym. Sci. 2004, 92, 3471–3478. [Google Scholar] [CrossRef]
- Li, A.; Liu, R.; Wang, A. Preparation of Starch-Graft-Poly(Acrylamide)/Attapulgite Superabsorbent Composite. J. Appl. Polym. Sci. 2005. [Google Scholar] [CrossRef]
- Xiao, X.; Yu, L.; Xie, F.; Bao, X.; Liu, H.; Ji, Z.; Chen, L. One-step method to prepare starch-based superabsorbent polymer for slow release of fertilizer. Chem. Eng. J. 2017, 309, 607–616. [Google Scholar] [CrossRef]
- Liu, T.; Qian, L.; Li, B.; Li, J.; Zhu, K.; Deng, H.; Yang, X.; Wang, X. Homogeneous synthesis of chitin-based acrylate superabsorbents in NaOH/urea solution. Carbohydr. Polym. 2013, 94, 261–271. [Google Scholar] [CrossRef] [PubMed]
- Dragan, E.S.; Apopei, D.F. Synthesis and swelling behavior of pH-sensitive semi-interpenetrating polymer network composite hydrogels based on native and modified potatoes starch as potential sorbent for cationic dyes. Chem. Eng. J. 2011, 178, 252–263. [Google Scholar] [CrossRef]
- Pourjavadi, A.; Harzandi, A.M.; Hosseinzadeh, H. Modified Carrageenan. 6. Crosslinked Graft Copolymer of Methacrylic Acid and kappa-Carrageenan as a Novel Superabsorbent Hydrogel with Low Salt- and High pH-Sensitivity. Macromol. Res. 2005, 13, 483–490. [Google Scholar] [CrossRef]
- Kizil, R.; Irudayaraj, J.; Seetharaman, K. Characterization of irradiated starches by using FT-Raman and FTIR spectroscopy. J. Agric. Food Chem. 2002, 50, 3912–3918. [Google Scholar] [CrossRef]
- Sharma, R.K.; Chauhan, G.S. Synthesis and characterization of graft copolymers of 2-hydroxymethyl methacrylate and some commoners on to extracted cellulose for use in separation technologies. BioResources 2009, 4, 986–1005. [Google Scholar] [CrossRef]
- Lee, J.; Park, S.; Roh, H.G.; Oh, S.; Kim, S.; Kim, M.; Kim, D.; Park, J. Preparation and characterization of superabsorbent polymers based on starch aldehydes and carboxymethyl cellulose. Polymers 2018, 8, 605. [Google Scholar] [CrossRef]
- Pathania, D.; Sharma, R.; Kalia, S. Graft copolymerization of acrylic acid onto gelatinized patato starch for removal of metal ions and organic dyes from aqueous system. Adv. Mater. Lett. 2012, 3, 259–264. [Google Scholar] [CrossRef]
- Chen, J.; Blevins, W.E.; Park, H.; Park, K. Gastric retention properties of superporous hydrogel composites. J. Control. Release 2000, 64, 39–51. [Google Scholar] [CrossRef]
- Chen, J.; Park, K. Synthesis and characterization of superporous hydrogel composites. J. Control. Release 2000, 65, 73–82. [Google Scholar] [CrossRef]
- El-mohdy, H.L.; Hegazy, E.S.; El-rehim, H.A.A. Characterization of starch/acrylic acid super-absorbent hydrogels prepared by ionizing radiation. J. Macromol. Sci. Part A Pure Appl. Chem. 2006, 43, 1051–1063. [Google Scholar] [CrossRef]
- Elomaa, M.; Asplund, T.; Soininen, P.; Laatikainen, R.; Peltonen, S.; Hyvärinen, S.; Urtti, A. Determination of the degree of substitution of acetylated starch by hydrolysis, 1H NMR and TGA/IR. Carbohydr. Polym. 2004. [Google Scholar] [CrossRef]
- Athawale, V.D.; Lele, V. Thermal Studies on Granular Maize Starch and its Graft Copolymers with Vinyl Monomers. Starch-Stärke 2000, 52, 205–213. [Google Scholar] [CrossRef]
- Kowalski, G.; Kijowska, K.; Witczak, M.; Kuterasiński, Ł.; Łukasiewicz, M. Synthesis and Effect of Structure on Swelling Properties of Hydrogels Based on High Methylated Pectin and Acrylic Polymers. Polymers 2019, 11, 114. [Google Scholar] [CrossRef] [PubMed]
- Pourjavadi, A.; Farhadpour, B.; Seidi, F. Synthesis and investigation of swelling behavior of new agar based superabsorbent hydrogel as a candidate for agrochemical delivery. J. Polym. Res. 2009, 16, 655–665. [Google Scholar] [CrossRef]
- Flory, P.J. Principles of Polymer Chemistry; Cornell Univ. Press: Ithaca, NY, USA, 1954; pp. 555–556. [Google Scholar] [CrossRef]
- Lanthong, P.; Nuisin, R.; Kiatkamjornwong, S. Graft copolymerization, characterization, and degradation of cassava starch-g-acrylamide/itaconic acid superabsorbents. Carbohydr. Polym. 2006, 66, 229–245. [Google Scholar] [CrossRef]
- Sigurdarson, J.J.; Svane, S.; Karring, H. The molecular processes of urea hydrolysis in relation to ammonia emissions from agriculture. Rev. Environ. Sci. Biotechnol. 2018, 17, 241–258. [Google Scholar] [CrossRef]
- Omidian, H.; Hashemi, S.A.; Sammes, P.G.; Meldrum, I. A model for the swelling of superabsorbent polymers. Polymer (Guildf) 1998. [Google Scholar] [CrossRef]
- Pourjavadi, A.; Mahdavinia, G.R. Superabsorbency, pH-sensitivity and swelling kinetics of partially hydrolyzed chitosan-g-poly(acrylamide) hydrogels. Turkish J. Chem. 2006, 30, 595–608. [Google Scholar]
- Omidian, H.; Hashemi, S.A.; Sammes, P.G.; Meldrum, I. Modified acrylic-based superabsorbent polymers (dependence on particle size and salinity). Polymer (Guildf) 1999, 40, 1753–1761. [Google Scholar] [CrossRef]
- Davis, C.R.; Kelly, S.L.; Erk, K.A. Comparing laser diffraction and optical microscopy for characterizing superabsorbent polymer particle morphology, size, and swelling capacity. J. Appl. Polym. Sci. 2018, 135, 1–10. [Google Scholar] [CrossRef]







| Samples Code | Description |
|---|---|
| SS | Soluble starch |
| CS | Corn starch |
| CAN | Ceric ammonium nitrate |
| KPS | Potassium persulfate |
| MBA | N,N’-methylenebisacrylamide |
| SS-g-PAA(12/CAN) | Soluble starch-g-poly(acrylic acid) with ceric ammonium nitrate and the precipitated end product was left in the dark for 12 h in a solution of deionized water and ethanol and later separated from post reaction mixture. |
| SS(12)-g-PAA (CAN) | Soluble starch-g-poly(acrylic acid) with ceric ammonium nitrate and the superabsorbent was cooled for 12 h at 4 °C and then precipitated. |
| SS-g-PAA (CAN) | Soluble starch-g-poly(acrylic acid) with ceric ammonium nitrate and the product was washed with ethanol and distilled water immediately. |
| SS-g-PAA (KPS) | Soluble starch-g-poly(acrylic acid) with potassium persulfate and the product was washed with ethanol and distilled water immediately. |
| CS-g-PAA (CAN/U/NaOH) | Corn starch-g-poly(acrylic acid) with ceric ammonium nitrate and the product was prepared in deionized water and NaOH solution. |
| CS-g-PAA (KPS/U/NaOH) | Corn starch-g-poly(acrylic acid) with potassium persulfate and the product was prepared in deionized water and NaOH solution. |
| Samples | TGA (5 wt % Loss) [°C] | TGA (10 wt % Loss) [°C] | TGA (50 wt % Loss) [°C] |
|---|---|---|---|
| SS | 59.24 | 105.44 | 355.92 |
| CS | 70.62 | 280.23 | 315.80 |
| CAN | 209.77 | 211.97 | 220.87 |
| KPS | 295.48 | 472.73 | |
| MBA | 198.50 | 210.74 | 250.24 |
| SS-g-PAA(12/CAN) | 139.04 | 244.64 | 328.84 |
| SS(12)-g-PAA | 142.25 | 232.38 | 362.80 |
| SS-g-PAA (CAN) | 97.26 | 174.90 | 451.69 |
| CS-g-PAA (CAN/U/NaOH) | 118.26 | 254.35 | 315.37 |
| SS-g-PAA (KPS) | 112.73 | 214.19 | 384.57 |
| CS-g-PAA(KPS/U/NaOH) | 137.02 | 193.60 | 340.02 |
| Sample Code | Decomposition Temperature [°C] | ||||||
|---|---|---|---|---|---|---|---|
| Step 1 | Step 2 | Step 3 | Step 4 | Step 5 | Step 6 | Step 7 | |
| SS | 59.00 | 229.49 | 361.80 | - | - | - | - |
| CS | 60.77 | 313.85 | - | - | - | - | - |
| CAN | 200.03 | 221.88 | 257.04 | - | - | - | - |
| KPS | 237.48 | 294.32 | 321.84 | 532.30 | 590.91 | 805.81 | - |
| MBA | 187.76 | 239.26 | 333.39 | 348.48 | 364.47 | - | - |
| SS-g-PAA(12/CAN) | 121.16 | 290.76 | 451.49 | - | - | - | - |
| SS(12)-g-PAA (CAN) | 128.26 | 259.68 | 288.99 | 447.94 | 912.37 | - | - |
| SS-g-PAA (CAN) | 66.99 | 273.00 | 291.65 | 344.93 | 452.38 | 732.10 | 814.69 |
| CS-g-PAA | 88.30 | 292.54 | 452.38 | - | - | - | - |
| SS-g-PAA (KPS) | 67.88 | 267.68 | 293.43 | 356.43 | 448.83 | 787.16 | - |
| CS-g-PAA(KPS/U/NaOH) | 193.08 | 296.09 | 340.49 | 432.84 | 804.92 | - | - |
| τ [min] for SS-g-PAA (KPS) | τ [min] for SS-g-PAA (CAN) | ||||
|---|---|---|---|---|---|
| <60 mesh | 40–60 mesh | >40 mesh | <60 mesh | 40−60 mesh | >40 mesh |
| 17.04 | 23.42 | 30.03 | 11.83 | 15.80 | 18.73 |
© 2020 by the authors. Licensee MDPI, Basel, Switzerland. This article is an open access article distributed under the terms and conditions of the Creative Commons Attribution (CC BY) license (http://creativecommons.org/licenses/by/4.0/).
Share and Cite
Czarnecka, E.; Nowaczyk, J. Semi-Natural Superabsorbents Based on Starch-g-poly(acrylic acid): Modification, Synthesis and Application. Polymers 2020, 12, 1794. https://doi.org/10.3390/polym12081794
Czarnecka E, Nowaczyk J. Semi-Natural Superabsorbents Based on Starch-g-poly(acrylic acid): Modification, Synthesis and Application. Polymers. 2020; 12(8):1794. https://doi.org/10.3390/polym12081794
Chicago/Turabian StyleCzarnecka, Elżbieta, and Jacek Nowaczyk. 2020. "Semi-Natural Superabsorbents Based on Starch-g-poly(acrylic acid): Modification, Synthesis and Application" Polymers 12, no. 8: 1794. https://doi.org/10.3390/polym12081794
APA StyleCzarnecka, E., & Nowaczyk, J. (2020). Semi-Natural Superabsorbents Based on Starch-g-poly(acrylic acid): Modification, Synthesis and Application. Polymers, 12(8), 1794. https://doi.org/10.3390/polym12081794
