Glycerin/NaOH Aqueous Solution as a Green Solvent System for Dissolution of Cellulose
Abstract
1. Introduction
2. Materials and Methods
2.1. Materials
2.2. Dissolution of Cellulose in Glycerin/NaOH Aqueous Solution
2.3. Preparation of Regenerated Cellulose
2.4. Characterization
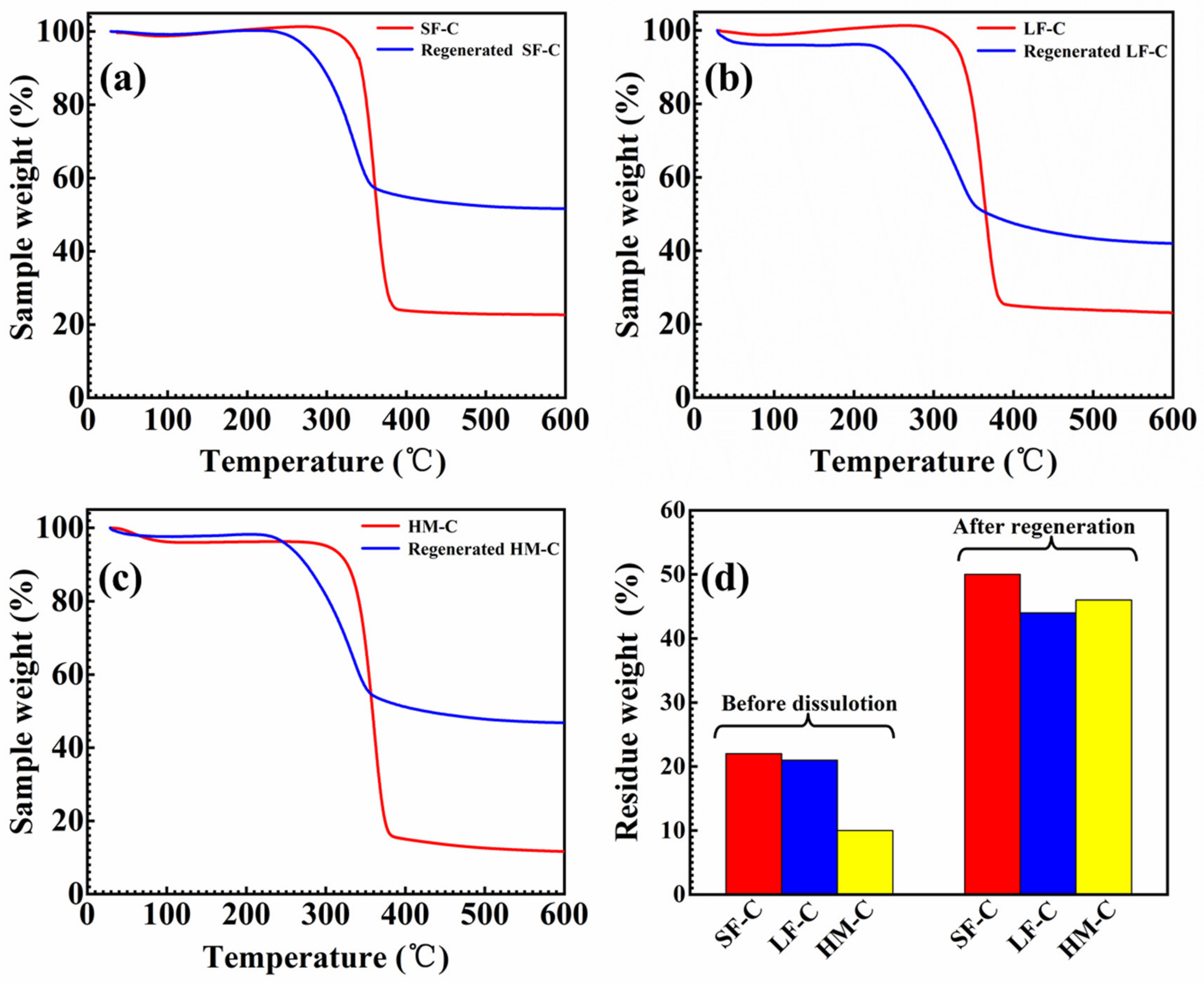
3. Result and Discussion
4. Conclusions
Author Contributions
Funding
Conflicts of Interest
References
- Parsamanesh, M.; Tehrani, A.D. Synthesize of new fluorescent polymeric nanoparticle using modified cellulose nanowhisker through click reaction. Carbohyd. Polym. 2016, 136, 1323–1331. [Google Scholar] [CrossRef] [PubMed]
- Hui, W.; Gabriela, G.; Rogers, R.D. Ionic liquid processing of cellulose. Chem. Soc. Rev. 2012, 41, 1519–1537. [Google Scholar]
- Meng, H.; Yanteng, Z.; Jiangjiang, D.; Zhenggang, W.; Yun, C.; Lina, Z. Fast contact of solid-liquid interface created high strength multi-layered cellulose hydrogels with controllable size. ACS Appl. Mater. Interfaces 2014, 6, 1872–1878. [Google Scholar]
- Liu, C.K.; Cuculo, J.A.; Smith, B. Coagulation studies for cellulose in the ammonia/ammonium thiocyanate (NH3/NH4SCN) direct solvent system. J. Polym. Sci. Pol. Phys. 1989, 27, 2493–2511. [Google Scholar] [CrossRef]
- Hattori, M.; Koga, T.; Shimaya, Y.; Saito, M. Aqueous calcium thiocyanate solution as a cellulose solvent. structure and interactions with cellulose. Polym. J. 1998, 30, 43–48. [Google Scholar] [CrossRef]
- Ramos, L.A.; Assaf, J.M.; Seoud, O.A.E.; Frollini, E. Influence of the supramolecular structure and physicochemical properties of cellulose on its dissolution in a lithium chloride/N,N-dimethylacetamide solvent system. Biomacromolecules 2005, 6, 2638–2647. [Google Scholar] [CrossRef]
- Mccormick, C.L.; Callais, P.A.; Hutchinson, B.H. Solution studies of cellulose in lithium chloride and N,N-dimethylacetamide. Macromolecules 1985, 18, 2394–2401. [Google Scholar] [CrossRef]
- Cuculo, J.A.; Smith, C.B.; Sangwatanaroj, U.; Stejskal, E.O.; Sankar, S.S. Study on the mechanism of dissolution of the cellulose/NH3/ NH4SCN system. I. J. Polym. Sci. Pol. Chem. 2010, 32, 229–239. [Google Scholar] [CrossRef]
- Rosenau, T.; Hofinger, A.; Potthast, A.; Kosma, P. On the conformation of the cellulose solvent N-methylmorpholine-N-oxide (NMMO) in solution. Polymer 2003, 44, 6153–6158. [Google Scholar] [CrossRef]
- Doherty, T.V.; Morapale, M.; Foley, S.E.; Linhardt, R.J.; Dordick, J.S. Ionic liquid solvent properties as predictors of lignocellulose pretreatment efficacy. Green Chem. 2010, 12, 1967–1975. [Google Scholar] [CrossRef]
- Ghalami-Choobar, B.; Shekofteh-Gohari, M.; Sayyadi-Nodehi, F. Thermodynamic study of ternary electrolyte KCl + 1-PrOH + water system based on pitzer and pitzer-simonson-clegg models using potentiometric measurements. J. Mol. Liq. 2013, 188, 49–54. [Google Scholar] [CrossRef]
- Mitsuru, A.; Yukinobu, F.; Hiroyuki, O. Fast and facile dissolution of cellulose with tetrabutylphosphonium hydroxide containing 40 wt% water. Chem. Commun. 2012, 48, 1808–1810. [Google Scholar]
- Hongwei, R.; Chunmao, C.; Shaohui, G.; Dishun, Z.; Qinghong, W. Synthesis of a Novel Allyl-Functionalized Deep Eutectic Solvent to Promote Dissolution of Cellulose. BioResources 2016, 11, 8457–8469. [Google Scholar]
- Hu, Y.; Thalangamaarachchige, V.D.; Acharya, S.; Abidi, N. Role of low-concentration acetic acid in promoting cellulose dissolution. Cellulose 2018, 25, 4389–4405. [Google Scholar] [CrossRef]
- Medronho, B.; Lindman, B. Competing forces during cellulose dissolution: From solvents to mechanisms. Curr. Opin. Colloid Interface Sci. 2014, 19, 32–40. [Google Scholar] [CrossRef]
- Yuan, M.; Zhang, L.; Jie, C.; Zhou, J.; Kondo, T. Effects of coagulation conditions on properties of multifilament fibers based on dissolution of cellulose in NaOH/Urea aqueous solution. Ind. Eng. Chem. Res. 2008, 47, 8676–8683. [Google Scholar]
- Bi, X.; Zhao, P.; Ping, C.; Zhang, L.; Kai, H.; Cheng, G. NMR spectroscopic studies on the mechanism of cellulose dissolution in alkali solutions. Cellulose 2013, 20, 613–621. [Google Scholar]
- Jie, C.; Lina, Z. Rapid dissolution of cellulose in LiOH/urea and NaOH/urea aqueous solutions. Macromol. Biosci. 2010, 5, 539–548. [Google Scholar]
- Endo, T.; Hosomi, S.; Fujii, S.; Ninomiya, K.; Takahashi, K. Nano-Structural Investigation on Cellulose Highly Dissolved in Ionic Liquid: A Small Angle X-ray Scattering Study. Molecules 2017, 22, 178. [Google Scholar] [CrossRef]
- Yu, O.; Hidaka, H.; Kimura, S.; Kim, U.J.; Kuga, S.; Wada, M. Formation and stability of cellulose-copper-NaOH crystalline complex. Cellulose 2014, 21, 999–1006. [Google Scholar]
- Lindman, B.; Karlström, G.; Stigsson, L. On the mechanism of dissolution of cellulose. J. Mol. Liq. 2010, 156, 76–81. [Google Scholar] [CrossRef]
- Zhang, L.; Ruan, D.; Gao, S. Dissolution and regeneration of cellulose in NaOH/thiourea aqueous solution. J. Polym. Sci. Part B Polym. Phys. 2002, 40, 1521–1529. [Google Scholar] [CrossRef]
- Yan, L.; Gao, Z. Dissolving of cellulose in PEG/NaOH aqueous solution. Cellulose 2008, 15, 789–796. [Google Scholar] [CrossRef]
- He, Z.; Liu, J.; Li, L.; Lan, D.; Zhang, J. Absorption properties and spectroscopic Studies of dilute sulfur dioxide in aqueous glycerol solutions. Ind. Eng. Chem. Res. 2012, 51, 13882–13890. [Google Scholar] [CrossRef]
- Moniruzzaman, M.; Mahmood, H.; Ibrahim, M.F.; Yusup, S.; Uemura, Y. Effects of pressure and temperature on the dissolution of cellulose in ionic liquids. Adv. Mater. Res. 2016, 1133, 588–592. [Google Scholar] [CrossRef]
- Jiang, Z.; Fang, Y.; Ma, Y.; Liu, M.; Liu, R.; Guo, H.; Lu, A.; Zhang, L. Dissolution and metastable solution of cellulose in NaOH/thiourea at 8 °C for construction of nanofibers. J. Phy. Chem. B 2017, 121, 1793–1801. [Google Scholar] [CrossRef]
- Zhang, L.; Ruan, D.; Zhou, J. Structure and Properties of Regenerated Cellulose Films Prepared from Cotton Linters in NaOH/Urea Aqueous Solution. Ind. Eng. Chem. Res. 2001, 40, 5923–5928. [Google Scholar] [CrossRef]
- Berthold, F.; Gustafsson, K.; Berggren, R.; Sjöholm, E.; Lindström, M. Dissolution of softwood kraft pulps by direct derivatization in lithium chloride/N,N-dimethylacetamide. J. Appl. Polym. Sci. 2010, 94, 424–431. [Google Scholar] [CrossRef]
- Chen, X.; Chen, X.; Cai, X.M.; Huang, S.; Wang, F. Cellulose dissolution in a mixed solvent of tetra(n-butyl)ammonium hydroxide/dimethyl sulfoxide via radical reactions. ACS Sustain. Chem. Eng. 2018, 6, 2898–2904. [Google Scholar] [CrossRef]
- Nomura, S.; Kugo, Y.; Erata, T. 13C NMR and XRD studies on the enhancement of cellulose II crystallinity with low concentration NaOH post-treatments. Cellulose 2020, 10570-020-03036-6. [Google Scholar] [CrossRef]
- Tang, S.; Baker, G.A.; Ravula, S.; Jones, J.E.; Zhao, H. PEG-functionalized ionic liquids for cellulose dissolution and saccharification. Green Chem. 2012, 14, 2922–2932. [Google Scholar] [CrossRef]
- Oudiani, A.E.; Chaabouni, Y.; Msahli, S.; Sakli, F. Crystal transition from cellulose I to cellulose II in NaOH treated Agave americana L. fibre. Carbohyd Polym. 2011, 86, 1221–1229. [Google Scholar] [CrossRef]
- Gibril, M.E.; Li, H.F.; Li, X.D.; Li, H.; Zhong, X.; Zhang, Y.; Han, K.Q.; Yu, M.H. Application of twin screw eextruder in cellulose dissolution with ionic liquid. Appl. Mec. Mater. 2013, 268, 605–609. [Google Scholar]
- Mohan, M.; Banerjee, T.; Goud, V.V. Effect of protic and aprotic solvents on the mechanism of cellulose dissolution in Ionic liquids: A combined molecular dynamics and experimental insight. Chemistryselect 2016, 1, 4823–4832. [Google Scholar] [CrossRef]
- Wu, R.N.; Zhu, H.; He, B.H. Dissolution of absorbent cotton in ionic liquid and characterization of the regenerated cellulose. Adv. Mater. Res. 2014, 830, 163–166. [Google Scholar] [CrossRef]
- Gómez-Siurana, A.; Marcilla, A.; Beltrán, M.; Berenguer, D.; Martínez-Castellanos, I.; Menargues, S. TGA/FTIR study of tobacco and glycerol-tobacco mixtures. Thermochim. Acta 2013, 573, 146–157. [Google Scholar] [CrossRef]
- Lethesh, K.C.; Wilfred, C.D.; Shah, S.N.; Uemura, Y.; Mutalib, M.I.A. Synthesis and characterization of nitrile-functionalized azepanium ionic liquids for the dissolution of cellulose. Proc. Eng. 2016, 148, 385–391. [Google Scholar] [CrossRef][Green Version]
- Mettler, M.S.; Mushrif, S.H.; Paulsen, A.D.; Javadekar, A.D.; Vlachos, D.G.; Dauenhauer, P.J. Revealing pyrolysis chemistry for biofuels production: Conversion of cellulose to furans and small oxygenates. Energy Environ. Sci. 2012, 5, 5414–5424. [Google Scholar] [CrossRef]
- Swart, H.C.; Du, P.J.; De Villiers, M.M.; Lotter, A.P.; Liebenberg, W. Correlation between in vitro release from topical delivery vehicles and microbicidal activity of triclosan. Pharmazie Die 2006, 61, 35–40. [Google Scholar]







| DP | α-Cellulose /% | Viscosity/mPa·s | Ash/% | Fe/ppm | Alkali Absorption Value/% | H2O/% | Whiteness/% | Small Dust/mm2/kg | |
|---|---|---|---|---|---|---|---|---|---|
| SF-C | 550 | 95.1 | 9.2 | 0.1 | 11 | 513 | 13.1 | 78 | 154 |
| LF-C | 600 | 96.0 | 11.4 | 0.07 | 8 | 699 | 13.2 | 80 | 79 |
| HM-C | 1120 | 98.6 | 29.9 | 0.06 | 11 | 582 | 8.7 | 82 | 88 |
| Sample | Before Regeneration (%) | After Regeneration (%) |
|---|---|---|
| SF-C | 47.3±1.7 | 1.6±0.2 |
| LF-C | 57.7±0.6 | 4.1±0.3 |
| HM-C | 61.6±1.7 | 14.9±0.9 |
© 2020 by the authors. Licensee MDPI, Basel, Switzerland. This article is an open access article distributed under the terms and conditions of the Creative Commons Attribution (CC BY) license (http://creativecommons.org/licenses/by/4.0/).
Share and Cite
Li, K.; Yang, H.; Jiang, L.; Liu, X.; Lang, P.; Deng, B.; Li, N.; Xu, W. Glycerin/NaOH Aqueous Solution as a Green Solvent System for Dissolution of Cellulose. Polymers 2020, 12, 1735. https://doi.org/10.3390/polym12081735
Li K, Yang H, Jiang L, Liu X, Lang P, Deng B, Li N, Xu W. Glycerin/NaOH Aqueous Solution as a Green Solvent System for Dissolution of Cellulose. Polymers. 2020; 12(8):1735. https://doi.org/10.3390/polym12081735
Chicago/Turabian StyleLi, Ke, Huiyu Yang, Lang Jiang, Xin Liu, Peng Lang, Bo Deng, Na Li, and Weilin Xu. 2020. "Glycerin/NaOH Aqueous Solution as a Green Solvent System for Dissolution of Cellulose" Polymers 12, no. 8: 1735. https://doi.org/10.3390/polym12081735
APA StyleLi, K., Yang, H., Jiang, L., Liu, X., Lang, P., Deng, B., Li, N., & Xu, W. (2020). Glycerin/NaOH Aqueous Solution as a Green Solvent System for Dissolution of Cellulose. Polymers, 12(8), 1735. https://doi.org/10.3390/polym12081735

