Hydrophilic Submicron Nanogel Particles for Specific Recombinant Proteins Extraction and Purification
Abstract
1. Introduction
2. Materials and Methods
2.1. Materials
2.2. Methods
2.2.1. Preparation of Cationic and Anionic Latexes
2.2.2. Characterization of Latexes
2.2.3. Adsorption and Complexation of Protein onto Latex Particles
2.2.4. Complexation as a Function of pH
2.2.5. Complexation as a Function of Nickel and Protein Concentrations
2.2.6. Decomplexation Study
3. Results and Discussion
3.1. Characterization of the Particles
3.1.1. Scanning Electron Microscopy Analysis
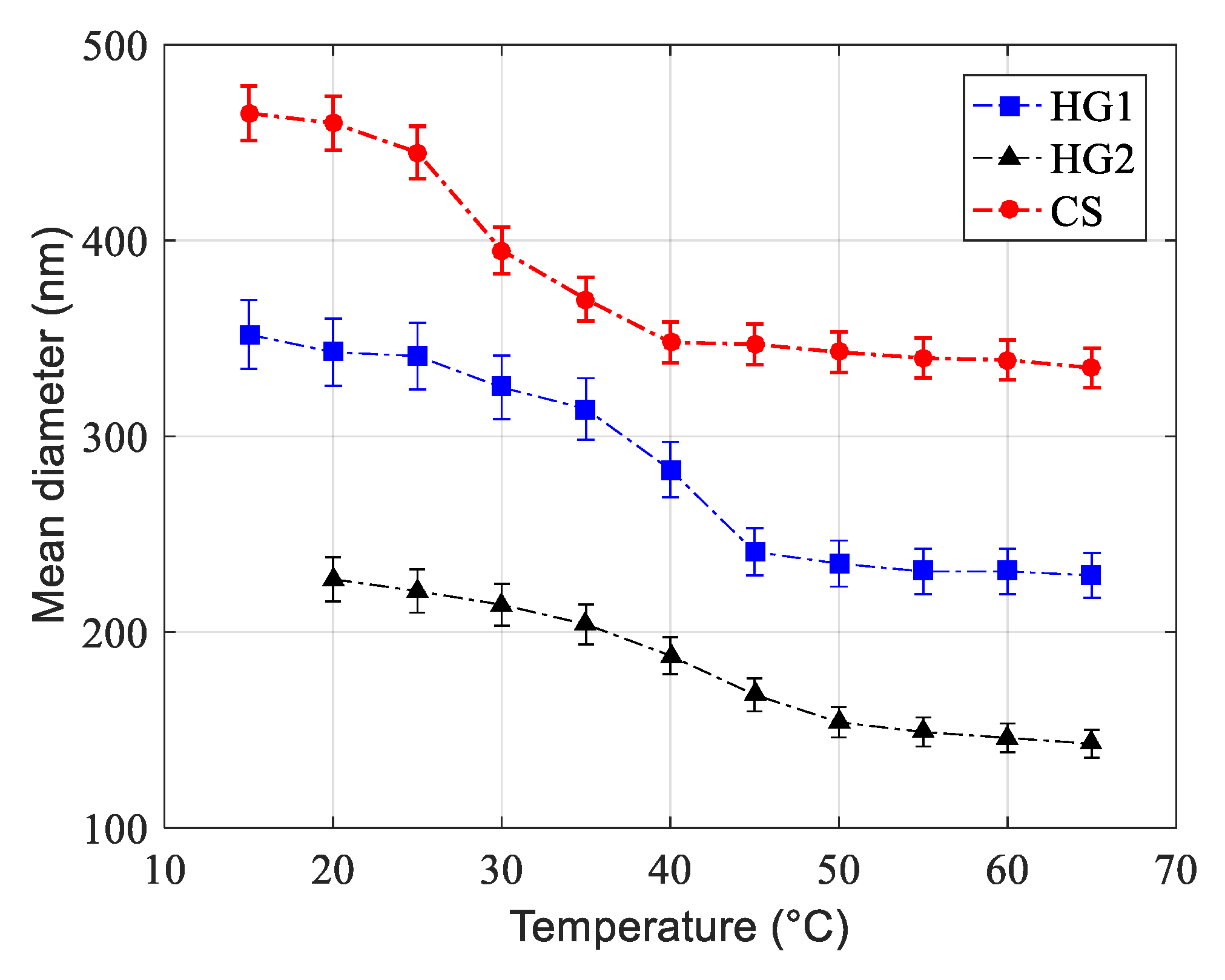
3.1.2. Hydrodynamic Particle Size
3.1.3. Electrophoretic Mobility
3.2. Protein Immobilization
3.2.1. Protein Adsorption
3.2.2. Protein Complexation
Effect of pH
Effect of Nickel Concentration on Proteins Immobilization
3.2.3. Effect of Protein Concentration
4. Conclusions
Author Contributions
Funding
Acknowledgments
Conflicts of Interest
References
- Çamli, T.; Tuncel, M.; Şenel, S.; Tuncel, A. Functional, uniform, and macroporous latex particles: Preparation, electron microscopic characterization, and nonspecific protein adsorption properties. J. Appl. Polym. Sci. 2002, 84, 414–429. [Google Scholar] [CrossRef]
- Yu, B.; Tian, C.; Cong, H.; Xu, T. Synthesis of monodisperse poly(styrene-co-divinylbenzene) microspheres with binary porous structures and application in high-performance liquid chromatography. J. Mater. Sci. 2016, 51, 5240–5251. [Google Scholar] [CrossRef]
- Rahman, M.; Heng, L.Y.; Futra, D.; Ling, T.L. Ultrasensitive Biosensor for the Detection of Vibrio cholerae DNA with Polystyrene-co-acrylic Acid Composite Nanospheres. Nanoscale Res. Lett. 2017, 12, 474. [Google Scholar] [CrossRef]
- Marmey, P.; Lebaz, N.; Eissa, M.; Delair, T.; Elaissari, A. Polystyrene Latex Particles Bearing Primary Amine Groups via Soap-free Emulsion Polymerization. Polym. Int. 2020. [Google Scholar] [CrossRef]
- Ghosh, R. Protein separation using membrane chromatography: Opportunities and challenges. J. Chromatogr. A 2002, 952, 13–27. [Google Scholar] [CrossRef]
- Taitt, C.R.; Shriver-Lake, L.C.; Anderson, G.P.; Ligler, F.S. Surface Modification and Biomolecule Immobilization on Polymer Spheres for Biosensing Applications. In Biomedical Nanotechnology: Methods and Protocols; Hurst, S.J., Ed.; Methods in Molecular Biology; Humana Press: Totowa, NJ, USA, 2011; pp. 77–94. ISBN 978-1-61779-052-2. [Google Scholar]
- Pichot, C.; Taniguchi, T.; Delair, T.; Elaïssari, A. Functionalized Thermosensitive Latex Particles: Useful Tools for Diagnostics. J. Dispers. Sci. Technol. 2003, 24, 423–437. [Google Scholar] [CrossRef]
- Joglekar, M.; Trewyn, B.G. Polymer-based stimuli-responsive nanosystems for biomedical applications. Biotechnol. J. 2013, 8, 931–945. [Google Scholar] [CrossRef]
- Motornov, M.; Roiter, Y.; Tokarev, I.; Minko, S. Stimuli-responsive nanoparticles, nanogels and capsules for integrated multifunctional intelligent systems. Prog. Polym. Sci. 2010, 35, 174–211. [Google Scholar] [CrossRef]
- Zhao, Y.; Shi, C.; Yang, X.; Shen, B.; Sun, Y.; Chen, Y.; Xu, X.; Sun, H.; Yu, K.; Yang, B.; et al. pH- and Temperature-Sensitive Hydrogel Nanoparticles with Dual Photoluminescence for Bioprobes. ACS Nano 2016, 10, 5856–5863. [Google Scholar] [CrossRef]
- Sester, C.; Ofridam, F.; Lebaz, N.; Gagnière, E.; Mangin, D.; Elaissari, A. pH-Sensitive methacrylic acid–methyl methacrylate copolymer Eudragit L100 and dimethylaminoethyl methacrylate, butyl methacrylate, and methyl methacrylate tri-copolymer Eudragit E100. Polym. Adv. Technol. 2020, 31, 440–450. [Google Scholar] [CrossRef]
- Teratanatorn, P.; Hoskins, R.; Swift, T.; Douglas, C.W.I.; Shepherd, J.; Rimmer, S. Binding of Bacteria to Poly(N-isopropylacrylamide) Modified with Vancomycin: Comparison of Behavior of Linear and Highly Branched Polymers. Biomacromolecules 2017, 18, 2887–2899. [Google Scholar] [CrossRef]
- Rossi, S.; Lorenzo-Ferreira, C.; Battistoni, J.; Elaïssari, A.; Pichot, C.; Delair, T. Polymer mediated peptide immobilization onto amino-containing N-isopropylacrylamide-styrene core-shell particles. Colloid Polym. Sci. 2004, 282, 215–222. [Google Scholar] [CrossRef]
- Elaissari, A.; Delair, T.; Pichot, C. Thermally sensitive, hydrophilic, and reactive latex particles as versatile supports for biomolecules immobilization. In Progress in Colloid and Polymer Science; Tauer, K., Ed.; Springer: Berlin, Heidelberg, Germany, 2004; pp. 82–87. [Google Scholar]
- Taylor, L.D.; Cerankowski, L.D. Preparation of films exhibiting a balanced temperature dependence to permeation by aqueous solutions—a study of lower consolute behavior. J. Polym. Sci. Polym. Chem. Ed. 1975, 13, 2551–2570. [Google Scholar] [CrossRef]
- Shamim, N.; Hong, L.; Hidajat, K.; Uddin, M.S. Thermosensitive polymer (N-isopropylacrylamide) coated nanomagnetic particles: Preparation and characterization. Colloids Surf. B Biointerfaces 2007, 55, 51–58. [Google Scholar] [CrossRef] [PubMed]
- Pelton, R.H.; Chibante, P. Preparation of aqueous latices with N-isopropylacrylamide. Colloids Surf. 1986, 20, 247–256. [Google Scholar] [CrossRef]
- Kratz, K.; Hellweg, T.; Eimer, W. Influence of charge density on the swelling of colloidal poly(N-isopropylacrylamide-co-acrylic acid) microgels. Colloids Surf. Physicochem. Eng. Asp. 2000, 170, 137–149. [Google Scholar] [CrossRef]
- Xing, Z.; Wang, C.; Yan, J.; Zhang, L.; Li, L.; Zha, L. pH/temperature dual stimuli-responsive microcapsules with interpenetrating polymer network structure. Colloid Polym. Sci. 2010, 288, 1723–1729. [Google Scholar] [CrossRef]
- Nigro, V.; Angelini, R.; Rosi, B.; Bertoldo, M.; Buratti, E.; Casciardi, S.; Sennato, S.; Ruzicka, B. Study of network composition in interpenetrating polymer networks of poly(N isopropylacrylamide) microgels: The role of poly(acrylic acid). J. Colloid Interface Sci. 2019, 545, 210–219. [Google Scholar] [CrossRef]
- Duracher, D.; Sauzedde, F.; Elaissari, A.; Perrin, A.; Pichot, C. Cationic amino-containing N-isopropyl- acrylamide–styrene copolymer latex particles: 1-Particle size and morphology vs. polymerization process. Colloid Polym. Sci. 1998, 276, 219–231. [Google Scholar] [CrossRef]
- Duracher, D.; Sauzedde, F.; Elaïssari, A.; Pichot, C.; Nabzar, L. Cationic amino-containing N-isopropyl- acrylamide-styrene copolymer particles: 2-surface and colloidal characteristics. Colloid Polym. Sci. 1998, 276, 920–929. [Google Scholar] [CrossRef]
- Li, Y.; Huang, G.; Zhang, X.; Li, B.; Chen, Y.; Lu, T.; Lu, T.J.; Xu, F. Magnetic Hydrogels and Their Potential Biomedical Applications. Adv. Funct. Mater. 2013, 23, 660–672. [Google Scholar] [CrossRef]
- Karg, M.; Pastoriza-Santos, I.; Liz-Marzán, L.M.; Hellweg, T. A Versatile Approach for the Preparation of Thermosensitive PNIPAM Core–Shell Microgels with Nanoparticle Cores. ChemPhysChem 2006, 7, 2298–2301. [Google Scholar] [CrossRef]
- Karg, M.; Wellert, S.; Prevost, S.; Schweins, R.; Dewhurst, C.; Liz-Marzán, L.M.; Hellweg, T. Well defined hybrid PNIPAM core-shell microgels: Size variation of the silica nanoparticle core. Colloid Polym. Sci. 2011, 289, 699–709. [Google Scholar] [CrossRef]
- Nun, N.; Hinrichs, S.; Schroer, M.A.; Sheyfer, D.; Grübel, G.; Fischer, B. Tuning the Size of Thermoresponsive Poly(N-Isopropyl Acrylamide) Grafted Silica Microgels. Gels 2017, 3, 34. [Google Scholar] [CrossRef]
- Carneiro, N.M.; Percebom, A.M.; Loh, W. Quest for Thermoresponsive Block Copolymer Nanoparticles with Liquid–Crystalline Surfactant Cores. ACS Omega 2017, 2, 5518–5528. [Google Scholar] [CrossRef] [PubMed]
- Ferreira, G.A.; Loh, W. Liquid crystalline nanoparticles formed by oppositely charged surfactant-polyelectrolyte complexes. Curr. Opin. Colloid Interface Sci. 2017, 32, 11–22. [Google Scholar] [CrossRef]
- Berndt, I.; Richtering, W. Doubly Temperature Sensitive Core−Shell Microgels. Macromolecules 2003, 36, 8780–8785. [Google Scholar] [CrossRef]
- Wang, L.; Asher, S.A. Fabrication of Silica Shell Photonic Crystals through Flexible Core Templates. Chem. Mater. 2009, 21, 4608–4613. [Google Scholar] [CrossRef] [PubMed]
- Fujimoto, K.; Mizuhara, Y.; Tamura, N.; Kawaguchi, H. Interactions between Thermosensitive Hydrogel Microspheres and Proteins. J. Intell. Mater. Syst. Struct. 1993, 4, 184–189. [Google Scholar] [CrossRef]
- Silva, C.S.O.; Lansalot, M.; Garcia, J.Q.; Taipa, M.Â.; Martinho, J.M.G. Synthesis and characterization of biomimetic nanogels for immunorecognition. Colloids Surf. B Biointerfaces 2013, 112, 264–271. [Google Scholar] [CrossRef]
- Shiroya, T.; Tamura, N.; Yasui, M.; Fujimoto, K.; Kawaguchi, H. Enzyme immobilization on thermosensitive hydrogel microspheres. Colloids Surf. B Biointerfaces 1995, 4, 267–274. [Google Scholar] [CrossRef]
- Yasui, M.; Shiroya, T.; Fujimoto, K.; Kawaguchi, H. Activity of enzymes immobilized on microspheres with thermosensitive hairs. Colloids Surf. B Biointerfaces 1997, 8, 311–319. [Google Scholar] [CrossRef]
- Elaissari, A.; Holt, L.; Meunier, F.; Voisset, C.; Pichot, C.; Mandrand, B.; Mabilat, C. Hydrophilic and cationic latex particles for the specific extraction of nucleic acids. J. Biomater. Sci. Polym. Ed. 1999, 10, 403–420. [Google Scholar] [CrossRef]
- Yi, P.; Wang, Y.; Zhang, S.; Zhan, Y.; Zhang, Y.; Sun, Z.; Li, Y.; He, P. Stimulative nanogels with enhanced thermosensitivity for therapeutic delivery via β-cyclodextrin-induced formation of inclusion complexes. Carbohydr. Polym. 2017, 166, 219–227. [Google Scholar] [CrossRef]
- Zhou, Z.; Li, G.; Wang, N.; Guo, F.; Guo, L.; Liu, X. Synthesis of temperature/pH dual-sensitive supramolecular micelles from β-cyclodextrin-poly(N-isopropylacrylamide) star polymer for drug delivery. Colloids Surf. B Biointerfaces 2018, 172, 136–142. [Google Scholar] [CrossRef] [PubMed]
- Guo, F.; Li, G.; Ma, S.; Zhou, H.; Yu, X. Dual-responsive nanocarriers from star shaped poly(N-isopropylacrylamide) coated mesoporous silica for drug delivery. Int. J. Polym. Mater. Polym. Biomater. 2019, 0, 1–9. [Google Scholar] [CrossRef]
- Qasim, M.; Udomluck, N.; Chang, J.; Park, H.; Kim, K. Antimicrobial activity of silver nanoparticles encapsulated in poly-N-isopropylacrylamide-based polymeric nanoparticles. Int. J. Nanomedicine 2018, 13, 235–249. [Google Scholar] [CrossRef]
- Kim, Y.-H.; Babu, V.R.; Thangadurai, D.T.; Krishna Rao, K.S.V.; Cha, H.-R.; Kim, C.-D.; Joo, W.-H.; Lee, Y.-I. Synthesis, Characterization, and Antibacterial Applications of Novel Copolymeric Silver Nanocomposite Hydrogels. Bull. Korean Chem. Soc. 2011, 32, 553–558. [Google Scholar] [CrossRef]
- Morris, L.R.; Mock, R.A.; Marshall, C.A.; Howe, J.H. Synthesis of Some Amino Acid Derivatives of Styrene1. J. Am. Chem. Soc. 1959, 81, 377–382. [Google Scholar] [CrossRef]
- Bradford, M.M. A rapid and sensitive method for the quantitation of microgram quantities of protein utilizing the principle of protein-dye binding. Anal. Biochem. 1976, 72, 248–254. [Google Scholar] [CrossRef]
- Hazot, P.; Delair, T.; Pichot, C.; Chapel, J.-P.; Elaissari, A. Poly(N-ethylmethacrylamide) thermally-sensitive microgel latexes: Effect of the nature of the crosslinker on the polymerization kinetics and physicochemical properties. Comptes Rendus Chim. 2003, 6, 1417–1424. [Google Scholar] [CrossRef]
- Kawaguchi, H.; Fujimoto, K.; Mizuhara, Y. Hydrogel microspheres III. Temperature-dependent adsorption of proteins on poly-N-isopropylacrylamide hydrogel microspheres. Colloid Polym. Sci. 1992, 270, 53–57. [Google Scholar] [CrossRef]
- Nabzar, L.; Duracher, D.; Elaïssari, A.; Chauveteau, G.; Pichot, C. Electrokinetic Properties and Colloidal Stability of Cationic Amino-Containing N-Isopropylacrylamide−Styrene Copolymer Particles Bearing Different Shell Structures. Langmuir 1998, 14, 5062–5069. [Google Scholar] [CrossRef]
- Duracher, D.; Elaïssari, A.; Mallet, F.; Pichot, C. Adsorption of Modified HIV-1 Capsid p24 Protein onto Thermosensitive and Cationic Core−Shell Poly(styrene)−Poly(N-isopropylacrylamide) Particles. Langmuir 2000, 16, 9002–9008. [Google Scholar] [CrossRef]
- Taniguchi, T.; Duracher, D.; Delair, T.; Elaïssari, A.; Pichot, C. Adsorption/desorption behavior and covalent grafting of an antibody onto cationic amino-functionalized poly(styrene-N-isopropylacrylamide) core-shell latex particles. Colloids Surf. B Biointerfaces 2003. [Google Scholar] [CrossRef]









| Product (g) | CS | HG1 | HG2 |
|---|---|---|---|
| Water (mL) | 200 | 50 | 50 |
| NIPAM | 5.07 * | 1 | 1 |
| AEMH | 0.147 ** | / | / |
| IDA | / | / | 0.012 |
| MBA | 0.069 ** | 0.120 | 0.120 |
| V50 | 0.122 ** | / | / |
| KPS | / | 0.012 | 0.012 |
| Sample | Dh (20 °C) (nm) | Dh (50 °C) (nm) | δ (nm) |
|---|---|---|---|
| CS | 460 | 343 | 58.5 |
| HG1 | 350 | 225 | 62.5 |
| HG2 | 220 | 140 | 40.0 |
© 2020 by the authors. Licensee MDPI, Basel, Switzerland. This article is an open access article distributed under the terms and conditions of the Creative Commons Attribution (CC BY) license (http://creativecommons.org/licenses/by/4.0/).
Share and Cite
Levourch, G.; Lebaz, N.; Elaissari, A. Hydrophilic Submicron Nanogel Particles for Specific Recombinant Proteins Extraction and Purification. Polymers 2020, 12, 1413. https://doi.org/10.3390/polym12061413
Levourch G, Lebaz N, Elaissari A. Hydrophilic Submicron Nanogel Particles for Specific Recombinant Proteins Extraction and Purification. Polymers. 2020; 12(6):1413. https://doi.org/10.3390/polym12061413
Chicago/Turabian StyleLevourch, Gaëlle, Noureddine Lebaz, and Abdelhamid Elaissari. 2020. "Hydrophilic Submicron Nanogel Particles for Specific Recombinant Proteins Extraction and Purification" Polymers 12, no. 6: 1413. https://doi.org/10.3390/polym12061413
APA StyleLevourch, G., Lebaz, N., & Elaissari, A. (2020). Hydrophilic Submicron Nanogel Particles for Specific Recombinant Proteins Extraction and Purification. Polymers, 12(6), 1413. https://doi.org/10.3390/polym12061413

