Crosslinked Pore-Filling Anion Exchange Membrane Using the Cylindrical Centrifugal Force for Anion Exchange Membrane Fuel Cell System
Abstract
1. Introduction
2. Materials and Methods
2.1. Materials
2.2. Synthesis of Acylated Poly(Phenylene Oxide) (Ac-PPO)
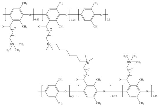
2.3. Preparation of Crosslinked Pore-Filling Anion Exchange Membrane
2.4. Experimental Technique
2.4.1. 1H-NMR and FE-SEM
2.4.2. Ion Exchange Capacity, Water Uptake, Swelling Ratio and Hydration Number
2.4.3. Mechanical Properties: Tensile Strength, Elongation at Break and Young’s Modulus
2.4.4. Hydroxide Conductivity and Area Specific Resistance
2.4.5. Alkaline Stability
2.4.6. Single Cell Performance
3. Results and Discussions
3.1. Structure Analysis
3.2. Fabrication of Crosslinked Pore-Filling Membrane and Morphology
3.3. Mechanical Properties
3.4. IEC, WU, SR and λ value
3.5. Hydroxide Conductivity & ASR
3.6. Alkaline Stability
3.7. Single Cell Performance
4. Conclusions
Supplementary Materials
Author Contributions
Funding
Conflicts of Interest
References
- Panasonic Home Page. Available online: https://www.panasonic.com/global/corporate/brand/story/clean_energy.html (accessed on 6 October 2020).
- Bibri, S.E. The Eco-City and its Core Environmental Dimension of Sustainability: Green Energy Technologies and their Integration with Data-Driven Smart Solutions. Energy Inform. 2020, 3, 1–26. [Google Scholar] [CrossRef]
- Son, T.Y.; Kim, D.J.; Vijayakumar, V.; Kim, K.; Kim, D.S.; Nam, S.Y. Anion Exchange Membrane using Poly(Ether Ether Ketone) Containing Imidazolium for Anion Exchange Membrane Fuel Cell (AEMFC). J. Ind. Eng. Chem. 2020, 89, 175–182. [Google Scholar] [CrossRef]
- Son, T.Y.; Ko, T.H.; Vijayakumar, V.; Kim, K.; Nam, S.Y. Anion Exchange Composite Membranes Composed of Poly(Phenylene Oxide) Containing Quaternary Ammonium and Polyethylene Support for Alkaline Anion Exchange Membrane Fuel Cell Applications. Solid State Ionics 2020, 344, 115153. [Google Scholar] [CrossRef]
- Lee, S.Y.; Chae, J.E.; Choi, J.; Park, H.S.; Henkensmeier, D.; Yoo, S.J.; Kim, J.Y.; Na, Y.; Jang, J.H.; Kim, H. Dual Exchange Membrane Fuel Cell with Sequentially Aligned Cation and Anion Exchange Membranes for Non-Humidified Operation. J. Membr. Sci. 2020, 596, 117745. [Google Scholar] [CrossRef]
- Lee, W.J.; Lee, J.S.; Park, H.; Park, H.S.; Lee, S.Y.; Song, K.H.; Kim, H. Improvement of Fuel Cell Performances through the Enhanced Dispersion of the PTFE Binder in Electrodes for use in High Temperature Polymer Electrolyte Membrane Fuel Cells. Int. J. Hydrogen Energy 2020, in press. [Google Scholar] [CrossRef]
- He, Q.; Cairns, E.J. Recent Progress in Electrocatalysts for Oxygen Reduction Suitable for Alkaline Anion Exchange Membrane Fuel Cells. J. Electrochem. Soc. 2015, 162, F1504–F1539. [Google Scholar] [CrossRef]
- Dekel, D.R. Review of Cell Performance in Anion Exchange Membrane Fuel Cells. J. Power Sources 2018, 375, 158–169. [Google Scholar] [CrossRef]
- Mustain, W.E.; Chatenet, M.; Page, M.; Kim, Y.S. Durability Challenges of Anion Exchange Membrane Fuel Cells. Energy Environ. Sci. 2020, 13, 2805–2838. [Google Scholar] [CrossRef]
- Son, T.Y.; Kim, T.H.; Kim, H.J.; Nam, S.Y. Problems and Solutions of Anion Exchange Membranes for Anion Exchange Membrane Fuel Cell (AEMFC). Appl. Chem. Eng. 2018, 29, 489–496. [Google Scholar]
- Sung, S.; Mayadevi, T.S.; Chae, J.E.; Kim, H.; Kim, T. Effect of Increasing hydrophilic–hydrophobic Block Length in Quaternary Ammonium-Functionalized Poly(Ether Sulfone) Block Copolymer for Anion Exchange Membrane Fuel Cells. J. Ind. Eng. Chem. 2020, 81, 124–134. [Google Scholar] [CrossRef]
- Xiong, Y.; Fang, J.; Zeng, Q.H.; Liu, Q.L. Preparation and Characterization of Cross-Linked Quaternized Poly (Vinyl Alcohol) Membranes for Anion Exchange Membrane Fuel Cells. J. Membr. Sci. 2008, 311, 319–325. [Google Scholar] [CrossRef]
- Mandal, M.; Huang, G.; Hassan, N.U.; Mustain, W.E.; Kohl, P.A. Poly(norbornene) anion conductive membranes: Homopolymer, block copolymer and random copolymer properties and performance. J. Mater. Chem. A 2020, 8, 17568–17578. [Google Scholar] [CrossRef]
- Hassan, N.U.; Mandal, M.; Huang, G.; Firouzjaie, H.A.; Kohl, P.A.; Mustain, W.E. Achieving high-performance and 2000 h stability in anion exchange membrane fuel cells by manipulating ionomer properties and electrode optimization. Adv. Energy Mater. 2020, 10, 2001986. [Google Scholar] [CrossRef]
- Mandal, M.; Huang, G.; Hassan, N.U.; Peng, X.; Gu, T.; Brooks-starks, A.H.; Bahar, B.; Mustain, W.E.; Kohl, P.A. The importance of water transport in high conductivity and high-power alkaline fuel cell. J. Electrochem. Soc. 2020, 167, 054501. [Google Scholar] [CrossRef]
- Huang, G.; Mandal, M.; Peng, X.; Yang-Neyerlin, A.C.; Pivovar, B.S.; Mustain, W.E.; Kohl, P.A. Composite poly(norbornene) anion conducting membranes for achieving durability, water management and high power (3.4 W/cm2) in hydrogen/oxygen alkaline fuel cell. J. Electrochem. Soc. 2020, 166, F637–F644. [Google Scholar] [CrossRef]
- Chen, W.; Mandal, M.; Huang, G.; Wu, X.; He, G.; Kohl, P.A. Highly conducting anion exchange membranes based on cross-linked poly(norbornene): Ring opening metathesis polymerization. ACS Appl. Energy Mater. 2020, 2, 2458–2468. [Google Scholar] [CrossRef]
- Mandal, M.; Huang, G.; Kohl, P.A. Anionic multiblock copolymer membrane based on vinyl addition polymerization of norbornenes: Applications in anion exchange membrane fuel cells. J. Membr. Sci. 2019, 570–571, 394–402. [Google Scholar] [CrossRef]
- Wu, L.; Pan, Q.; Varcoe, J.R.; Zhou, D.; Ran, J.; Yang, Z.; Xu, T. Thermal Crosslinking of an Alkaline Anion Exchange Membrane Bearing Unsaturated Side Chains. J. Membr. Sci. 2015, 490, 1–8. [Google Scholar] [CrossRef]
- Wang, T.; Jeon, J.Y.; Han, J.; Kim, J.H.; Bae, C.; Kim, S. Poly(Terphenylene) Anion Exchange Membranes with High Conductivity and Low Vanadium Permeability for Vanadium Redox Flow Batteries (VRFBs). J. Membr. Sci. 2020, 598, 117665. [Google Scholar] [CrossRef]
- Zhang, F.; Zhang, H.; Qu, C. Imidazolium Functionalized Polysulfone Anion Exchange Membrane for Fuel Cell Application. J. Mater. Chem. 2011, 21, 12744–12752. [Google Scholar] [CrossRef]
- Kim, D.J.; Park, C.H.; Nam, S.Y. Characterization of a Soluble Poly(Ether Ether Ketone) Anion Exchange Membrane for Fuel Cell Application. Int. J. Hydrogen Energy 2016, 41, 7649–7658. [Google Scholar] [CrossRef]
- Zhang, Z.; Xiao, X.; Yan, X.; Liang, X.; Wu, L. Highly Conductive Anion Exchange Membranes Based on One-Step Benzylation Modification of Poly (Ether Ether Ketone). J. Membr. Sci. 2019, 574, 205–211. [Google Scholar] [CrossRef]
- Zeng, Q.H.; Liu, Q.L.; Broadwell, I.; Zhu, A.M.; Xiong, Y.; Tu, X.P. Anion Exchange Membranes Based on Quaternized Polystyrene-Block-Poly(Ethylene-Ran-Butylene)-Block-Polystyrene for Direct Methanol Alkaline Fuel Cells. J. Membr. Sci. 2010, 349, 237–243. [Google Scholar] [CrossRef]
- Garcia, E.D.; Jung, B.S. Polymer Electrolyte Membranes of Poly(styrene-butadiene-styrene) Star Triblock Copolymer for Fuel Cell. Membr. J. 2019, 29, 252–262. [Google Scholar] [CrossRef]
- Al Munsur, A.Z.; Hossain, I.; Nam, S.Y.; Chae, J.E.; Kim, T. Hydrophobic-Hydrophilic Comb-Type Quaternary Ammonium-Functionalized SEBS Copolymers for High Performance Anion Exchange Membranes. J. Membr. Sci. 2020, 599, 117829. [Google Scholar] [CrossRef]
- Olsson, J.S.; Pham, T.H.; Jannasch, P. Poly(Arylene Piperidinium) Hydroxide Ion Exchange Membranes: Synthesis, Alkaline Stability, and Conductivity. Adv. Funct. Mater. 2018, 28, 1702758. [Google Scholar] [CrossRef]
- Lim, H.; Lee, B.; Yun, D.; Al Munsur, A.Z.; Chae, J.E.; Lee, S.Y.; Kim, H.-J.; Nam, S.Y.; Park, C.H.; Kim, T.-H. Poly(2,6-Dimethyl-1,4-Phenylene Oxide)s with various Head Groups: Effect of Head Groups on the Properties of Anion Exchange Membranes. ACS Appl. Mater. Interfaces 2018, 10, 41279–41292. [Google Scholar] [CrossRef]
- Vijayakumar, V.; Kim, K.; Nam, S.Y. Recent Advances in Polybenzimidazole (PBI)-based Polymer Electrolyte Membranes for High Temperature Fuel Cell Applications. Appl. Chem. Eng. 2019, 30, 643–651. [Google Scholar]
- Lee, K.H.; Han, J.Y.; Ryu, C.H.; Hwang, G.J. Preparation of an Anion Exchange Membrane Using the Blending Polymer of Poly(ether sulfone) (PES) and Poly(phenylene sulfide sulfone) (PPSS). Membr. J. 2019, 29, 155–163. [Google Scholar] [CrossRef]
- Wang, Z.; Mandal, M.; Sankarasubramanian, S.; Huang, G.; Kohl, P.A.; Ramani, V.K. Influence of water transport across microscale bipolar interfaces on the performance of direct borohydride fuel cells. ACS Appl. Energy Mater. 2020, 3, 4449–4456. [Google Scholar] [CrossRef]
- Mandal, M.; Huang, G.; Kohl, P.A. Highly conductive anion exchange membranes based on cross-linked poly(norbornene): Vinyl addition polymerization. ACS Appl. Energy Mater. 2019, 2, 2447–2457. [Google Scholar] [CrossRef]
- Lim, H.; Kim, T.-H. Hydrophobic Comb-Shaped Polymers Based on PPO with Long Alkyl Side Chains as Novel Anion Exchange Membranes. Macromol. Res. 2017, 25, 1220–1229. [Google Scholar] [CrossRef]
- Hagesteijn, K.F.L.; Jiang, S.; Ladewig, B.P. A review of the synthesis and characterization of anion exchange membranes. J. Mater. Sci. 2018, 53, 111131–111150. [Google Scholar] [CrossRef]
- Hibbs, M.R. Alkaline Stability of Poly(Phenylene)-Based Anion Exchange Membranes with various Cations. J. Polym. Sci. Part B: Polym. Phys. 2013, 51, 1736–1742. [Google Scholar] [CrossRef]
- Zhu, L.; Zimudzi, T.J.; Li, N.; Pan, J.; Lin, B.; Hickner, M.A. Crosslinking of Comb-shaped Polymer Anion Exchange Membrane via Thiol-ene click chemistry. Polym. Chem. 2016, 7, 2464–2475. [Google Scholar] [CrossRef]
- Kim, D.S.; Labouriau, A.; Guiver, M.D.; Kim, Y.S. Guanidinium-Functionalized Anion Exchange Polymer Electrolytes Via Activated Fluorophenyl-Amine Reaction. Chem. Mater. 2011, 23, 3795–3797. [Google Scholar] [CrossRef]
- Han, J.; Kim, K.; Kim, J.; Kim, S.; Choi, S.; Lee, H.; Kim, J.; Kim, T.; Sung, Y.; Lee, J. Cross-Linked Highly Sulfonated Poly(Arylene Ether Sulfone) Membranes Prepared by in-Situ Casting and Thiol-Ene Click Reaction for Fuel Cell Application. J. Membr. Sci. 2019, 579, 70–78. [Google Scholar] [CrossRef]
- Ko, T.; Kim, K.; Jung, B.; Cha, S.; Kim, S.; Lee, J. Cross-Linked Sulfonated Poly (Arylene Ether Sulfone) Membranes Formed by in Situ Casting and Click Reaction for Applications in Fuel Cells. Macromolecules 2015, 48, 1104–1114. [Google Scholar] [CrossRef]
- Yang, J.; Li, Q.; Cleemann, L.N.; Jensen, J.O.; Pan, C.; Bjerrum, N.J.; He, R. Crosslinked Hexafluoropropylidene Polybenzimidazole Membranes with Chloromethyl Polysulfone for Fuel Cell Applications. Adv. Energy Mater. 2013, 3, 622–630. [Google Scholar] [CrossRef]
- Yang, J.; Xu, Y.; Liu, P.; Gao, L.; Che, Q.; He, R. Epoxides Cross-Linked Hexafluoropropylidene Polybenzimidazole Membranes for Application as High Temperature Proton Exchange Membranes. Electrochim. Acta 2015, 160, 281–287. [Google Scholar] [CrossRef]
- Zhu, T.; Tang, C. Crosslinked Metallo-Polyelectrolytes with Enhanced Flexibility and Dimensional Stability for Anion-Exchange Membranes. Polym. Chem. 2020, 11, 4542–4546. [Google Scholar] [CrossRef]
- Golubenko, D.V.; Van der Bruggen, B.; Yaroslavtsev, A.B. Novel Anion Exchange Membrane with Low Ionic Resistance Based on chloromethylated/quaternized-Grafted Polystyrene for Energy Efficient Electromembrane Processes. J. Appl. Polym. Sci. 2020, 137, 48656. [Google Scholar] [CrossRef]
- Dekel, D.R.; Amar, M.; Willdorf, S.; Kosa, M.; Dhara, S.; Diesendruck, C.E. Effect of Water on the Stability of Quaternary Ammonium Groups for Anion Exchange Membrane Fuel Cell Applications. Chem. Mater. 2017, 29, 4425–4431. [Google Scholar] [CrossRef]
- Tripathi, B.P.; Kumar, M.; Shahi, V.K. Organic-Inorganic Hybrid Alkaline Membranes by Epoxide Ring Opening for Direct Methanol Fuel Cell Applications. J. Membr. Sci. 2010, 360, 90–101. [Google Scholar] [CrossRef]
- Vijayakumar, V.; Son, T.Y.; Kim, H.J.; Nam, S.Y. A Facile Approach to Fabricate Poly(2,6-Dimethyl-1,4-Phenylene Oxide) Based Anion Exchange Membranes with Extended Alkaline Stability and Ion Conductivity for Fuel Cell Applications. J. Membr. Sci. 2019, 591, 117314. [Google Scholar] [CrossRef]
- Li, X.; Yu, Y.; Liu, Q.; Meng, Y. Synthesis and Characterization of Anion Exchange Membranes Based on Poly(Arylene Ether Sulfone)s Containing various Cations Functioned Tetraphenyl Methane Moieties. Int. J. Hydrogen Energy 2013, 38, 11067–11073. [Google Scholar] [CrossRef]
- Carbone, A.; Zignani, S.C.; Gatto, I.; Trocino, S.; Aricò, A.S. Assessment of the FAA3-50 Polymer Electrolyte in Combination with a NiMn2O4 Anode Catalyst for Anion Exchange Membrane Water Electrolysis. Int. J. Hydrogen Energy 2020, 45, 9285–9292. [Google Scholar] [CrossRef]
- Mahmoud, A.M.A.; Elsaghier, A.M.M.; Miyatake, K. Effect of Ammonium Groups on the Properties of Anion Conductive Membranes Based on Partially Fluorinated Aromatic Polymers. RSC Adv. 2016, 6, 27862–27870. [Google Scholar] [CrossRef]
- Wang, Z.; Li, Z.; Chen, N.; Lu, C.; Wang, F.; Zhu, H. Crosslinked poly(2,6-dimethyl-1,4-phenylene oxide) polyelectrolyte enhanced with poly(styrene-b-(ethylene-co-butylene)-b-styrene) for anion exchange membrane applications. J. Membr. Sci. 2018, 564, 492–500. [Google Scholar] [CrossRef]
- Lai, A.N.; Guo, D.; Lin, C.X.; Zhang, Q.G.; Zhu, A.M.; Ye, M.L.; Liu, Q.L. Enhanced performance of anion exchange membranes via crosslinking of ion cluster regions for fuel cells. J. Power Sources 2016, 327, 56–66. [Google Scholar] [CrossRef]









| Properties | Sample | |||
|---|---|---|---|---|
| XAc-PPO70_100 | PF-XAc-PPO70_100 | PF-XAc-PPO70_50 | PF-XAc-PPO70_25 | |
| Tensilte strength (MPa) | N/A | 42.2 | 51.1 | 56.1 |
| Elongation at break (%) | N/A | 13.0 | 23.0 | 32.7 |
| Young’s modulus (MPa) | N/A | 1345.5 | 577.7 | 781.0 |
| Sample | IEC (meq/g) | Water Uptake (%) | Swelling Ratio (%) | λ | ||||||
|---|---|---|---|---|---|---|---|---|---|---|
| Theo | Exp | 25 °C | 80 °C | 25 °C (Δt) | 80 °C (Δt) | 25 °C (Δl) | 80 °C (Δl) | 25 °C | 80 °C | |
| XAc-PPO70_100 | 2.96 | 2.65 ± 0.12 | 106.0 ± 7.5 | 131.4 ± 5.5 | 7.38 ± 2.6 | 9.76 ± 0.2 | 29.2 ± 4.2 | 29.2 ± 4.2 | 19.9 | 24.7 |
| PF-XAc-PPO70_100 | N/A | 2.05 ± 0.02 | 21.3 ± 1.9 | 57.7 ± 7.0 | 0.9 ± 0.9 | 0.9 ± 0.9 | 6.3 ± 1.3 | 9.0 ± 1.0 | 5.8 | 15.6 |
| PF-XAc-PPO70_50 | N/A | 2.09 ± 0.03 | 37.0 ± 1.4 | 61.8 ± 8.1 | 2.7 ± 0.9 | 2.8 ± 0.9 | 9.3 ± 0.8 | 14.8 ± 0.8 | 9.8 | 16.4 |
| PF-XAc-PPO70_25 | N/A | 2.05 ± 0.06 | 46.7 ± 1.3 | 78.9 ± 12.3 | 3.5 ± 1.8 | 6.7 ± 1.0 | 11.3 ± 1.3 | 17.5 ± 2.5 | 12.7 | 21.4 |
| Sample | Hydroxide Conductivity (mS/cm) | ASR (Ω·cm2) | ||||
|---|---|---|---|---|---|---|
| In DI water | 95%RH | |||||
| 25 °C | 40 °C | 60 °C | 80 °C | 80 °C | ||
| PF-XAc-PPO70_100 | 30.7 | 37.3 | 44.8 | 50.8 | 49.5 | 0.069 |
| PF-XAc-PPO70_50 | 35.8 | 40.2 | 52.5 | 65.5 | 63.6 | 0.053 |
| PF-XAc-PPO70_25 | 47.7 | 57.5 | 71.4 | 87.1 | 79.3 | 0.040 |
Publisher’s Note: MDPI stays neutral with regard to jurisdictional claims in published maps and institutional affiliations. |
© 2020 by the authors. Licensee MDPI, Basel, Switzerland. This article is an open access article distributed under the terms and conditions of the Creative Commons Attribution (CC BY) license (http://creativecommons.org/licenses/by/4.0/).
Share and Cite
Son, T.Y.; Kim, T.-H.; Nam, S.Y. Crosslinked Pore-Filling Anion Exchange Membrane Using the Cylindrical Centrifugal Force for Anion Exchange Membrane Fuel Cell System. Polymers 2020, 12, 2758. https://doi.org/10.3390/polym12112758
Son TY, Kim T-H, Nam SY. Crosslinked Pore-Filling Anion Exchange Membrane Using the Cylindrical Centrifugal Force for Anion Exchange Membrane Fuel Cell System. Polymers. 2020; 12(11):2758. https://doi.org/10.3390/polym12112758
Chicago/Turabian StyleSon, Tae Yang, Tae-Hyun Kim, and Sang Yong Nam. 2020. "Crosslinked Pore-Filling Anion Exchange Membrane Using the Cylindrical Centrifugal Force for Anion Exchange Membrane Fuel Cell System" Polymers 12, no. 11: 2758. https://doi.org/10.3390/polym12112758
APA StyleSon, T. Y., Kim, T.-H., & Nam, S. Y. (2020). Crosslinked Pore-Filling Anion Exchange Membrane Using the Cylindrical Centrifugal Force for Anion Exchange Membrane Fuel Cell System. Polymers, 12(11), 2758. https://doi.org/10.3390/polym12112758

