Effect of Hydrophobic Interactions on Lower Critical Solution Temperature for Poly(N-isopropylacrylamide-co-dopamine Methacrylamide) Copolymers
Abstract
1. Introduction
2. Experimental
2.1. Materials
2.2. Synthesis of Dopamine Methacrylamide (DMA)
2.3. Synthesis of Random Poly(NIPAM-co-DMA) Copolymers
2.4. Analytical Methods
2.4.1. Nuclear Magnetic Resonance
2.4.2. Gel Permeation Chromatography (GPC)
2.4.3. Thermogravimetric Analysis
2.4.4. Differential Scanning Calorimetry (DSC)
2.4.5. UV-Visible Spectroscopy
2.4.6. Rheological Measurements
2.5. Statistical Modeling
3. Results
3.1. Synthesis and Molecular Characterization
3.2. LCST Behavior
3.3. Influence of DMA on LCST
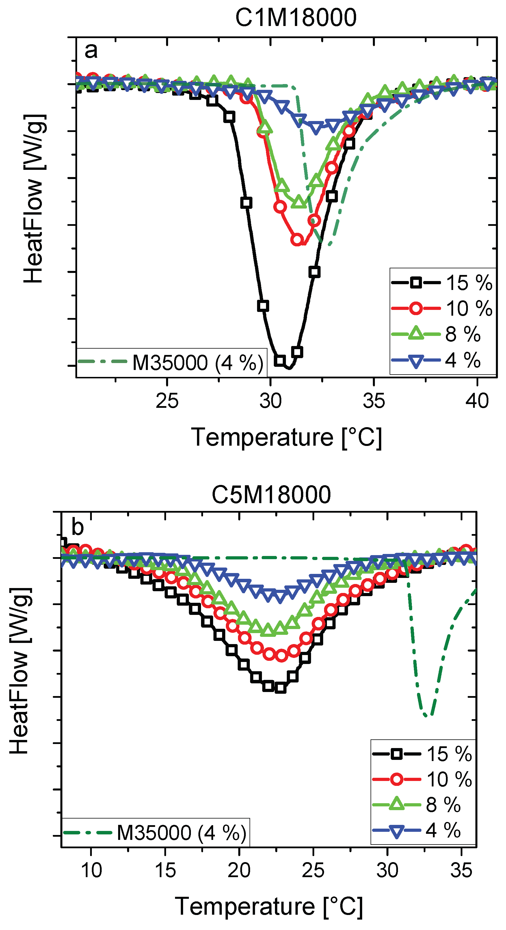
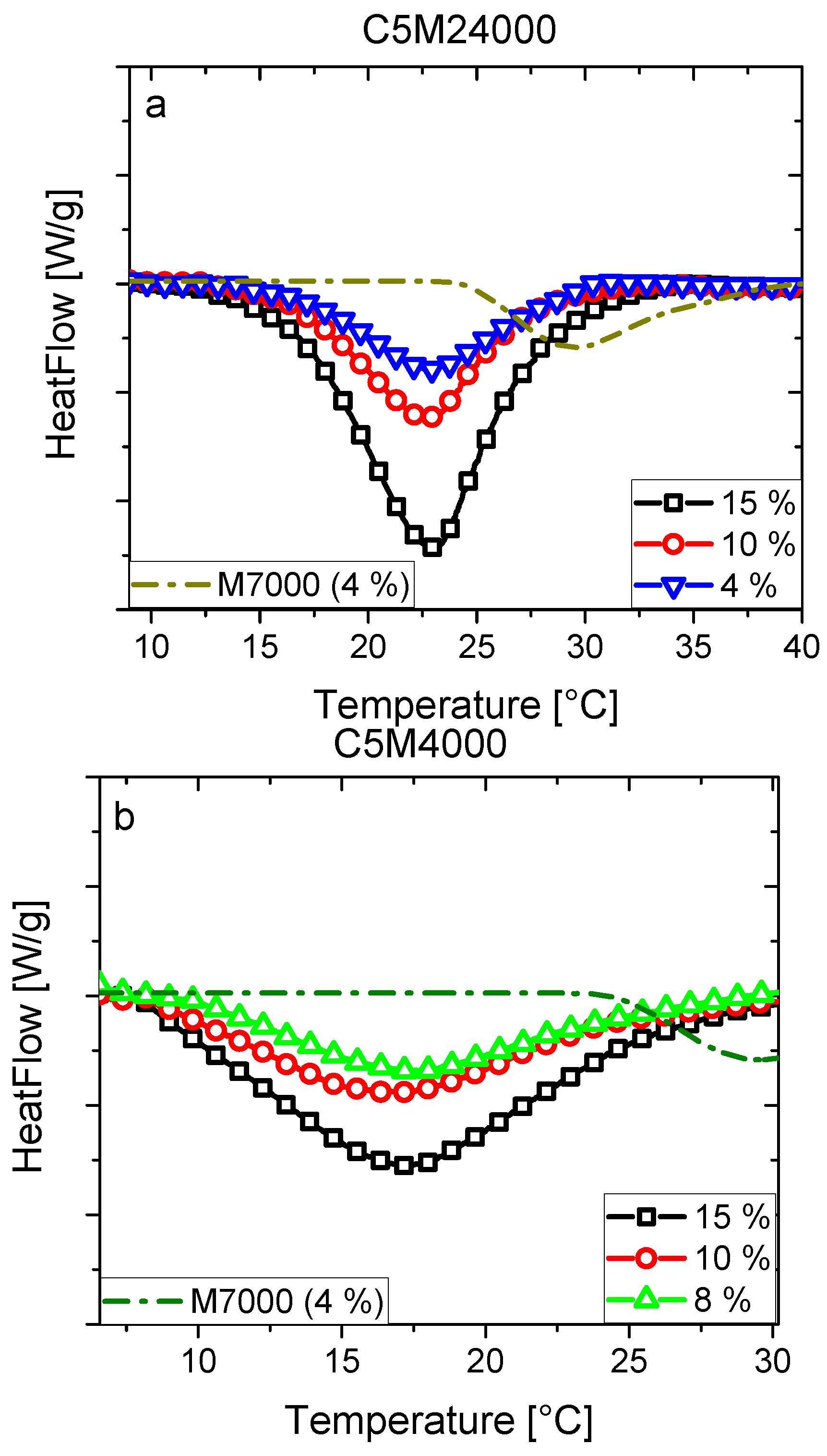
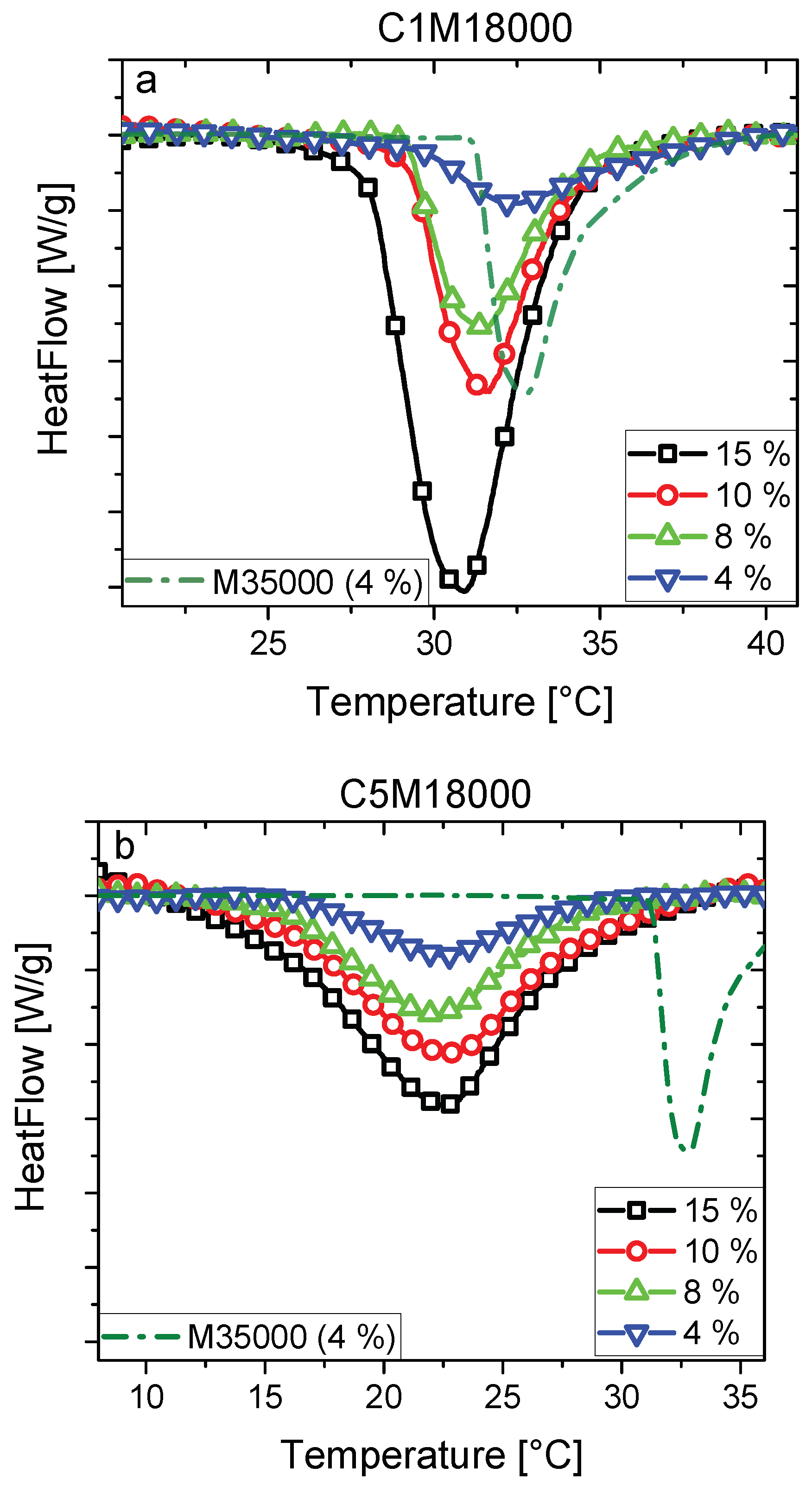
3.4. LCST for Copolymers with Different Molecular Weight
3.5. LCST Ranges
4. Statistical Modeling
5. Conclusions
Supplementary Materials
Author Contributions
Funding
Conflicts of Interest
References
- Kotsuchibashi, Y.; Ebara, M.; Aoyagi, T.; Narain, R. Recent Advances in Dual Temperature Responsive Block Copolymers and Their Potential as Biomedical Applications. Polymers 2016, 8, 380. [Google Scholar] [CrossRef] [PubMed]
- Stuart, M.A.C.; Huck, W.T.; Genzer, J.; Müller, M.; Ober, C.; Stamm, M.; Sukhorukov, G.B.; Szleifer, I.; Tsukruk, V.V.; Urban, M.; et al. Emerging applications of stimuli-responsive polymer materials. Nat. Mater. 2010, 9, 101–113. [Google Scholar] [CrossRef] [PubMed]
- Hoffman, A.S. Stimuli-responsive polymers: Biomedical applications and challenges for clinical translation. Adv. Drug Deliv. Rev. 2013, 65, 10–16. [Google Scholar] [CrossRef] [PubMed]
- Elsabahy, M.; Wooley, K.L. Design of polymeric nanoparticles for biomedical delivery applications. Chem. Soc. Rev. 2012, 41, 2545–2561. [Google Scholar] [CrossRef] [PubMed]
- Schild, H.G. Poly(N-isopropylacrylamide): Experiment, theory and application. Prog. Polym. Sci. 1992, 17, 163–249. [Google Scholar] [CrossRef]
- Saeed, A.; Georget, D.M.R.; Mayes, A.G. Synthesis, characterisation and solution thermal behaviour of a family of poly (N-isopropyl acrylamide-co-N-hydroxymethyl acrylamide) copolymers. React. Funct. Polym. 2010, 70, 230–237. [Google Scholar] [CrossRef]
- Obeso-Vera, C.; Cornejo-Bravo, J.M.; Serrano-Medina, A.; Licea-Claverie, A. Effect of crosslinkers on size and temperature sensitivity of poly(N-isopropylacrylamide) microgels. Polym. Bull. 2012, 70, 653–664. [Google Scholar] [CrossRef]
- Oh, J.K.; Drumright, R.; Siegwart, D.J.; Matyjaszewski, K. The development of microgels/nanogels for drug delivery applications. Prog. Polym. Sci. 2008, 33, 448–477. [Google Scholar] [CrossRef]
- Ballauff, M.; Lu, Y. “Smart” nanoparticles: Preparation, characterization and applications. Polymer 2007, 48, 1815–1823. [Google Scholar] [CrossRef]
- Chen, S.; Jiang, X.; Sun, L. Effects of end groups on the thermal response of poly(N-isopropylacrylamide) microgels. J. Appl. Polym. Sci. 2013, 130, 1164–1171. [Google Scholar] [CrossRef]
- Vatankhah-Varnoosfaderani, M.; Hashmi, S.; GhavamiNejad, A.; Stadler, F.J. Rapid self-healing and triple stimuli responsiveness of a supramolecular polymer gel based on boron–catechol interactions in a novel water-soluble mussel-inspired copolymer. Polym. Chem. 2014, 5, 512–523. [Google Scholar] [CrossRef]
- Brassinne, J.; Fustin, C.A.; Gohy, J.F. Control over the assembly and rheology of supramolecular networks via multi-responsive double hydrophilic copolymers. Polym. Chem. 2017, 8, 1527–1539. [Google Scholar] [CrossRef]
- Tugulu, S.; Arnold, A.; Sielaff, I.; Johnsson, K.; Klok, H.A. Protein-functionalized polymer brushes. Biomacromolecules 2005, 6, 1602–1607. [Google Scholar] [CrossRef] [PubMed]
- Zhou, Y.; Jiang, K.; Song, Q.; Liu, S. Thermo-induced formation of unimolecular and multimolecular micelles from novel double hydrophilic multiblock copolymers of N,N-dimethylacrylamide and N-isopropylacrylamide. Langmuir 2007, 23, 13076–13084. [Google Scholar] [CrossRef] [PubMed]
- Sivakumaran, D.; Maitland, D.; Hoare, T. Injectable microgel-hydrogel composites for prolonged small-molecule drug delivery. Biomacromolecules 2011, 12, 4112–4120. [Google Scholar] [CrossRef]
- Pan, Y.; Bao, H.; Sahoo, N.G.; Wu, T.; Li, L. Water-Soluble Poly(N-isopropylacrylamide)-Graphene Sheets Synthesized via Click Chemistry for Drug Delivery. Adv. Funct. Mater. 2011, 21, 2754–2763. [Google Scholar] [CrossRef]
- Bigot, J.; Charleux, B.; Cooke, G.; Delattre, F.; Fournier, D.; Lyskawa, J.; Sambe, L.; Stoffelbach, F.; Woisel, P. Tetrathiafulvalene end-functionalized poly(N-isopropylacrylamide): A new class of amphiphilic polymer for the creation of multistimuli responsive micelles. J. Am. Chem. Soc. 2010, 132, 10796–10801. [Google Scholar] [CrossRef]
- Oyeneye, O.O.; Xu, W.Z.; Charpentier, P.A. Designing catechol-end functionalized poly(DMAm-co-NIPAM) by RAFT with tunable LCSTs. J. Polym. Sci. Part A Polym. Chem. 2017, 55, 4062–4070. [Google Scholar] [CrossRef]
- Schilli, C.M.; Müller, A.H.E.; Rizzardo, E.; Thang, S.H.; Chong, Y.K. RAFT Polymers: Novel Precursors for Polymer—Protein Conjugates. In Advances in Controlled/Living Radical Polymerization; American Chemical Society: Washington, DC, USA, 2003; Volume 854, pp. 603–618. [Google Scholar]
- Kujawa, P.; Segui, F.; Shaban, S.; Diab, C.; Okada, Y.; Tanaka, F.; Winnik, F.M. Impact of End-Group Association and Main-Chain Hydration on the Thermosensitive Properties of Hydrophobically Modified Telechelic Poly(N-isopropylacrylamides) in Water. Macromolecules 2006, 39, 341–348. [Google Scholar] [CrossRef]
- Zhang, Q.; Weber, C.; Schubert, U.S.; Hoogenboom, R. Thermoresponsive polymers with lower critical solution temperature: From fundamental aspects and measuring techniques to recommended turbidimetry conditions. Mater. Horiz. 2017, 4, 109–116. [Google Scholar] [CrossRef]
- Quinn, J.F.; Davis, T.P.; Rizzardo, E. Ambient temperature reversible addition–fragmentation chain transfer polymerisation. Chem. Commun. 2001, 11, 1044–1045. [Google Scholar] [CrossRef]
- Glass, P.; Chung, H.; Washburn, N.R.; Sitti, M. Enhanced reversible adhesion of dopamine methacrylamide-coated elastomer microfibrillar structures under wet conditions. Langmuir 2009, 25, 6607–6612. [Google Scholar] [CrossRef] [PubMed]
- Hou, L.; Wu, P. Comparison of LCST-transitions of homopolymer mixture, diblock and statistical copolymers of NIPAM and VCL in water. Soft matter 2015, 11, 2771–2781. [Google Scholar] [CrossRef] [PubMed]
- Moad, G.; Rizzardo, E.; Thang, S.H. Toward living radical polymerization. Acc. Chem. Res. 2008, 41, 1133–1142. [Google Scholar] [CrossRef] [PubMed]
- Sun, X.; Tyagi, P.; Agate, S.; Lucia, L.; McCord, M.; Pal, L. Unique thermo-responsivity and tunable optical performance of poly(N-isopropylacrylamide)-cellulose nanocrystal hydrogel films. Carbohydr. Polym. 2019, 208, 495–503. [Google Scholar] [CrossRef] [PubMed]
- Guillet, P.; Mugemana, C.; Stadler, F.J.; Schubert, U.S.; Fustin, C.A.; Bailly, C.; Gohy, J.F. Connecting micelles by metallo-supramolecular interactions: Towards stimuli responsive hierarchical materials. Soft Matter 2009, 5, 3409. [Google Scholar] [CrossRef]
- Abetz, V.; Simon, P.F.W. Phase Behaviour and Morphologies of Block Copolymers. In Block Copolymers I; Springer: Berlin/Heidelberg, Germany, 2005. [Google Scholar]
- Alexandridis, P.; Alan Hatton, T. Poly(ethylene oxide) poly(propylene oxide) poly(ethylene oxide) block copolymer surfactants in aqueous solutions and at interfaces: Thermodynamics, structure, dynamics, and modeling. Colloids Surf. A 1995, 96, 1–46. [Google Scholar] [CrossRef]
- Castelletto, V.; Caillet, C.; Fundin, J.; Hamley, I.W.; Yang, Z.; Kelarakis, A. The liquid–solid transition in a micellar solution of a diblock copolymer in water. J. Chem. Phys. 2002, 116, 10947–10958. [Google Scholar] [CrossRef]
- Chiper, M.; Hoeppener, S.; Schubert, U.S.; Fustin, C.-A.; Gohy, J.-F. Self-Assembly Behavior of Bis(terpyridine) and Metallo-bis(terpyridine) Pluronics in Dilute Aqueous Solutions. Macromol. Chem. Phys. 2010, 211, 2323–2330. [Google Scholar] [CrossRef]
- Luan, B.; Muir, B.W.; Zhu, J.; Hao, X. A RAFT copolymerization of NIPAM and HPMA and evaluation of thermo-responsive properties of poly(NIPAM-co-HPMA). RSC Adv. 2016, 6, 89925–89933. [Google Scholar] [CrossRef]
- Yoshida, R.; Sakai, K.; Okano, T.; Sakurai, Y. Modulating the phase transition temperature and thermosensitivity in N-isopropylacrylamide copolymer gels. J. Biomater. Sci. Polym. Ed. 2012, 6, 585–598. [Google Scholar] [CrossRef]
- Neradovic, D.; Hinrichs, W.L.J.; Kettenes-van den Bosch, J.J.; Hennink, W.E. Poly(N-isopropylacrylamide) with hydrolyzable lactic acid ester side groups: A new type of thermosensitive polymer. Macromol. Rapid Commun. 1999, 20, 577–581. [Google Scholar] [CrossRef]
- Feil, H.; Bae, Y.H.; Feijen, J.; Kim, S.W. Effect of comonomer hydrophilicity and ionization on the lower critical solution temperature of N-isopropylacrylamide copolymers. Macromolecules 1993, 26, 2496–2500. [Google Scholar] [CrossRef]
- Deng, Y.; Pelton, R. Synthesis and Solution Properties of Poly(N-isopropylacrylamide-co-diallyldimethylammonium chloride). Macromolecules 1995, 28, 4617–4621. [Google Scholar] [CrossRef]
- Tanaka, F.; Koga, T.; Winnik, F.M. Competitive Hydrogen Bonds and Cononsolvency of Poly(N-isopropylacrylamide)s in Mixed Solvents of Water/Methanol. In Gels: Structures, Properties, and Functions; Springer: Berlin, Germany, 2009; Volume 136, pp. 1–7. [Google Scholar]
- Rojas, G.; Berda, E.B.; Wagener, K.B. Precision polyolefin structure: Modeling polyethylene containing alkyl branches. Polymer 2008, 49, 2985–2995. [Google Scholar] [CrossRef]
- Rojas, G.; Wagener, K.B. Precisely and Irregularly Sequenced Ethylene/1-Hexene Copolymers: A Synthesis and Thermal Study. Macromolecules 2009, 42, 1934–1947. [Google Scholar] [CrossRef]
- Hashmi, S.; Vatankhah-Varnoosfaderani, M.; GhavamiNejad, A.; Obiweluozor, F.O.; Du, B.; Stadler, F.J. Self-associations and temperature dependence of aqueous solutions of zwitterionically modified N-isopropylacrylamide copolymers. Rheologica Acta 2015, 54, 501–516. [Google Scholar] [CrossRef]
- Du, L.; GhavamiNejad, A.; Yan, Z.-C.; Biswas, C.S.; Stadler, F.J. Effect of a functional polymer on the rheology and microstructure of sodium alginate. Carbohydr. Polym. 2018, 199, 58–67. [Google Scholar] [CrossRef]
- Stadler, F.J.; Hashmi, S.; GhavamiNejad, A.; Vatankhah Varnoosfaderani, M. Rheology of dopamine containing polymers. Annu. Trans. Nord. Rheol. Soc. 2017, 25, 115–120. [Google Scholar]














| Samples | Monomer Feed Ratio | DMA | Mn * | PDI (Mw/Mn) * | Tg |
|---|---|---|---|---|---|
| mol % | g/mol | - | °C | ||
| M7000 | - | - | 7000 | 1.12 | 131.4 |
| C5M4000 | 0.06 | 5.5 | 4300 | 1.16 | 129.0 |
| C5M24000 | 0.06 | 5.3 | 23,900 | 1.45 | 137.6 |
| C1M18000 | 0.0075 | 0.6 | 17,900 | 1.49 | 134.8 |
| C5M18000 | 0.06 | 5.9 | 17,500 | 1.44 | 132.1 |
| M35000 | - | - | 35,400 | 1.25 | 137.7 |
| Output | Calorimetry | UV-Spectroscopy | |||||||
|---|---|---|---|---|---|---|---|---|---|
| Input | TonsetDSC | TpeakDSC | ToffsetDSC | LSCTrangeDSC | TonsetUV | TcloudUV | ToffsetUV | LSCTrangeUV | |
| Constant | B0 | 24.374 | 27.586 | 36.907 | 13.608 | 13.607 | 20.776 | 24.508 | 13.783 |
| Std. Error | 1.712 | 0.943 | 1.263 | 2.318 | 1.975 | 1.791 | 2.008 | 0.924 | |
| Beta | - | - | - | - | - | - | - | - | |
| t | 14.241 | 29.245 | 29.226 | 5.871 | 6.89 | 11.601 | 12.208 | 14.916 | |
| Sig | 0 | 0 | 0 | 0 | 0 | 0 | 0 | 0 | |
| DMA | B1 | −2.618 | −1.617 | −1.157 | 1.417 | −0.696 | −0.806 | n.s. | n.s. |
| Std. Error | 0.182 | 0.139 | 0.169 | 0.246 | 0.305 | 0.276 | n.s. | n.s. | |
| Beta | −0.813 | −0.821 | −0.807 | 0.547 | −0.277 | −0.384 | n.s. | n.s. | |
| t | −14.401 | −11.64 | −6.86 | 5.756 | −2.285 | −2.917 | n.s. | n.s. | |
| Sig | 0 | 0 | 0 | 0 | 0.037 | 0.011 | n.s. | n.s. | |
| DPn | B2 | 0.034 | 0.02 | n.s. | −0.039 | 0.058 | 0.042 | 0.03 | −0.033 |
| Std. Error | 0.006 | 0.004 | n.s. | 0.008 | 0.009 | 0.008 | 0.011 | 0.005 | |
| Beta | 0.333 | 0.33 | n.s. | −0.483 | 0.774 | 0.682 | 0.551 | −0.845 | |
| t | 5.889 | 4.685 | n.s. | −5.077 | 6.391 | 5.176 | 2.643 | −6.321 | |
| Sig | 0 | 0 | n.s. | 0 | 0 | 0 | 0.018 | 0 | |
| Polymer concen-tration in water | B3 | −0.367 | - | 0.319 | 0.678 | n.s. | n.s. | n.s. | n.s. |
| Std. Error | 0.117 | - | 0.112 | 0.159 | n.s. | n.s. | n.s. | n.s. | |
| Beta | −0.172 | - | 0.336 | 0.395 | n.s. | n.s. | n.s. | n.s. | |
| t | −3.135 | - | 2.856 | 4.275 | n.s. | n.s. | n.s. | n.s. | |
| Sig | 0.006 | - | 0.01 | 0.001 | n.s. | n.s. | n.s. | n.s. | |
© 2019 by the authors. Licensee MDPI, Basel, Switzerland. This article is an open access article distributed under the terms and conditions of the Creative Commons Attribution (CC BY) license (http://creativecommons.org/licenses/by/4.0/).
Share and Cite
García-Peñas, A.; Biswas, C.S.; Liang, W.; Wang, Y.; Yang, P.; Stadler, F.J. Effect of Hydrophobic Interactions on Lower Critical Solution Temperature for Poly(N-isopropylacrylamide-co-dopamine Methacrylamide) Copolymers. Polymers 2019, 11, 991. https://doi.org/10.3390/polym11060991
García-Peñas A, Biswas CS, Liang W, Wang Y, Yang P, Stadler FJ. Effect of Hydrophobic Interactions on Lower Critical Solution Temperature for Poly(N-isopropylacrylamide-co-dopamine Methacrylamide) Copolymers. Polymers. 2019; 11(6):991. https://doi.org/10.3390/polym11060991
Chicago/Turabian StyleGarcía-Peñas, Alberto, Chandra Sekhar Biswas, Weijun Liang, Yu Wang, Pianpian Yang, and Florian J. Stadler. 2019. "Effect of Hydrophobic Interactions on Lower Critical Solution Temperature for Poly(N-isopropylacrylamide-co-dopamine Methacrylamide) Copolymers" Polymers 11, no. 6: 991. https://doi.org/10.3390/polym11060991
APA StyleGarcía-Peñas, A., Biswas, C. S., Liang, W., Wang, Y., Yang, P., & Stadler, F. J. (2019). Effect of Hydrophobic Interactions on Lower Critical Solution Temperature for Poly(N-isopropylacrylamide-co-dopamine Methacrylamide) Copolymers. Polymers, 11(6), 991. https://doi.org/10.3390/polym11060991

