Nonisothermal Crystallization Kinetics of Acetylated Bamboo Fiber-Reinforced Polypropylene Composites
Abstract
:1. Introduction
2. Experimental Section
2.1. Materials
2.2. Bamboo Acetylation
2.3. Differential Scanning Calorimetry (DSC)
2.4. Nonisothermal Crystallization Kinetics
2.5. Statistical Analysis
3. Results and Discussion
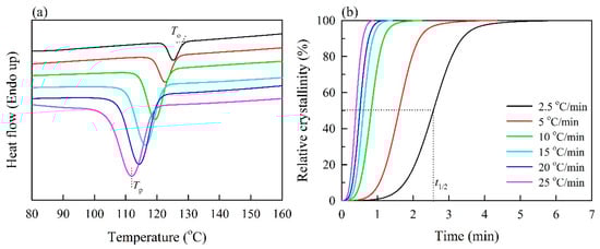
3.1. Nonisothermal Crystallization Behavior
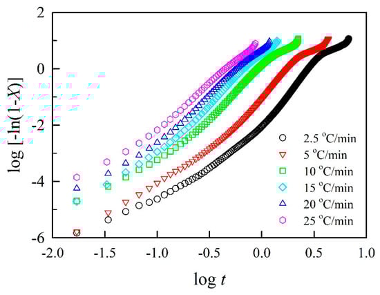
3.2. Avrami Model
3.3. Avrami–Ozawa Model
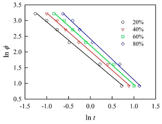
3.4. Friedman Model
4. Conclusions
Author Contributions
Acknowledgments
Conflicts of Interest
References
- Bledzki, A.K.; Reihmane, S.; Gassan, J. Thermoplastics reinforced with wood fillers: A literature review. Polym. Plast. Technol. Eng. 1998, 37, 451–468. [Google Scholar] [CrossRef]
- Scurlock, J.M.O.; Dayton, D.C.; Hames, B. Bamboo: An overlooked biomass resource? Biomass Bioenergy 2000, 19, 229–244. [Google Scholar] [CrossRef]
- Chen, X.; Guo, Q.; Mi, Y. Bamboo fibre-reinforced polypropylene composite: A study of the mechanical properties. J. Appl. Polym. Sci. 1998, 69, 1891–1899. [Google Scholar] [CrossRef]
- Chattopadhyay, S.K.; Khandal, R.K.; Uppaluri, R.; Ghoshal, A.K. Bamboo fiber reinforced polypropylene composites and their mechanical, thermal, and morphological properties. J. Appl. Polym. Sci. 2011, 119, 1619–1626. [Google Scholar] [CrossRef]
- Kitagawa, K.; Ishiaku, U.S.; Mizoguchi, M.; Hamada, H. Bamboo-based ecocomposites and their potential applications. In Natural Fbres, Biopolymers, and Biocomposites; Mohanty, A.K., Misra, M., Drzalv, L.T., Eds.; CRC Press: Boca Raton, FL, USA, 2005. [Google Scholar]
- Lee, S.-H.; Ohkita, T.; Kitagawa, K. Eco-composite from poly (lactic acid) and bamboo fiber. Holzforschung 2004, 58, 529–536. [Google Scholar] [CrossRef]
- Okubo, K.; Fujii, T.; Yamamoto, Y. Development of bamboo-based polymer composites and their mechanical properties. Compos. Part A Appl. Sci. Manuf. 2004, 35, 377–383. [Google Scholar] [CrossRef]
- Takagi, H.; Ichihara, Y. Effect of fibre length on mechanical properties of green composites using starch-based resin and short bamboo fibres. JSME Int. J. 2004, 47, 551–555. [Google Scholar] [CrossRef]
- Yang, T.-C.; Wu, T.-L.; Hung, K.-C.; Chen, Y.-L.; Wu, J.-H. Mechanical properties and extended creep behavior of bamboo fiber reinforced recycled poly (lactic acid) composites using the time–temperature superposition principle. Constr. Build. Mater. 2015, 93, 558–563. [Google Scholar] [CrossRef]
- Hsu, C.-Y.; Yang, T.-C.; Wu, T.-L.; Hung, K.-C.; Wu, J.-H. Effects of a layered structure on the physicomechanical properties and extended creep behavior of bamboo-polypropylene composites (BPCs) determined by the stepped isostress method. Holzforschung 2018, 72, 589–597. [Google Scholar] [CrossRef]
- Tronc, E.; Hernández-Escobar, C.A.; Ibarra-Gómez, R.; Estrada-Monje, A.; Navarrete-Bolaños, J.; Zaragoza-Contreras, E.A. Blue agave fiber esterification for the reinforcement of thermoplastic composites. Carbohydr. Polym. 2007, 67, 245–255. [Google Scholar] [CrossRef]
- Hung, K.-C.; Wu, J.-H. Mechanical and interfacial properties of plastic composite panels made from esterified bamboo particles. J. Wood Sci. 2010, 56, 216–221. [Google Scholar] [CrossRef]
- Rowell, R.M. Chemical modification of wood. Prod. Abstr. 1983, 6, 363–382. [Google Scholar] [CrossRef]
- Gardea-Hernández, G.; Ibarra-Gómez, R.; Flores-Gallardo, S.G.; Hernández-Escobar, C.A.; Pérez-Romo, P.; Zaragoza-Contreras, E.A. Fast wood fiber esterification. I. Reaction with oxalic acid and cetyl alcohol. Carbohydr. Polym. 2008, 71, 1–8. [Google Scholar] [CrossRef]
- Lisperguer, J.; Droguett, C.; Ruf, B.; Nunez, M. The effect of wood acetylation on thermal behavior of wood-polystyrene composites. J. Chil. Chem. Soc. 2007, 52, 1073–1075. [Google Scholar] [CrossRef]
- Hung, K.-C.; Chen, Y.-L.; Wu, J.-H. Natural weathering properties of acetylated bamboo plastic composites. Polym. Degrad. Stab. 2012, 97, 1680–1685. [Google Scholar] [CrossRef]
- Hung, K.-C.; Wu, T.-L.; Chen, Y.-L.; Wu, J.-H. Assessing the effect of wood acetylation on mechanical properties and extended creep behavior of wood/recycled-polypropylene composites. Constr. Build. Mater. 2016, 108, 139–145. [Google Scholar] [CrossRef]
- Kamal, M.R.; Chu, E. Isothermal and nonisothermal crystallization of polyethylene. Polym. Eng. Sci. 1983, 23, 27–31. [Google Scholar] [CrossRef]
- Ou, R.; Guo, C.; Xie, Y.; Wang, Q. Non-isothermal crystallization kinetics of kevlar fiber-reinforced wood flour/HDPE composites. BioResources 2011, 6, 4547–4565. [Google Scholar]
- Arbelaiz, A.; Fernández, B.; Ramos, J.A.; Mondragon, I. Thermal and crystallization studies of short flax fibre reinforced polypropylene matrix composites: Effect of treatments. Thermochim. Acta 2006, 440, 111–121. [Google Scholar] [CrossRef]
- Buzarovska, A.; Bogoeva-Gaceva, G.; Grozdanov, A.; Avella, M. Crystallization behavior of polyhydroxybutyrate in model composites with kenaf fibers. J. Appl. Polym. Sci. 2006, 102, 804–809. [Google Scholar] [CrossRef]
- Niu, P.; Wang, X.; Liu, B.; Long, S.; Yang, J. Melting and nonisothermal crystallization behavior of polypropylene/hemp fiber composites. J. Compos. Mater. 2012, 46, 203–210. [Google Scholar] [CrossRef]
- Hsu, C.-Y.; Yang, T.-C.; Wu, T.-L.; Hung, K.-C.; Wu, J.-H. The influence of bamboo fiber content on the non-isothermal crystallization kinetics of bamboo fiber-reinforced polypropylene composites (BPCs). Holzforschung 2018, 72, 329–336. [Google Scholar] [CrossRef]
- Huang, C.-W.; Yang, T.-C.; Hung, K.-C.; Xu, J.-W.; Wu, J.-H. The effect of maleated polypropylene on the non-isothermal crystallization kinetics of wood fiber-reinforced polypropylene composites. Polymers 2018, 10, 382. [Google Scholar] [CrossRef] [PubMed]
- Marinelli, A.L.; Bretas, R.E.S. Blends of polypropylene resins with a liquid crystalline polymer. I. Isothermal crystallization. J. Appl. Polym. Sci. 2003, 87, 916–930. [Google Scholar] [CrossRef]
- Avrami, M. Kinetics of phase change. I: General theory. J. Chem. Phys. 1939, 7, 1103–1112. [Google Scholar] [CrossRef]
- Avrami, M. Kinetics of phase change. II: Transformation-time relations for random distribution of nuclei. J. Chem. Phys. 1940, 8, 212–224. [Google Scholar] [CrossRef]
- Avrami, M. Kinetics of phase change. III: Granulation, phase change, and microstructure. J. Chem. Phys. 1941, 9, 177–184. [Google Scholar] [CrossRef]
- Ozawa, T. Kinetics of non-isothermal crystallization. Polymer 1971, 12, 150–158. [Google Scholar] [CrossRef]
- Cebe, P.; Hong, S.D. Crystallization behaviour of poly(ether-ether-ketone). Polymer 1986, 27, 1183–1192. [Google Scholar] [CrossRef]
- Eder, M.; Wlochowicz, A. Kinetics of non-isothermal crystallization of polyethylene and polypropylene. Polymer 1983, 24, 1593–1595. [Google Scholar] [CrossRef]
- Hao, W.; Yang, W.; Cai, H.; Huang, Y. Non-isothermal crystallization kinetics of polypropylene/silicon nitride nanocomposites. Polym. Test. 2010, 29, 527–533. [Google Scholar] [CrossRef]
- Liu, T.; Mo, Z.; Wang, S.; Zhang, H. Nonisothermal melt and cold crystallization kinetics of poly(aryl ether ether ketone ketone). Polym. Eng. Sci. 1997, 37, 568–575. [Google Scholar] [CrossRef]
- Liu, T.; Mo, Z.; Zhang, H. Nonisothermal crystallization behavior of a novel poly(aryl ether ketone): PEDEKmK. J. Appl. Polym. Sci. 1998, 67, 815–821. [Google Scholar] [CrossRef]
- Friedman, H.L. Kinetics of thermal degradation of char-forming plastics from thermogravimetry. Application to a phenolic plastic. J. Polym. Sci. Polym. Symp. 1964, 6, 183–195. [Google Scholar] [CrossRef]
- Grozdanov, A.; Buzarovska, A.; Bogoeva-Gaceva, G.; Avella, M.; Errico, M.E.; Gentile, G. Nonisothermal crystallization kinetics of kenaf fiber/polypropylene composites. Polym. Eng. Sci. 2007, 47, 745–749. [Google Scholar] [CrossRef]
- Regis, M.; Zanetti, M.; Pressacco, M.; Bracco, P. Opposite role of different carbon reinforcements on the non-isothermal crystallization behavior of poly(etheretherketone). Mater. Chem. Phys. 2016, 179, 223–231. [Google Scholar] [CrossRef]
- Phuong, N.T.; Girbert, V. Non-isothermal crystallization kinetics of short bamboo fiber-reinforced recycled polypropylene composites. J. Reinf. Plast. Compos. 2010, 28, 1–16. [Google Scholar] [CrossRef]
- Yuan, Q.; Awate, S.; Misra, R.D.K. Nonisothermal crystallization behavior of polypropylene-clay nanocomposites. Eur. Polym. J. 2006, 42, 1994–2003. [Google Scholar] [CrossRef]




| BPCs | BF:AA (g:mL) | Reaction Time (min) | WPG of Acetylated BF (%) | Acetylated BF/PP (wt%) |
|---|---|---|---|---|
| BPC0 | - | - | 0 | 50/50 |
| BPC2 | 1:0.2 | 120 | 2.3 ± 0.9 | 50/50 |
| BPC6 | 1:0.3 | 120 | 5.9 ± 1.1 | 50/50 |
| BPC9 | 1:1 | 120 | 8.7 ± 1.6 | 50/50 |
| BPC13 | 1:2 | 120 | 12.7 ± 0.8 | 50/50 |
| BPC19 | 1:4 | 120 | 19.0 ± 1.5 | 50/50 |
| Cooling Rate (°C/min) | BPCs | To (°C ) | Tp (°C ) | Xc (%) | t1/2 (min) |
|---|---|---|---|---|---|
| 2.5 | BPC0 | 127.2 ± 0.0 a | 124.3 ± 0.1 a | 67 ± 8 a | 2.31 ± 0.23 b |
| BPC2 | 127.2 ± 0.2 a | 123.1 ± 0.7 a | 56 ± 15 a | 2.81 ± 0.11 ab | |
| BPC6 | 126.0 ± 0.2 a | 122.5 ± 0.1 a | 67 ± 5 a | 2.91 ± 0.11 ab | |
| BPC9 | 125.8 ± 0.0 ab | 122.4 ± 0.1 ab | 64 ± 9 a | 2.71 ± 0.16 ab | |
| BPC13 | 125.6 ± 0.3 ab | 122.5 ± 0.3 ab | 64 ± 4 a | 2.63 ± 0.16 ab | |
| BPC19 | 124.3 ± 0.1 b | 120.8 ± 0.2 b | 60 ± 11 a | 3.17 ± 0.34 a | |
| 5 | BPC0 | 126.5 ± 1.7 a | 122.4 ± 1.4 a | 63 ± 9 a | 1.57 ± 0.10 ab |
| BPC2 | 125.9 ± 1.2 a | 121.7 ± 1.2 a | 53 ± 8 a | 1.61 ± 0.02 a | |
| BPC6 | 124.6 ± 1.1 a | 120.3 ± 1.0 a | 67 ± 3 a | 1.57 ± 0.04 a | |
| BPC9 | 123.8 ± 0.6 ab | 119.9 ± 0.4 ab | 59 ± 9 a | 1.41 ± 0.02 b | |
| BPC13 | 123.7 ± 0.8 ab | 120.0 ± 0.7 ab | 57 ± 2 a | 1.39 ± 0.01 b | |
| BPC19 | 121.5 ± 0.2 b | 117.6 ± 0.2 b | 60 ± 5 a | 1.57 ± 0.05 ab | |
| 10 | BPC0 | 122.1 ± 0.5 a | 117.6 ± 0.7 a | 64 ± 10 a | 0.82 ± 0.01 a |
| BPC2 | 122.4 ± 0.4 a | 117.4 ± 0.4 a | 66 ± 9 a | 0.91 ± 0.01 a | |
| BPC6 | 122.1 ± 0.8 a | 116.9 ± 0.7 a | 62 ± 8 a | 0.90 ± 0.02 a | |
| BPC9 | 120.7 ± 0.9 a | 116.0 ± 0.7 a | 63 ± 6 a | 0.81 ± 0.06 a | |
| BPC13 | 120.9 ± 0.3 a | 116.5 ± 0.4 a | 64 ± 9 a | 0.84 ± 0.09 a | |
| BPC19 | 118.1 ± 0.2 b | 113.7 ± 0.3 b | 60 ± 5 a | 0.96 ± 0.04 a | |
| 15 | BPC0 | 121.9 ± 1.7 a | 116.2 ± 1.3 a | 70 ± 7 a | 0.65 ± 0.03 a |
| BPC2 | 120.3 ± 0.1 ab | 115.1 ± 0.2 ab | 45 ± 18 a | 0.58 ± 0.05 a | |
| BPC6 | 119.5 ± 1.0 ab | 113.3 ± 0.8 bc | 57 ± 4 a | 0.66 ± 0.02 a | |
| BPC9 | 118.4 ± 0.7 bc | 113.1 ± 0.8 bc | 59 ± 14 a | 0.63 ± 0.06 a | |
| BPC13 | 118.3 ± 0.2 bc | 113.3 ± 0.1 bc | 57 ± 1 a | 0.58 ± 0.05 a | |
| BPC19 | 115.8 ± 0.3 c | 111.1 ± 0.3 c | 49 ± 5 a | 0.60 ± 0.04 a | |
| 20 | BPC0 | 118.7 ± 0.5 a | 112.8 ± 0.9 a | 59 ± 3 a | 0.48 ± 0.04 a |
| BPC2 | 118.3 ± 0.4 ab | 111.9 ± 0.9 a | 60 ± 3 a | 0.53 ± 0.04 a | |
| BPC6 | 118.1 ± 0.3 ab | 111.4 ± 0.2 ab | 61 ± 7 a | 0.53 ± 0.02 a | |
| BPC9 | 116.7 ± 0.6 ab | 111.2 ± 0.6 ab | 56 ± 5 a | 0.47 ± 0.04 a | |
| BPC13 | 116.6 ± 0.4 b | 111.0 ± 0.3 ab | 59 ± 12 a | 0.46 ± 0.01 a | |
| BPC19 | 114.0 ± 0.3 c | 108.9 ± 0.8 b | 50 ± 14 a | 0.48 ± 0.03 a | |
| 25 | BPC0 | 117.3 ± 0.3 a | 111.0 ± 0.5 a | 69 ± 10 a | 0.41 ± 0.01 a |
| BPC2 | 117.5 ± 0.6 a | 110.8 ± 0.5 a | 56 ± 9 a | 0.42 ± 0.00 a | |
| BPC6 | 116.6 ± 1.8 a | 109.9 ± 1.6 ab | 62 ± 6 a | 0.44 ± 0.03 a | |
| BPC9 | 115.4 ± 0.2 a | 109.6 ± 0.2 a | 51 ± 18 a | 0.38 ± 0.05 a | |
| BPC13 | 115.5 ± 0.2 a | 109.6 ± 0.3 a | 64 ± 1 a | 0.39 ± 0.01 a | |
| BPC19 | 112.5 ± 0.3 b | 107.3 ± 0.3 b | 56 ± 1 a | 0.38 ± 0.01 a |
| Cooling Rate (°C/min) | BPCs | n | K | KJ | R2 |
|---|---|---|---|---|---|
| 2.5 | BPC0 | 2.82 ± 0.06 a | 0.03 ± 0.01 a | 0.24 ± 0.04 a | 0.974 |
| BPC2 | 2.95 ± 0.07 a | 0.01 ± 0.00 a | 0.17 ± 0.02 a | 0.963 | |
| BPC6 | 2.54 ± 0.16 a | 0.01 ± 0.01 a | 0.18 ± 0.01 a | 0.951 | |
| BPC9 | 2.64 ± 0.07 a | 0.02 ± 0.00 a | 0.19 ± 0.02 a | 0.956 | |
| BPC13 | 2.80 ± 0.11 a | 0.02 ± 0.00 a | 0.18 ± 0.02 a | 0.961 | |
| BPC19 | 2.75 ± 0.08 a | 0.01 ± 0.00 a | 0.16 ± 0.03 a | 0.963 | |
| 5 | BPC0 | 3.00 ± 0.13 a | 0.07 ± 0.01 a | 0.59 ± 0.01 a | 0.974 |
| BPC2 | 2.57 ± 0.02 a | 0.15 ± 0.13 a | 0.65 ± 0.12 a | 0.970 | |
| BPC6 | 2.81 ± 0.02 a | 0.09 ± 0.01 a | 0.62 ± 0.01 a | 0.976 | |
| BPC9 | 2.85 ± 0.09 a | 0.11 ± 0.01 a | 0.64 ± 0.01 a | 0.974 | |
| BPC13 | 2.90 ± 0.17 a | 0.11 ± 0.00 a | 0.64 ± 0.00 a | 0.969 | |
| BPC19 | 2.65 ± 0.08 a | 0.08 ± 0.01 a | 0.60 ± 0.02 a | 0.970 | |
| 10 | BPC0 | 2.95 ± 0.14 a | 0.70 ± 0.22 a | 0.96 ± 0.03 a | 0.973 |
| BPC2 | 2.89 ± 0.03 a | 0.45 ± 0.04 a | 0.92 ± 0.01 a | 0.977 | |
| BPC6 | 2.79 ± 0.03 a | 0.46 ± 0.04 a | 0.93 ± 0.01 a | 0.976 | |
| BPC9 | 2.84 ± 0.21 a | 0.61 ± 0.09 a | 0.95 ± 0.01 a | 0.975 | |
| BPC13 | 3.09 ± 0.30 a | 0.50 ± 0.18 a | 0.93 ± 0.04 a | 0.967 | |
| BPC19 | 3.03 ± 0.21 a | 0.55 ± 0.17 a | 0.94 ± 0.03 a | 0.967 | |
| 15 | BPC0 | 2.86 ± 0.16 a | 1.32 ± 0.27 a | 1.02 ± 0.01 a | 0.981 |
| BPC2 | 2.75 ± 0.05 a | 1.29 ± 0.21 a | 1.02 ± 0.01 a | 0.974 | |
| BPC6 | 2.75 ± 0.05 a | 1.22 ± 0.10 a | 1.01 ± 0.01 a | 0.975 | |
| BPC9 | 2.91 ± 0.27 a | 1.30 ± 0.34 a | 1.02 ± 0.02 a | 0.973 | |
| BPC13 | 2.88 ± 0.04 a | 1.75 ± 0.45 a | 1.04 ± 0.02 a | 0.976 | |
| BPC19 | 2.83 ± 0.18 a | 1.32 ± 0.25 a | 1.02 ± 0.01 a | 0.975 | |
| 20 | BPC0 | 2.72 ± 0.17 a | 3.15 ± 0.57 a | 1.06 ± 0.01 a | 0.980 |
| BPC2 | 2.80 ± 0.11 a | 2.38 ± 0.22 a | 1.04 ± 0.00 a | 0.978 | |
| BPC6 | 2.90 ± 0.11 a | 2.44 ± 0.34 a | 1.05 ± 0.01 a | 0.977 | |
| BPC9 | 2.85 ± 0.01 a | 3.31 ± 0.94 a | 1.06 ± 0.02 a | 0.979 | |
| BPC13 | 2.70 ± 0.04 a | 3.00 ± 0.07 a | 1.06 ± 0.00 a | 0.976 | |
| BPC19 | 2.83 ± 0.11 a | 2.28 ± 0.34 a | 1.04 ± 0.01 a | 0.969 | |
| 25 | BPC0 | 2.83 ± 0.05 a | 5.29 ± 0.31 a | 1.07 ± 0.00 a | 0.985 |
| BPC2 | 2.85 ± 0.13 a | 4.61 ± 0.62 a | 1.06 ± 0.01 a | 0.981 | |
| BPC6 | 2.98 ± 0.13 a | 4.78 ± 0.62 a | 1.06 ± 0.01 a | 0.982 | |
| BPC9 | 2.73 ± 0.12 a | 6.60 ± 0.56 a | 1.08 ± 0.01 a | 0.986 | |
| BPC13 | 2.90 ± 0.08 a | 6.13 ± 0.38 a | 1.08 ± 0.00 a | 0.981 | |
| BPC19 | 2.80 ± 0.11 a | 5.65 ± 0.51 a | 1.07 ± 0.00 a | 0.979 |
| X (%) | BPCs | F(T) | α | R2 |
|---|---|---|---|---|
| 20 | BPC0 | 5.7 ± 0.3 b | 1.21 ± 0.12 a | 0.977 |
| BPC2 | 6.3 ± 0.3 ab | 1.15 ± 0.02 a | 0.992 | |
| BPC6 | 6.2 ± 0.1 ab | 1.18 ± 0.03 a | 0.994 | |
| BPC9 | 5.8 ± 0.2 ab | 1.16 ± 0.09 a | 0.993 | |
| BPC13 | 5.8 ± 0.3 ab | 1.16 ± 0.05 a | 0.993 | |
| BPC19 | 6.6 ± 0.5 a | 1.06 ± 0.05 a | 0.991 | |
| 40 | BPC0 | 7.3 ± 0.3 a | 1.27 ± 0.07 a | 0.988 |
| BPC2 | 8.0 ± 0.3 a | 1.18 ± 0.01 ab | 0.993 | |
| BPC6 | 7.9 ± 0.2 a | 1.21 ± 0.04 ab | 0.995 | |
| BPC9 | 7.3 ± 0.3 a | 1.19 ± 0.08 ab | 0.994 | |
| BPC13 | 7.2 ± 0.3 a | 1.19 ± 0.05 ab | 0.994 | |
| BPC19 | 8.0 ± 0.5 a | 1.08 ± 0.05 b | 0.993 | |
| 60 | BPC0 | 8.8 ± 0.2 a | 1.31 ± 0.08 a | 0.989 |
| BPC2 | 9.5 ± 0.3 a | 1.21 ± 0.01 ab | 0.993 | |
| BPC6 | 9.6 ± 0.3 a | 1.23 ± 0.04 ab | 0.996 | |
| BPC9 | 8.7 ± 0.4 a | 1.21 ± 0.08 ab | 0.994 | |
| BPC13 | 8.6 ± 0.3 a | 1.23 ± 0.04 ab | 0.995 | |
| BPC19 | 9.3 ± 0.5 a | 1.11 ± 0.05 b | 0.995 | |
| 80 | BPC0 | 11.0 ± 0.2 a | 1.35 ± 0.07 a | 0.990 |
| BPC2 | 11.5 ± 0.3 a | 1.24 ± 0.01 ab | 0.992 | |
| BPC6 | 11.7 ± 0.5 a | 1.25 ± 0.04 ab | 0.996 | |
| BPC9 | 10.5 ± 0.6 a | 1.25 ± 0.07 ab | 0.995 | |
| BPC13 | 10.4 ± 0.3 a | 1.27 ± 0.05 ab | 0.994 | |
| BPC19 | 10.9 ± 0.6 a | 1.14 ± 0.05 b | 0.995 |
© 2019 by the authors. Licensee MDPI, Basel, Switzerland. This article is an open access article distributed under the terms and conditions of the Creative Commons Attribution (CC BY) license (http://creativecommons.org/licenses/by/4.0/).
Share and Cite
Jhu, Y.-S.; Yang, T.-C.; Hung, K.-C.; Xu, J.-W.; Wu, T.-L.; Wu, J.-H. Nonisothermal Crystallization Kinetics of Acetylated Bamboo Fiber-Reinforced Polypropylene Composites. Polymers 2019, 11, 1078. https://doi.org/10.3390/polym11061078
Jhu Y-S, Yang T-C, Hung K-C, Xu J-W, Wu T-L, Wu J-H. Nonisothermal Crystallization Kinetics of Acetylated Bamboo Fiber-Reinforced Polypropylene Composites. Polymers. 2019; 11(6):1078. https://doi.org/10.3390/polym11061078
Chicago/Turabian StyleJhu, Yu-Shan, Teng-Chun Yang, Ke-Chang Hung, Jin-Wei Xu, Tung-Lin Wu, and Jyh-Horng Wu. 2019. "Nonisothermal Crystallization Kinetics of Acetylated Bamboo Fiber-Reinforced Polypropylene Composites" Polymers 11, no. 6: 1078. https://doi.org/10.3390/polym11061078
APA StyleJhu, Y.-S., Yang, T.-C., Hung, K.-C., Xu, J.-W., Wu, T.-L., & Wu, J.-H. (2019). Nonisothermal Crystallization Kinetics of Acetylated Bamboo Fiber-Reinforced Polypropylene Composites. Polymers, 11(6), 1078. https://doi.org/10.3390/polym11061078

