Synthesis and Properties of Poly(imides) and Poly(imides)/Ionic Liquid Composites Bearing a Benzimidazole Moiety
Abstract
:1. Introduction
2. Materials and Methods
2.1. Materials
2.2. Instrumentation
2.3. Synthesis of Tetranitrile Precursors (4, 5 and 6)



2.4. Synthesis of Tetracarboxylic Acid Precursors (7, 8 and 9)



2.5. Synthesis of Tetracarboxylic Anhydride Monomers (10, 11 and 12)



2.6. Synthesis of 2-(4-Aminophenyl)-1H-benzimidazole-5-amine (p-DABI)
2.7. Synthesis of Poly(imides) (PI-F, PI-O and PI-S)

2.8. Dense Films Preparation
2.9. Water Uptake Measurements
2.10. Oxidative Stability
3. Results and Discussion
3.1. Monomers Synthesis and Characterization
3.2. Poly(imides) Synthesis
3.3. Polymers solubility and Inherent Viscosity
3.4. Poly(imide) and Poly(imide)/ionic Liquid Dense Film Preparation
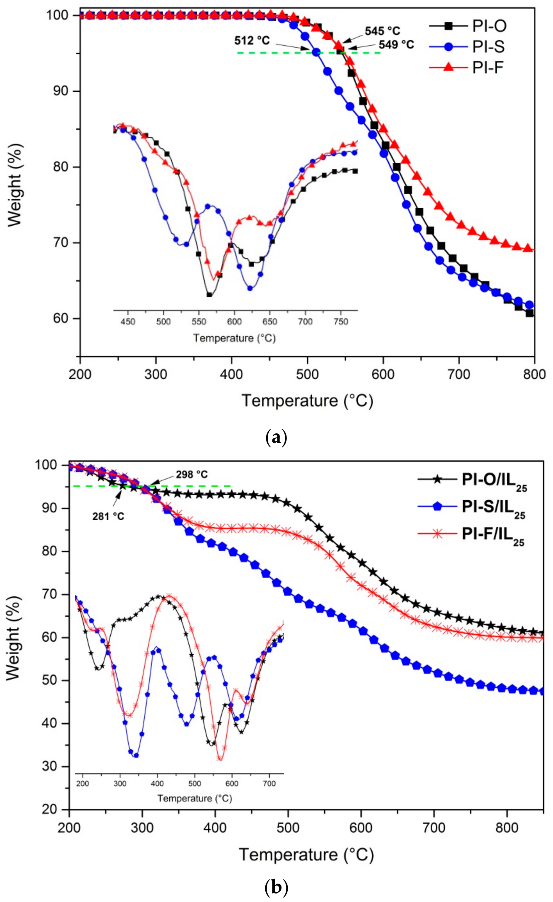
3.5. Thermal Properties of PI and PI/IL Films
3.6. SEM-EDX Analysis
3.7. Water Uptake and Contact Angle Measurements
3.8. Oxidative Stability
4. Conclusions
Author Contributions
Acknowledgments
Conflicts of Interest
References
- He, G.; Li, Z.; Zhao, J.; Wang, S.; Wu, H.; Guiver, M.D.; Jiang, Z. Nanostructured Ion-Exchange Membranes for Fuel Cells: Recent Advances and Perspectives. Adv. Mater. 2015, 27, 5280–5295. [Google Scholar] [CrossRef]
- Fujigaya, T.; Nakashima, N. Fuel Cell Electrocatalyst Using Polybenzimidazole-Modified Carbon Nanotubes As Support Materials. Adv. Mater. 2013, 25, 1666–1681. [Google Scholar] [CrossRef]
- Tang, Q.; Huang, K.; Qian, G.; Benicewicz, B.C. Phosphoric acid-imbibed three-dimensional polyacrylamide/poly(vinyl alcohol) hydrogel as a new class of high-temperature proton exchange membrane. J. Power Sources 2013, 229, 36–41. [Google Scholar] [CrossRef]
- Tang, Q.; Cai, H.; Yuan, S.; Wang, X.; Yuan, W. Enhanced proton conductivity from phosphoric acid-imbibed crosslinked 3D polyacrylamide frameworks for high-temperature proton exchange membranes. Int. J. Hydrogen Energy 2013, 38, 1016–1026. [Google Scholar] [CrossRef]
- Tang, Q.; Yuan, S.; Cai, H. High-temperature proton exchange membranes from microporous polyacrylamide caged phosphoric acid. J. Mater. Chem. A 2013, 1, 630–636. [Google Scholar] [CrossRef]
- Tang, Q.; Wu, J.; Tang, Z.; Li, Y.; Lin, J. High-temperature proton exchange membranes from ionic liquid absorbed/doped superabsorbents. J. Mater. Chem. 2012, 22, 15836. [Google Scholar] [CrossRef]
- Bassil, J.; Roualdès, S.; Flaud, V.; Durand, J. Plasma-polymerized phosphonic acid-based membranes for fuel cell. J. Memb. Sci. 2014, 461, 1–9. [Google Scholar] [CrossRef]
- Li, Q.; Jensen, J.O.; Savinell, R.F.; Bjerrum, N.J. High temperature proton exchange membranes based on polybenzimidazoles for fuel cells. Prog. Polym. Sci. 2009, 34, 449–477. [Google Scholar] [CrossRef]
- Prakash, S.; Rajesh, A.M.; Shahi, V.K. Chlorine-tolerant poly electrolyte membrane for electrochemical dye degradation. Chem. Eng. J. 2011, 168, 108–114. [Google Scholar] [CrossRef]
- Liao, J.H.; Li, Q.F.; Rudbeck, H.C.; Jensen, J.O.; Chromik, A.; Bjerrum, N.J.; Kerres, J.; Xing, W. Oxidative Degradation of Polybenzimidazole Membranes as Electrolytes for High Temperature Proton Exchange Membrane Fuel Cells. Fuel Cells 2011, 11, 745–755. [Google Scholar] [CrossRef]
- Kim, T.-H.; Kim, S.-K.; Lim, T.-W.; Lee, J.-C. Synthesis and properties of poly(aryl ether benzimidazole) copolymers for high-temperature fuel cell membranes. J. Memb. Sci. 2008, 323, 362–370. [Google Scholar] [CrossRef]
- Li, Q.F.; Rudbeck, H.C.; Chromik, A.; Jensen, J.O.; Pan, C.; Steenberg, T.; Calverley, M.; Bjerrum, N.J.; Kerres, J. Properties, degradation and high temperature fuel cell test of different types of PBI and PBI blend membranes. J. Memb. Sci. 2010, 347, 260–270. [Google Scholar] [CrossRef]
- Kumbharkar, S.C.; Islam, M.N.; Potrekar, R.A.; Kharul, U.K. Variation in acid moiety of polybenzimidazoles: Investigation of physico-chemical properties towards their applicability as proton exchange and gas separation membrane materials. Polymer (Guildf) 2009, 50, 1403–1413. [Google Scholar] [CrossRef]
- Yang, J.; Li, Q.; Cleemann, L.N.; Xu, C.; Jensen, J.O.; Pan, C.; Bjerrum, N.J.; He, R. Synthesis and properties of poly(aryl sulfone benzimidazole) and its copolymers for high temperature membrane electrolytes for fuel cells. J. Mater. Chem. 2012, 22, 11185. [Google Scholar] [CrossRef]
- Ryu, T.; Sutradhar, S.C.; Ahmed, F.; Choi, K.; Yang, H.; Yoon, S.; Lee, S.; Kim, W. Synthesis and characterization of sulfonated mutiphenyl conjugated polyimide for PEMFC. J. Ind. Eng. Chem. 2017, 49, 99–104. [Google Scholar] [CrossRef]
- Pan, H.; Chen, S.; Jin, M.; Chang, Z.; Pu, H. Preparation and properties of sulfonated polybenzimidazole-polyimide block copolymers as electrolyte membranes. Ionics (Kiel) 2018, 24, 1629–1638. [Google Scholar] [CrossRef]
- Ma, L.; Xu, G.; Li, S.; Ma, J.; Li, J.; Cai, W. Design and Optimization of a Hyper-Branched Polyimide Proton Exchange Membrane with Ultra-High Methanol-Permeation Resistivity for Direct Methanol Fuel Cells Applications. Polymers (Basel) 2018, 10, 1175. [Google Scholar] [CrossRef]
- Yin, Y.; Suto, Y.; Sakabe, T.; Chen, S.; Hayashi, S.; Mishima, T.; Yamada, O.; Tanaka, K.; Kita, H.; Okamoto, K.I. Water stability of sulfonated polyimide membranes. Macromolecules 2006. [Google Scholar] [CrossRef]
- Pu, H.; Wang, L.; Pan, H.; Wan, D. Synthesis and characterization of fluorine-containing polybenzimidazole for proton conducting membranes in fuel cells. J. Polym. Sci. Part A Polym. Chem. 2010, 48, 2115–2122. [Google Scholar] [CrossRef]
- Yin, Y.; Du, Q.; Qin, Y.; Zhou, Y.; Okamoto, K. Sulfonated polyimides with flexible aliphatic side chains for polymer electrolyte fuel cells. J. Memb. Sci. 2011, 367, 211–219. [Google Scholar] [CrossRef]
- Bi, H.; Wang, J.; Chen, S.; Hu, Z.; Gao, Z.; Wang, L.; Okamoto, K. Preparation and properties of cross-linked sulfonated poly(arylene ether sulfone)/sulfonated polyimide blend membranes for fuel cell application. J. Memb. Sci. 2010, 350, 109–116. [Google Scholar] [CrossRef]
- Li, N.; Cui, Z.; Zhang, S.; Xing, W. Sulfonated polyimides bearing benzimidazole groups for proton exchange membranes. Polymer 2007, 48, 7255–7263. [Google Scholar] [CrossRef]
- Chen, J.-C.; Wu, J.-A.; Lee, C.-Y.; Tsai, M.-C.; Chen, K.-H. Novel polyimides containing benzimidazole for temperature proton exchange membrane fuel. J. Memb. Sci. 2015, 483, 144–154. [Google Scholar] [CrossRef]
- Liu, S.; Zhou, L.; Wang, P.; Zhang, F.; Yu, S.; Shao, Z.; Yi, B. Ionic-liquid-based proton conducting membranes for anhydrous H 2/Cl 2 fuel-cell applications. ACS Appl. Mater. Interfaces 2014. [Google Scholar]
- Kim, S.Y.; Kim, S.; Park, M.J. Enhanced proton transport in nanostructured polymer electrolyte/ionic liquid membranes under water-free conditions. Nat. Commun. 2010, 1, 1–7. [Google Scholar] [CrossRef]
- Sood, R.; Iojoiu, C.; Espuche, E.; Gouanvé, F.; Gebel, G.; Mendil-Jakani, H.; Lyonnard, S.; Jestin, J. Comparative study of proton conducting ionic liquid doped nafion membranes elaborated by swelling and casting methods: Processing conditions, morphology, and functional properties. J. Phys. Chem. C 2014. [Google Scholar] [CrossRef]
- Dahi, A.; Fatyeyeva, K.; Langevin, D.; Chappey, C.; Rogalsky, S.P.; Tarasyuk, O.P.; Marais, S. Polyimide/ionic liquid composite membranes for fuel cells operating at high temperatures. Electrochim. Acta 2014, 130, 830–840. [Google Scholar] [CrossRef]
- Deligöz, H.; Yılmazoğlu, M.; Yılmaztürk, S.; Şahin, Y.; Ulutaş, K. Synthesis and characterization of anhydrous conducting polyimide/ionic liquid complex membranes via a new route for high-temperature fuel cells. Polym. Adv. Technol. 2012, 23, 1156–1165. [Google Scholar] [CrossRef]
- Wang, J.T.-W.; Hsu, S.L.-C. Enhanced high-temperature polymer electrolyte membrane for fuel cells based on polybenzimidazole and ionic liquids. Electrochim. Acta 2011, 56, 2842–2846. [Google Scholar] [CrossRef]
- Martinez, M.; Molmeret, Y.; Cointeaux, L.; Iojoiu, C.; Leprêtre, J.-C.; El Kissi, N.; Judeinstein, P.; Sanchez, J.-Y. Proton-conducting ionic liquid-based Proton Exchange Membrane Fuel Cell membranes: The key role of ionomer–ionic liquid interaction. J. Power Sources 2010, 195, 5829–5839. [Google Scholar] [CrossRef]
- Munoz, M.; Domínguez, C.M.; de Pedro, Z.M.; Quintanilla, A.; Casas, J.A.; Rodriguez, J.J. Ionic liquids breakdown by Fenton oxidation. Catal. Today 2015, 240, 16–21. [Google Scholar] [CrossRef]
- Ayala, V.; Muñoz, D.M.; Lozano, Á.E.; de la Campa, J.G.; de Abajo, J. Synthesis, characterization, and properties of new sequenced poly(ether amide)s based on 2-(4-aminophenyl)-5-aminobenzimidazole and 2-(3-aminophenyl)-5-aminobenzimidazole. J. Polym. Sci. Part A Polym. Chem. 2006, 44, 1414–1423. [Google Scholar] [CrossRef]
- Gahlot, S.; Sharma, P.P.; Kulshrestha, V.; Jha, P.K. SGO/SPES-Based Highly Conducting Polymer Electrolyte Membranes for Fuel Cell Application. ACS Appl. Mater. Interfaces 2014, 6, 5595–5601. [Google Scholar] [CrossRef]
- Liu, Y.; Zhang, Y.; Guan, S.; Zhang, H.; Yue, X.; Jiang, Z. Synthesis of novel fluorinated hyperbranched polyimides with excellent optical properties. J. Polym. Sci. Part A Polym. Chem. 2009, 47, 6269–6279. [Google Scholar] [CrossRef]
- Liaw, D.-J.; Liaw, B.-Y.; Hsu, P.-N.; Hwang, C.-Y. Synthesis and Characterization of New Highly Organosoluble Poly(ether imide)s Bearing a Noncoplanar 2,2‘-Dimethyl-4,4‘-biphenyl Unit and Kink Diphenylmethylene Linkage. Chem. Mater. 2001, 13, 1811–1816. [Google Scholar] [CrossRef]
- Broxton, T.J.; Muir, D.M.; Parker, A.J. Aromatic nucleophilic substitution reactions of ambident nucleophiles. III. Reactivity of the nitrite ion. J. Org. Chem. 1975, 40, 3230–3233. [Google Scholar] [CrossRef]
- Broxton, T.J.; Muir, D.M.; Parker, A.J. Aromatic nucleophilic substitution reactions of ambident nucleophiles. II. Reactions of nitrite ion with nitrohalobenzenes. J. Org. Chem. 1975, 40, 2037–2042. [Google Scholar] [CrossRef]
- Ayala, V.; Muñoz, D.M.; Lozano, A.E.; De La Campa, J.G.; De Abajo, J. Synthesis, characterization, and properties off new sequenced poly(ether amide)s based on 2-(4-aminophenyl)-5-aminobenzimidazole and 2-(3-aminophenyl)-5- aminobenzimidazole. J. Polym. Sci. Part A Polym. Chem. 2006. [Google Scholar] [CrossRef]
- Hsiao, S.-H.; Chen, Y.-J. Structure–property study of polyimides derived from PMDA and BPDA dianhydrides with structurally different diamines. Eur. Polym. J. 2002, 38, 815–828. [Google Scholar] [CrossRef]
- Mittal, K.L. Polyimides and Other High Temperature Polymers: Synthesis, Characterization and Applications; Plenum Press: New York, NY, USA; ISBN 9789004170803.
- Malay K Ghosh, K.L.M. Polyimides: Fundamentals and applications; Marcel Dekker: New York, NY, USA, 1996; ISBN 9780824794668. [Google Scholar]
- Saito, J.; Miyatake, K.; Watanabe, M. Synthesis and Properties of Polyimide Ionomers Containing 1 H -1,2,4-Triazole Groups. Macromolecules 2008, 41, 2415–2420. [Google Scholar] [CrossRef]
- Murray, S.M.; Zimlich, T.K.; Mirjafari, A.; O’Brien, R.A.; Davis, J.H.; West, K.N. Thermophysical Properties of Imidazolium-Based Lipidic Ionic Liquids. J. Chem. Eng. Data 2013, 58, 1516–1522. [Google Scholar] [CrossRef]
- Chuang, S.-W.; Hsu, S.L.-C. Synthesis and properties of a new fluorine-containing polybenzimidazole for high-temperature fuel-cell applications. J. Polym. Sci. Part A Polym. Chem. 2006, 44, 4508–4513. [Google Scholar] [CrossRef]
- Wind, J.D.; Paul, D.R.; Koros, W.J. Natural gas permeation in polyimide membranes. J. Memb. Sci. 2004, 228, 227–236. [Google Scholar] [CrossRef]
- Hillock, A.M.W.; Koros, W.J. Cross-Linkable Polyimide Membrane for Natural Gas Purification and Carbon Dioxide Plasticization Reduction. Macromolecules 2007, 40, 583–587. [Google Scholar] [CrossRef]
- Omole, I.C.; Miller, S.J.; Koros, W.J. Increased Molecular Weight of a Cross-Linkable Polyimide for Spinning Plasticization Resistant Hollow Fiber Membranes. Macromolecules 2008, 41, 6367–6375. [Google Scholar] [CrossRef]
- Maya, E.M.; Lozano, A.E.; de Abajo, J.; de la Campa, J.G. Chemical modification of copolyimides with bulky pendent groups: Effect of modification on solubility and thermal stability. Polym. Degrad. Stab. 2007, 92, 2294–2299. [Google Scholar] [CrossRef]
- Terraza, C.A.; Tagle, L.H.; Santiago-García, J.L.; Canto-Acosta, R.J.; Aguilar-Vega, M.; Hauyon, R.A.; Coll, D.; Ortiz, P.; Perez, G.; Herrán, L.; et al. Synthesis and properties of new aromatic polyimides containing spirocyclic structures. Polymer 2018, 137, 283–292. [Google Scholar] [CrossRef]
- Muthuraja, P.; Prakash, S.; Shanmugam, V.M.; Manisankar, P. Stable nanofibrous poly(aryl sulfone ether benzimidazole) membrane with high conductivity for high temperature PEM fuel cells. Solid State Ionics 2018, 317, 201–209. [Google Scholar] [CrossRef]
- Simpson, J.T.; Hunter, S.R.; Aytug, T. Superhydrophobic materials and coatings: A review. Reports Prog. Phys. 2015, 78, 086501. [Google Scholar] [CrossRef]
- Jheng, L.-C.; Hsu, S.L.-C.; Tsai, T.-Y.; Chang, W.J.-Y. A novel asymmetric polybenzimidazole membrane for high temperature proton exchange membrane fuel cells. J. Mater. Chem. A 2014, 2, 4225. [Google Scholar] [CrossRef]
- Wang, S.; Zhao, C.; Ma, W.; Zhang, N.; Zhang, Y.; Zhang, G.; Liu, Z.; Na, H. Silane-cross-linked polybenzimidazole with improved conductivity for high temperature proton exchange membrane fuel cells. J. Mater. Chem. A 2013, 1, 621–629. [Google Scholar] [CrossRef]
- Han, M.; Zhang, G.; Liu, Z.; Wang, S.; Li, M.; Zhu, J.; Li, H.; Zhang, Y.; Lew, C.M.; Na, H. Cross-linked polybenzimidazole with enhanced stability for high temperature proton exchange membrane fuel cells. J. Mater. Chem. 2011, 21, 2187–2193. [Google Scholar] [CrossRef]
- Chu, F.; Lin, B.; Qiu, B.; Si, Z.; Qiu, L.; Gu, Z.; Ding, J.; Yan, F.; Lu, J. Polybenzimidazole/zwitterion-coated silica nanoparticle hybrid proton conducting membranes for anhydrous proton exchange membrane application. J. Mater. Chem. 2012, 22, 18411. [Google Scholar] [CrossRef]
- Singha, S.; Jana, T. Structure and Properties of Polybenzimidazole/Silica Nanocomposite Electrolyte Membrane: Influence of Organic/Inorganic Interface. ACS Appl. Mater. Interfaces 2014, 6, 21286–21296. [Google Scholar] [CrossRef]
- Rewar, A.S.; Chaudhari, H.D.; Illathvalappil, R.; Sreekumar, K.; Kharul, U.K. New approach of blending polymeric ionic liquid with polybenzimidazole (PBI) for enhancing physical and electrochemical properties. J. Mater. Chem. A 2014, 2, 14449. [Google Scholar] [CrossRef]
- Vinothkannan, M.; Kim, A.R.; Gnana kumar, G.; Yoon, J.-M.; Yoo, D.J. Toward improved mechanical strength, oxidative stability and proton conductivity of an aligned quadratic hybrid (SPEEK/FPAPB/Fe 3 O 4 -FGO) membrane for application in high temperature and low humidity fuel cells. RSC Adv. 2017, 7, 39034–39048. [Google Scholar] [CrossRef]
- Gomez-Herrero, E.; Tobajas, M.; Polo, A.; Rodriguez, J.J.; Mohedano, A.F. Removal of imidazolium- and pyridinium-based ionic liquids by Fenton oxidation. Environ. Sci. Pollut. Res. 2018, 25, 34930–34937. [Google Scholar] [CrossRef]
- Domínguez, C.M.; Munoz, M.; Quintanilla, A.; de Pedro, Z.M.; Ventura, S.P.M.; Coutinho, J.A.P.; Casas, J.A.; Rodriguez, J.J. Degradation of imidazolium-based ionic liquids in aqueous solution by Fenton oxidation. J. Chem. Technol. Biotechnol. 2014, 89, 1197–1202. [Google Scholar] [CrossRef]









| Attempt a | TMSCl (mmol) | LiCl (mmol) | DMAc (mL) | ηinh (dL/g) b |
|---|---|---|---|---|
| 1 | - | 2 | 4 | 0.32 |
| 2 | - | 2 | 8 | 0.35 |
| 3 | 2 | - | 4 | 0.43 |
| 4 | 2 | - | 8 | 0.50 |
| 5 | - | - | 8 | 0.72 |
| Poly(imide) | ηinh (dL/g)a | Tested Solvent/Solubility | ||||||
|---|---|---|---|---|---|---|---|---|
| DMSO | DMF | DMAc | NMP | m-Cresol | CHCl3 | THF | ||
| PI-F | 0.72 | (+) | (+) | (+) | (+) | (+)* | (−) | (+) |
| PI-O | 0.68 | (+) | (+) | (+) | (+) | (+)* | (−) | (−) |
| PI-S | 0.73 | (+) | (+) | (+) | (+) | (+)* | (−) | (−) |
| Sample Label | [Bmim]Br (w/w,%)* | Film Quality |
|---|---|---|
| PI-F | 0 | Good, resistant to handling |
| PI-O | 0 | Good, resistant to handling |
| PI-S | 0 | Good, resistant to handling |
| PI-F/IL10 | 10 | Good, resistant to handling |
| PI-F/IL15 | 15 | Good, resistant to handling |
| PI-F/IL20 | 20 | Good, resistant to handling |
| PI-F/IL25 | 25 | Good, resistant to handling |
| PI-F/IL30 | 30 | Brittle when the film twists |
| PI-F/IL35 | 35 | Brittle when the film was removed |
| PI-F/IL40 | 40 | Brittle on the Teflon plate |
| Sample | Td5% (°C) a | Tg (°C) b | Rc (%)c |
|---|---|---|---|
| PI-F | 549 | 260 | 58 |
| PI-O | 545 | 225 | 57 |
| PI-S | 512 | 230 | 62 |
| PI-F/IL25 | 298 | n.d | 59 |
| PI-O/IL25 | 281 | n.d | 60 |
| PI-S/IL25 | 298 | n.d | 47 |
| Film * | Water Uptake at 30 °C (wt.%) | Water Uptake at 80 °C (wt.%) | Water Contact Angle (°) |
|---|---|---|---|
| PI-F | 2.4 | 3.2 | 87.6 ± 0.5 |
| PI-F-IL25 | 4.4 | 5.3 | 96.0 ± 1.8 |
| PI-S | 8.0 | 9.1 | 84.4 ± 1.1 |
| PI-S-IL25 | 12.0 | 13.2 | 84.8 ± 0.8 |
| PI-O | 5.3 | 6.4 | 88.2 ± 1.3 |
| PI-O-IL25 | 9.0 | 10.1 | 90.7 ± 0.8 |
© 2019 by the authors. Licensee MDPI, Basel, Switzerland. This article is an open access article distributed under the terms and conditions of the Creative Commons Attribution (CC BY) license (http://creativecommons.org/licenses/by/4.0/).
Share and Cite
Terraza, C.A.; Ortiz, P.; Tagle, L.H.; Pérez, G.; Saldias, C.; Rodríguez-González, F.E.; Cabrera-Barjas, G.; Catalán, H.; Tundidor-Camba, A.; Coll, D. Synthesis and Properties of Poly(imides) and Poly(imides)/Ionic Liquid Composites Bearing a Benzimidazole Moiety. Polymers 2019, 11, 759. https://doi.org/10.3390/polym11050759
Terraza CA, Ortiz P, Tagle LH, Pérez G, Saldias C, Rodríguez-González FE, Cabrera-Barjas G, Catalán H, Tundidor-Camba A, Coll D. Synthesis and Properties of Poly(imides) and Poly(imides)/Ionic Liquid Composites Bearing a Benzimidazole Moiety. Polymers. 2019; 11(5):759. https://doi.org/10.3390/polym11050759
Chicago/Turabian StyleTerraza, Claudio A., Pablo Ortiz, Luis H. Tagle, Germán Pérez, César Saldias, Fidel E. Rodríguez-González, Gustavo Cabrera-Barjas, Henry Catalán, Alain Tundidor-Camba, and Deysma Coll. 2019. "Synthesis and Properties of Poly(imides) and Poly(imides)/Ionic Liquid Composites Bearing a Benzimidazole Moiety" Polymers 11, no. 5: 759. https://doi.org/10.3390/polym11050759
APA StyleTerraza, C. A., Ortiz, P., Tagle, L. H., Pérez, G., Saldias, C., Rodríguez-González, F. E., Cabrera-Barjas, G., Catalán, H., Tundidor-Camba, A., & Coll, D. (2019). Synthesis and Properties of Poly(imides) and Poly(imides)/Ionic Liquid Composites Bearing a Benzimidazole Moiety. Polymers, 11(5), 759. https://doi.org/10.3390/polym11050759

