Structure and Mechanical Performance of Poly(vinyl Alcohol) Nanocomposite by Incorporating Graphitic Carbon Nitride Nanosheets
Abstract
:1. Introduction
2. Experimental Section
2.1. Materials
2.2. Sample Preparation
2.3. Measurements
3. Results and Discussion
3.1. Characterization of g-C3N4 Nanosheets
3.2. SEM Observation of PVA/g-C3N4 Nanocomposites
3.3. XRD of PVA/g-C3N4 Nanocomposites
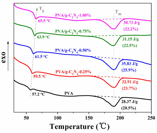
3.4. DSC Analysis of PVA/g-C3N4 Nanocomposites
3.5. Mechanical Performance of PVA/g-C3N4 Nanocomposites
4. Conclusions
Supplementary Materials
Author Contributions
Funding
Conflicts of Interest
References
- Ma, P.C.; Siddiqui, N.A.; Marom, G.; Kim, J.K. Dispersion and functionalization of carbon nanotubes for polymer-based nanocomposites: A review. Compos. Part A 2010, 41, 1345–1367. [Google Scholar] [CrossRef]
- He, S.J.; Hu, J.B.; Zhang, C.; Wang, J.Q.; Chen, L.; Bian, X.M.; Lin, J.; Du, X.Z. Performance improvement in nano-alumina filled silicone rubber composites by using vinyl tri-methoxysilane. Polym. Test. 2018, 67, 295–301. [Google Scholar] [CrossRef]
- Liu, M.; Jia, Z.; Jia, D.; Zhou, C. Recent advance in research on halloysite nanotubes-polymer nanocomposite. Prog. Polym. Sci. 2014, 39, 1498–1525. [Google Scholar] [CrossRef]
- He, S.J.; Bai, F.J.; Liu, S.X.; Ma, H.F.; Hu, J.B.; Chen, L.; Lin, J.; Wei, G.S.; Du, X.Z. Aging properties of styrene-butadiene rubber nanocomposites filled with carbon black and rectorite. Polym. Test. 2017, 64, 92–100. [Google Scholar] [CrossRef]
- Xue, Y.; Li, X.F.; Wang, H.S.; Zhang, D.H.; Chen, Y.F. Thermal conductivity improvement in electrically insulating silicone rubber composites by the construction of hybrid three-dimensional filler networks with boron nitride and carbon nanotubes. J. Appl. Polym. Sci. 2019, 136, 46929. [Google Scholar] [CrossRef]
- Cheng, H.K.F.; Sahoo, N.G.; Tan, Y.P.; Pan, Y.; Bao, H.; Li, L.; Chan, S.H.; Zhao, J. Poly(vinyl alcohol) Nanocomposites Filled with Poly(vinyl alcohol)-Grafted Graphene Oxide. ACS Appl. Mater. Inter. 2012, 4, 2387–2394. [Google Scholar] [CrossRef]
- Tang, Z.; Lei, Y.; Guo, B.; Zhang, L.; Jia, D. The use of rhodamine B-decorated graphene as a reinforcement in polyvinyl alcohol composites. Polymer 2012, 53, 673–680. [Google Scholar] [CrossRef]
- Du, M.; Ye, W.; Lv, W.; Fu, H.; Zheng, Q. Fabrication of high-performance poly(vinyl alcohol)/MgAl-layered double hydroxide nanocomposites. Eur. Polym. J. 2014, 61, 300–308. [Google Scholar] [CrossRef]
- Park, G.T.; Chang, J.H. Comparison of Properties of PVA Nanocomposites Containing Reduced Graphene Oxide and Functionalized Graphene. Polymers 2019, 11, 450. [Google Scholar] [CrossRef]
- Sanchez-Hidalgo, R.; Blanco, C.; Menendez, R.; Verdejo, R.; Lopez-Manchado, M.A. Multifunctional Silicone Rubber Nanocomposites by Controlling the Structure and Morphology of Graphene Material. Polymers 2019, 11, 449. [Google Scholar] [CrossRef]
- He, S.J.; He, T.F.; Wang, J.Q.; Wu, X.H.; Xue, Y.; Zhang, L.Q.; Lin, J. A novel method to prepare acrylonitrile-butadiene rubber/clay nanocomposites by compounding with clay gel. Compos. Part B 2019, 167, 356–361. [Google Scholar] [CrossRef]
- Wang, X.; Liu, X.; Yuan, H.; Liu, H.; Liu, C.; Li, T.; Yan, C.; Yan, X.; Shen, C.; Guo, Z. Non-covalently functionalized graphene strengthened poly(vinyl alcohol). Mater. Design 2018, 139, 372–379. [Google Scholar] [CrossRef]
- Shi, X.; Yang, P.; Peng, X.; Huang, C.; Qian, Q.; Wang, B.; He, J.; Liu, X.; Li, Y.; Kuang, T. Bi-phase fire-resistant polyethylenimine/graphene oxide/melanin coatings using layer by layer assembly technique: Smoke suppression and thermal stability of flexible polyurethane foams. Polymer 2019, 170, 65–75. [Google Scholar] [CrossRef]
- Zhao, Z.; Sun, Y.; Dong, F. Graphitic carbon nitride based nanocomposites: a review. Nanoscale 2015, 7, 15–37. [Google Scholar] [CrossRef]
- Su, F.; Mathew, S.C.; Lipner, G.; Fu, X.; Antonietti, M.; Blechert, S.; Wang, X. mpg-C3N4-Catalyzed Selective Oxidation of Alcohols Using O2 and Visible Light. J. Am. Chem. Soc. 2010, 132, 16299–16301. [Google Scholar] [CrossRef]
- Wang, Z.; Guan, W.; Sun, Y.; Dong, F.; Zhou, Y.; Ho, W.K. Water-assisted production of honeycomb-like g-CN with ultralong carrier lifetime and outstanding photocatalytic activity. Nanoscale 2015, 7, 2471–2479. [Google Scholar] [CrossRef]
- Yang, S.; Gong, Y.; Zhang, J.; Zhan, L.; Ma, L.; Fang, Z.; Vajtai, R.; Wang, X.; Ajayan, P.M. Exfoliated Graphitic Carbon Nitride Nanosheets as Efficient Catalysts for Hydrogen Evolution Under Visible Light. Adv. Mater. 2013, 25, 2452–2456. [Google Scholar] [CrossRef] [PubMed]
- Ding, X.; Zhu, J.; Yue, Z.; Qian, X.; Bi, W.; Yang, X.; Yang, J. Separation and concentration of natural products by fast forced adsorption using well-dispersed velvet-like graphitic carbon nitride with response surface methodology optimisation. Talanta 2016, 154, 119–126. [Google Scholar] [CrossRef] [PubMed]
- Dong, G.; Zhang, Y.; Pan, Q.; Qiu, J. A fantastic graphitic carbon nitride (g-C3N4) material: Electronic structure, photocatalytic and photoelectronic properties. J. Photoch. Photobio. C 2014, 20, 33–50. [Google Scholar] [CrossRef]
- Zhu, L.; Wang, Y.; Hu, F.; Song, H.J. Structural and friction characteristics of g-C3N4/PVDF composites. Appl. Surf. Sci. 2015, 345, 349–354. [Google Scholar] [CrossRef]
- Gang, M.; He, G.; Li, Z.; Cao, K.; Li, Z.; Yin, Y.; Wu, H.; Jiang, Z. Graphitic carbon nitride nanosheets/sulfonated poly(ether ether ketone) nanocomposite membrane for direct methanol fuel cell application. J. Membr. Sci. 2016, 507, 1–11. [Google Scholar] [CrossRef]
- Peppas, N.A.; Merrill, E.W. Differential scanning calorimetry of crystallized PVA hydrogels. J. Appl. Polym. Sci. 1976, 20, 1457–1465. [Google Scholar] [CrossRef]
- Ning, N.Y.; Fu, S.R.; Zhang, W.; Chen, F.; Wang, K.; Deng, H.; Zhang, Q.; Fu, Q. Realizing the enhancement of interfacial interaction in semicrystalline polymer/filler composites via interfacial crystallization. Prog. Polym. Sci. 2012, 37, 1425–1455. [Google Scholar] [CrossRef]
- Xu, J.Z.; Zhong, G.J.; Hsiao, B.S.; Fu, Q.; Li, Z.M. Low-dimensional carbonaceous nanofiller induced polymer crystallization. Prog. Polym. Sci. 2014, 39, 555–593. [Google Scholar] [CrossRef]
- Shi, S.; Wang, L.; Pan, Y.; Liu, C.; Liu, X.; Li, Y.; Zhang, J.; Zheng, G.; Guo, Z. Remarkably Strengthened microinjection molded linear low-density polyethylene (LLDPE) via multi-walled carbon nanotubes derived nanohybrid shish-kebab structure. Compos. Part B 2019, 167, 362–369. [Google Scholar] [CrossRef]
- Zhao, X.; Zhang, Q.; Chen, D.; Lu, P. Enhanced Mechanical Properties of Graphene-Based Poly(vinyl alcohol) Composites. Macromolecules 2010, 43, 2357–2363. [Google Scholar] [CrossRef]
- Zhang, J.; Lei, W.; Liu, D.; Wang, X. Synergistic influence from the hybridization of boron nitride and graphene oxide nanosheets on the thermal conductivity and mechanical properties of polymer nanocomposites. Compos. Sci. Technol. 2017, 151, 252–257. [Google Scholar] [CrossRef]
- Duan, Z.Q.; Liu, Y.T.; Xie, X.M.; Ye, X.Y. A simple and green route to transparent boron nitride/PVA nanocomposites with significantly improved mechanical and thermal properties. Chin. Chem. Lett. 2013, 24, 17–19. [Google Scholar] [CrossRef]
- Xie, J.; Zhang, K.; Wang, Z.; Zhao, Q.; Yang, Y.; Zhang, Y.; Ai, S.; Xu, J. Biodegradable poly(vinyl alcohol)-based nanocomposite film reinforced with organophilic layered double hydroxides with potential packaging application. Iran. Polym. J. 2017, 26, 811–819. [Google Scholar] [CrossRef]
- Zhou, K.; Jiang, S.; Bao, C.; Song, L.; Wang, B.; Tang, G.; Hu, Y.; Gui, Z. Preparation of poly(vinyl alcohol) nanocomposites with molybdenum disulfide (MoS2): Structural characteristics and markedly enhanced properties. RSC Adv. 2012, 2, 11695–11703. [Google Scholar] [CrossRef]
- Li, C.; Li, Y.; She, X.; Vongsvivut, J.; Li, J.; She, F.; Gao, W.; Kong, L. Reinforcement and deformation behaviors of polyvinyl alcohol/graphene/montmorillonite clay composites. Compos. Sci. Technol. 2015, 118, 1–8. [Google Scholar] [CrossRef]







| Content of g-C3N4 (wt %) | 0 | 0.25 | 0.50 | 0.75 | 1.00 |
|---|---|---|---|---|---|
| Elastic modulus (GPa) | 2.28 ± 0.12 | 3.66 ± 0.17 | 3.80 ± 0.14 | 2.62 ± 0.09 | 2.48 ± 0.08 |
| Yield strength (MPa) | 55.1 ± 1.7 | 75.6 ± 2.1 | 93.4 ± 3.8 | 69.4 ± 1.9 | 63.6 ± 2.2 |
| Tensile strength (MPa) | 51.2 ± 2.8 | 82.3 ± 3.2 | 87.4 ± 2.6 | 74.3 ± 1.9 | 66.8 ± 2.3 |
| Elongation at break (%) | 124 ± 8 | 123 ± 7 | 113 ± 5 | 143 ± 11 | 129 ± 7 |
| Filler | Content (wt%) | Tensile strength (MPa) | Improvement (%) | Reference | |
|---|---|---|---|---|---|
| Pure PVA | Nanocomposite | ||||
| graphene a | 3.0 | 17.0 | 42.0 | ~147 | [26] |
| 0.5 | 27.0 | ~58.8 | |||
| graphene b | 1.8 | 33.5 | 113 | ~237 | [7] |
| 0.7 | 67.6 | ~101 | |||
| 0.3 | 65.0 | ~94.0 | |||
| GO | 2.0 | 22.5 | 45.7 | ~103 | [6] |
| 0.5 | 32.1 | ~42.7 | |||
| BN | 0.8 | 77.0 | 91.0 | ~18.2 | [27] |
| BN | 2.0 | 46.0 | 99.2 | ~115 | [28] |
| 0.5 | 81.5 | ~77.1 | |||
| LDH | 1.0 | 58.9 | 114 | ~93.0 | [8] |
| 0.5 | 88.1 | ~49.6 | |||
| LDH b | 2.0 | 28.3 | 47.0 | ~66.0 | [29] |
| MoS2 | 5.0 | 84.0 | 105 | ~24.0 | [30] |
| montmorillonite | 1.0 | ~62.0 | ~68.5 | ~10.5 | [31] |
| g-C3N4 | 0.5 | 51.2 | 87.4 | ~70.7 | Our work |
© 2019 by the authors. Licensee MDPI, Basel, Switzerland. This article is an open access article distributed under the terms and conditions of the Creative Commons Attribution (CC BY) license (http://creativecommons.org/licenses/by/4.0/).
Share and Cite
He, S.; Wang, J.; Yu, M.; Xue, Y.; Hu, J.; Lin, J. Structure and Mechanical Performance of Poly(vinyl Alcohol) Nanocomposite by Incorporating Graphitic Carbon Nitride Nanosheets. Polymers 2019, 11, 610. https://doi.org/10.3390/polym11040610
He S, Wang J, Yu M, Xue Y, Hu J, Lin J. Structure and Mechanical Performance of Poly(vinyl Alcohol) Nanocomposite by Incorporating Graphitic Carbon Nitride Nanosheets. Polymers. 2019; 11(4):610. https://doi.org/10.3390/polym11040610
Chicago/Turabian StyleHe, Shaojian, Jiaqi Wang, Mengxia Yu, Yang Xue, Jianbin Hu, and Jun Lin. 2019. "Structure and Mechanical Performance of Poly(vinyl Alcohol) Nanocomposite by Incorporating Graphitic Carbon Nitride Nanosheets" Polymers 11, no. 4: 610. https://doi.org/10.3390/polym11040610
APA StyleHe, S., Wang, J., Yu, M., Xue, Y., Hu, J., & Lin, J. (2019). Structure and Mechanical Performance of Poly(vinyl Alcohol) Nanocomposite by Incorporating Graphitic Carbon Nitride Nanosheets. Polymers, 11(4), 610. https://doi.org/10.3390/polym11040610

