Abstract
This work presents an in-depth kinetic study of the thermal degradation of recycled acrylonitrile-butadiene-styrene (ABS) polymer. Non-isothermal thermogravimetric analysis (TGA) data in nitrogen atmosphere at different heating rates comprised between 2 and 30 K min−1 were used to obtain the apparent activation energy (Ea) of the thermal degradation process of ABS by isoconversional (differential and integral) model-free methods. Among others, the differential Friedman method was used. Regarding integral methods, several methods with different approximations of the temperature integral were used, which gave different accuracies in Ea. In particular, the Flynn-Wall-Ozawa (FWO), the Kissinger-Akahira-Sunose (KAS), and the Starink methods were used. The results obtained by these methods were compared to the Kissinger method based on peak temperature (Tm) measurements at the maximum degradation rate. Combined Kinetic Analysis (CKA) was also carried out by using a modified expression derived from the general Sestak-Berggren equation with excellent results compared with the previous methods. Isoconversional methods revealed negligible variation of Ea with the conversion. Furthermore, the reaction model was assessed by calculating the characteristic and functions and comparing them with some master plots, resulting in a nth order reaction model with n = 1.4950, which allowed calculating the pre-exponential factor (A) of the Arrhenius constant. The results showed that Ea of the thermal degradation of ABS was 163.3 kJ mol−1, while ln A was 27.5410 (A in min−1). The predicted values obtained by integration of the general kinetic expression with the calculated kinetic triplet were in full agreement with the experimental data, thus giving evidence of the accuracy of the obtained kinetic parameters.
1. Introduction
Thermal degradation of polymers is a topic of great relevance. On one hand, due to their high sensitivity to temperature, degradation or aging at moderate temperatures is responsible for a dramatic loss in overall performance [1,2]. On the other hand, thermal degradation at high temperatures, studied by thermogravimetric analysis (TGA), gives a sound idea of the thermal stability of polymers and composites [3,4]. In addition to conventional analytical techniques, theoretical studies are being conducted in order to elucidate the main parameters governing the thermal degradation of polymers [5].
Acrylonitrile-butadiene-styrene (ABS) is a commodity plastic widely used at the industrial level due to an excellent combination of processability, chemical and light resistance, balanced mechanical properties, and a competitive cost. In addition, ABS is recyclable and compatible with most styrenic polymers and some technical polymers, such as polycarbonate (PC) and polyamides (PAs) [6,7,8]. All these features make ABS the optimal selection for a wide variety of applications, such as electric and electronic equipment, cases and components for electrical appliances, parts and components for the automotive industry, toys, and more recently, as a base material for 3D printing due to the moderate processing temperatures and the excellent surface finish that can be accomplished [9]. ABS consists of a poly(acrylonitrile-co-styrene) (SAN) matrix, in which a rubber phase of poly(butadiene) (BR) is finely dispersed and partially grafted, leading to a drop-like structure that positively contributes to increasing toughness [10].
Regarding its thermal stability, as with many other polymers, ABS is highly sensitive to thermo-oxidative processes [11,12]. In addition, at moderate temperatures in the range of 220–240 °C, it undergoes some cross-linking phenomena due to the presence of C=C double bonds in the BR phase [13]. As reported by Polli et al. [14], different analysis of the thermal degradation of ABS can be found in the literature using different thermal programs and atmospheres [15]. As is generally established, degradation of ABS, as similar to other vinyl polymers, proceeds by end-chain and random-chain scissions [14,16,17,18]. In this sense, Perez-Maqueda et al. [19] reported the scission mechanism of atactic poly(styrene) (PS) and validated a method that describes accurately the polymer chain breakage and evaporation of the broken sub-units as a function of the reaction fraction. Despite the complexity of the degradation process, degradation of ABS typically occurs in a single-step process. It has been reported that ABS degradation occurs in several overlapped processes, one corresponding to the styrenic phase and the other corresponding to the butadiene component as validated by Fourier-transform infrared (FTIR) spectroscopy. Each of these processes is governed by an activation energy. Nevertheless, in dynamic TG with constant heating rate, it is impossible to separate them. As it has been reported Luda di Cortemiglia et al. [20], the SAN phase of ABS degrades in a single volatilization process with a maximum rate at 425 °C, and chain fragments, NH3, HCN, and aromatic compounds are generated. With regard to the butadiene phase, it degrades at higher temperatures in a two-step process. The first stage represents about 20% weight loss and involves formation of chain fragments and condensable gaseous hydrocarbons, while the second stage is related to the major weight loss and also non condensable gases such as H2 and CH4 are evolved. These processes occur as a single weight loss step in TGA of ABS, thus indicating it can be analyzed as an overall degradation process with one “apparent” activation energy. The apparent activation energy, Ea that has been reported in the literature cover the range comprised between 134 to 190 kJ mol−1 [21]. In a previous work, our research group reported Ea values for the thermal degradation of recycled ABS in the 140–160 kJ mol−1 range, depending on the selected kinetic method [22]. The autocatalytic reaction model was proposed as the best model since it gave good accuracy between the experimental data and the values predicted by this reaction model, showing values of Ea = 163.14 ± 3.51 kJ mol−1, ln A = 28.0543 ± 0.5778 (A in min−1), and f(α) = αm(1−α)n with n = 1.7157 ± 0.2970 and m = 0.56 ± 0.1823.
This work originally presents a systematic approach to the kinetic study of the thermal degradation of recycled ABS polymer under nitrogen atmosphere by using several model-free kinetic methods (MFK) with their corresponding accuracies and corrections. Moreover, the usefulness of the Combined Kinetic Analysis (CKA) methodology is assessed by comparing the obtained Ea values with those obtained with conventional isoconversional model-free kinetic methods. Finally, the work deals with the elucidation of the reaction model f, by calculating the corresponding and functions and comparing them with some master curve plots.
2. Theoretical Background
Kinetic studies are based on the following general kinetic expression:
This expression indicates that the reaction or conversion rate (/dt) is directly related to the rate or kinetic constant (k), and a function of the conversion , which takes several forms, depending on the main mechanism, and subsequently, is representative for the reaction model. The rate constant (k) is temperature-dependent and it is assumed to follow the Arrhenius equation in thermally activated reactions in the solid state (Equation (2)):
where A (in min−1) corresponds to the pre-exponential or frequency factor, Ea (in J mol−1) stands for the apparent activation energy, R is the gas constant (8.314 J mol−1 K−1), and T is the absolute temperature (in K).
By combining Equations (1) and (2), the following expression is obtained:
As Equation (3) suggests kinetic analysis assists on determining the kinetic triplet: A, Ea, .
2.1. Isoconversional Methods
Isoconversional methods have been extensively used to estimate Ea accurately by using differential or integral methods (in either isothermal or non-isothermal conditions). Differential methods are based on Equation (3), which can be used for whatever thermal program. This time-domain expression can be converted into a temperature-domain by assuming the heating rate (β).
Then, by substituting Equation (4) in Equation (3) yields Equation (5). This temperature-dependent equation is applicable to dynamic thermal programs.
Equation (5) can also be represented in its integral form to give Equation (6), which is the base for the integral methods.
Isoconversional methods derive from the basic isoconversional principle that assumes that the reaction rate at a constant conversion (c) is only dependent on temperature. By taking natural logarithms on both sides of Equation (1), it yields:
Then, by taking partial derivatives with respect to (1/T) on Equation (7) at a constant = i, the following expression is obtained:
In isoconversional conditions, at a constant value i, its corresponding value is also constant, and therefore, the second term on the right-hand side of Equation (8) equals zero. The first term on the right-hand side of Equation (8) can be obtained by taking the partial derivative of the natural logarithmic form of Equation (2) with respect to 1/T. Therefore, the following expression can be obtained:
Then, by combining Equation (9) and Equation (8), the isoconversional methods are based on the fact that it is possible to obtain an estimation of Ea (at a particular i = constant) without assuming any reaction model, as shown in Equation (10). Thus, these methods are habitually called Model-Free Kinetic methods (MFK). These methods are widely used to study the apparent activation energy of thermal activated processes (degradation and cross-linking) [23].
Although isoconversional methods can give quite accurate values of Ea by using differential methods, such as Friedman, or integral methods, such as the Flynn-Wall-Ozawa (FWO), Kissinger-Akahira-Sunose (KAS), and Starink, among others, no additional information is obtained about the reaction model and further methods are then required.
2.1.1. Differential Isoconversional Methods
The Friedman method is a differential method based on Equation (5). By taking natural logarithms and re-arranging terms, Equation (11) is obtained, which suggests that a plot of against 1/T, at a constant , for different heating rates , gives a linear plot whose slope is . As is constant at a constant value, and A is also a constant, this approach can give an accurate value of Ea without assuming any particular reaction model.
2.1.2. Integral Isoconversional Methods
Integral methods are based on the integration of Equation (6) to give the integral form, of the reaction model, .
The temperature integral (right-hand side) does not have an analytical solution, so that if we consider the reduced temperature as x = Ea/RT, a polynomial P(x) must be obtained by numerical methods.
As indicated previously, by taking x = Ea/RT as the reduced temperature, a series expansion can give different approximations of P(x). Asymptotic expansions after a single integration-by-parts are interesting approximations of P(x) [24].
Another asymptotic expansion series is that proposed by Schlomilch, as shown in Equation (15):
Or the Lyon’s expansion shown in Equation (16) [25]:
There are several integral methods which use different solutions of the temperature integral, such as the Broido method [26]. The Flynn-Wall-Ozawa (FWO) method allows estimating the apparent activation energies (Ea) over the entire range from TGA data at different heating rates (). This method is widely used because it provides an accurate value of Ea for a particular (isoconversional) value. The FWO method is an integral method that uses the Doyle’s approximation of the temperature integral P(x). The empirical equation proposed by Doyle for the temperature integral is shown in Equation (17) [27,28,29,30]:
where B(x) is comprised between −1.195 and −1.034 over the x domain. Usually, an average value of −1.052 is used for integral methods for x values comprised between 10 and 60 with a relatively low error. By substituting Equation (17) in Equation (13), it yields:
By taking natural logarithms on both sides of the equality and rearranging terms, Equation (19) is obtained. This equation is the base of the FWO integral method:
As it can be seen from Equation (19), a plot of versus 1/T (or versus 1/T) allows a linear fit, whose slope is directly related to the Ea at that particular value [31].
Different approximations give different expressions, which can be useful to estimate the values of Ea. The FWO method is not the most accurate, as it makes use of a quite essential approximation of P(x). Among others, the Kissinger-Akahira-Sunose method (KAS) employs the Murray and White approximation of P(x) as indicated in Equation (20), which gives more accurate results:
By using the KAS method (Equation (21)), a plot representation of ln versus 1/T for a particular conversion , gives a straight line with a slope consisting on Ea/R [32].
Another approximation is that given by Starink [24] in Equation (22), which allows an even more accurate estimation of Ea.
As one can realize, Equation (19), Equation (21), and Equation (22) show similar mathematical structures as Starink [24] already demonstrated, thus leading to a generalized expression:
where B and C are experimental values related to a particular approximation of the temperature integral, so that Doyle’s approximation considers B = 0 and C = 1.052. The Murray and White approximation leads to B and C values of 2 and 1, respectively.
2.2. Combined Kinetic Analysis (CKA)
The above-mentioned methods allow estimating the apparent activation energies without any assumption of the reaction model. As it has been described previously, kinetic analysis offers several tools to determine the so-called kinetic triplet, that is, Ea, A, and f(α). One interesting approach to get more information and simultaneously obtain Ea and A is the Combined Kinetic Analysis (CKA). Equation (3) can be written in the following form by taking natural logarithms on both sides and rearranging terms:
By choosing the appropriate kinetic model, f(α), a plot of the left-hand side of Equation (24) versus 1/T, allows determining Ea from the slope of the linear fit while the pre-exponential factor, A, can be obtained from the intercept once Ea has been obtained. Obviously, the quality of the linear fit will depend on the selected reaction model, f(α). Table 1 summarizes several kinetic models with their typical f(α) functions and their corresponding integral forms, g(α).
Table 1.
Algebraic expressions for g(α) and f(α) for some of the mechanisms of solid state processes, activated by temperature.
In addition to the correct selection of the kinetic model, experimental data can deviate from the theoretical kinetic models due to sample size, geometry, shape, and so on. These drawbacks can be overcome or minimized by the procedure described by Perez-Maqueda et al. [33], which suggests the use of a generic equation derived from the generalized Sestak-Berggren equation shown in Equation (25) [34]. Depending on the combination of the superscripts, m, n and p, Equation (25) can represent almost any reaction model.
The generalized expression proposed by Perez-Maqueda et al. [33] is shown in Equation (26), and as it has been demonstrated, it can fit most of the typical reaction models by simply adjusting the c, m, and n parameters.
If Equation (26) is included into Equation (24) and the terms are rearranged, it gives Equation (27). An optimization of the Pearson’s linear correlation coefficient can be considered as the objective to obtain the optimum m and n values that allow a linear fit between the left-hand side part of Equation (27) against 1/T. Once m and n are obtained, the Ea and ln cA values can be obtained from the slope and intercept of the optimum linear fit, respectively, as reported by Sánchez-Jiménez et al. [35].
2.3. Criado and Maqueda Method
Criado-Maqueda methodology is based on the use of master plots corresponding to different reaction models (Table 1). By comparison with experimental data, it is possible to elucidate the reaction model if it is unique, or in some cases, if it is based on two or more consecutive reaction models, depending on the conversion, . As previously stated, isoconversional models allow estimating the Ea in an accurate way but they do not give any information about the reaction model. Once Ea has been obtained, a y() function can be defined as shown in Equation (28), with x = Ea/RT representing the reduced temperature:
Substituting Equation (5) in Equation (28) and rearranging terms, it yields Equation (29). Since A is a constant value, the plot of the second member in Equation (29) against should be proportional to f(). Therefore, y() gives the geometry of f() and it can be very useful to elucidate the reaction model. It is possible to normalize y() to enable comparison with the normalized theoretical functions in Table 1.
To give more consistency to this method, Criado-Maqueda also proposed the use of a z()-type function to represent the master curves corresponding to different reaction models that take into account both f() and its integral form g(). The z() function is defined in Equation (30), in which is related to the Arrhenius temperature integral:
As observed in Equation (14), Equation (15), and Equation (16), the approximations of the temperature integral are defined by a series of asymptotic functions. Nevertheless, all these equations can be expressed for a particular expansion, as indicated in Equation (31):
Senum and Yang have proposed different approximations of in a rational form, as summarized in Table 2 [36]. Perez-Maqueda et al. [37] validated the accuracy of these approximations up to eight degrees and they concluded that a rational approximation with a fourth degree gives an error lower than 10−5, therefore the fourth degree is enough for kinetic studies although they have demonstrated increasing accuracy with increasing degree. Table 2 shows the corrected value for the first power x term of the numerator of the fourth degree of 86 instead of 88 as reported by Flynn [38].
Table 2.
Rational approximations for the temperature integral with different degrees.
Then, by substituting Equation (3) and Equation (31) in Equation (30), the following expression is derived:
As the Ea of thermally activated processes can be determined by several non-isothermal tests independently of the reaction mechanism , the theoretical master plots obtained by Equation (32) for different well-established reaction mechanisms, as summarized in Table 2, can be easily obtained. These plots can be very useful in determining the main reaction mechanism or even the existence of overlapped reaction mechanisms, as the corresponding to experimental results can be calculated by using Equation (33), which is derived from including from Equation (31) on Equation (20) and considering x = Ea/RT.
Or by taking into account the heating rate, , Equation (33) can be written as:
As in the case of , a comparison of the calculated from the experimental data using Equation (33) or Equation (34) and the different normalized master plot curves corresponding to different reaction mechanisms for solid state reactions, as described in Table 2, and calculated by Equation (32), can be very useful to assess the reaction model or a combination of them.
3. Materials and Methods
3.1. Materials
A recycled acrylonitrile-butadiene-styrene (ABS) obtained from waste electric-electronics equipment (WEEE) was used as the base material for kinetic analysis. This ABS grade is a binary blend of SAN and BR. Its characteristic glass transition temperature (Tg) is located at 104.4 °C. The melt flow index (MFI) is 7.7 g/10 min, measured at 210 °C and a load of 5 kg, and 20.5 g/10 min, measured at 230 °C and a load of 5 kg in a ATF Faar S.p.A. melt flow index (MFI) (Novegro-Tregarezzo, Italy). Scheme 1 shows a plot of the structure of this polymer blend.
Scheme 1.
Schematic plot of the acrylonitrile-butadiene-styrene (ABS) structure, mainly composed of poly(styrene-co-acrylonitrile) (SAN) and poly(butadiene) rubber (BR).
3.2. Thermal Degradation Analysis
Kinetic analysis of the thermal degradation of recycled ABS was carried out by using dynamic thermogravimetry (TGA). To this end, a TGA/SDTA 851 thermobalance from Mettler-Toledo (Schwerzenbach, Switzerland) was used. An average sample mass of 8–10 mg was subjected to a dynamic program from 30 °C up to 700 °C at different heating rates (2, 5, 10, 15, 20, 25, and 30 K min−1) in nitrogen atmosphere with a constant nitrogen flow of 80 mL min−1. Nitrogen atmosphere was selected to simulate typical “pyrolysis” conditions, which could be helpful for practical uses, such as energy valorization of plastic wastes. Standard graphite crucibles were used. The conversion at each temperature was calculated using Equation (35):
where w0 denotes the initial mass of the sample, wf stands for the residual mass, and wT represents the mass at a particular temperature (T).
4. Results and Discussion
4.1. Determination of the Apparent Activation Energy of the Thermal Degradation of ABS
The typical conversion curves for the degradation of recycled ABS are shown in Figure 1a with varying . Figure 1b shows the corresponding (d/dT) plots versus T, including the characteristic temperatures for the maximum degradation rates (Tm). A simple method to obtain the Ea from a set of experiments at different heating rates is the Kissinger method [32]. This is widely used because of its simplicity, and it is based on the assumption that at Tm. It is assumed that the conversion at the maximum degradation rate, m, is almost constant for a series of heating rates, . Derivation of Equation (3) gives the following expression:
Figure 1.
(a) Plot of the conversion vs. temperature for the degradation of acrylonitrile-butadiene-styrene (ABS) at different heating rates, and (b) plot of the first derivative of with regard to temperature (d/dT) vs. temperature.
Taking into account the definition of the heating rate , as indicated in Equation (4), arranging terms in Equation (36) and considering the definition of in Equation (3), Equation (36) can be written as:
As indicated previously, the Kissinger methods is based on the assumption , therefore, by considering Equation (37) and rearranging terms, the following expressions are obtained:
Then, by taking natural logarithms on both sides of Equation (39), it yields:
For many reaction models, the second term in the right-hand side of Equation (40) is constant [39], thus suggesting that a simple plot of versus 1/Tm, at different heating rates , yields a linear plot whose slope is −Ea/R. If the term is dependent on the heating rate, then the linear relationship cannot be inferred, which represents a limitation of this method [40]. Table 3 summarizes the main results obtained in relation to Tm and the conversion for each Tm value (m). As it can be seen, the conversion at the peak temperature is almost identical with an average value for the different heating rates of 0.531 ± 0.004.
Table 3.
Summary of the thermal parameters corresponding to the temperature for the maximum degradation rate or peak maximum (Tm), and their corresponding conversion (m) and conversion rate (d/dT)m values, for the thermal degradation of recycled ABS at different heating rates .
As one can observe in Figure 2, the correlation between versus 1/Tm is very accurate and it allows for estimating a single value of Ea. In particular, the Ea value obtained was 163.1±1.0 kJ mol−1 with a correlation coefficient r = −0.9998. One of the assumptions of this method is that does not change with . In fact, it is giving Ea at a particular conversion m = 0.531. The Kissinger method gives a reliable value of Ea if m does not change in a significant way with the heating rate, . On the other hand, the systematic error decreases with increase of the reduced temperature x = Ea/RT. In this particular case, x was comprised between 27.40 and 29.95 for the corresponding Tm values. As it has been reported, x values higher than 10 lead to an error of less than 5% in Ea [41,42].
Figure 2.
Plot of versus 1/Tm by applying the Kissinger method corresponding to the degradation of recycled acrylonitrile-butadiene-styrene (ABS) at different heating rates .
On the other hand, due to its simplicity, the Kissinger method can only represent a single-step kinetic process as it is derived from Equation (3). Additional tests are needed to validate the applicability of the Kissinger method. In particular, as indicated by Farjas et al. [43], the peak width of the degradation rate , is a very sensitive parameter to the existence of multiple transformations. As indicated, all the thermo-analytical curves differ by a time scale factor , which can be defined as the inverse of the Arrhenius constant that is shown in Equation (41):
There is a direct relationship between the peak width, measured as the time corresponding to the full width at half maximum (tFWHM) of the curve that is shown in Figure 3a, and the time scale factor corresponding to the peak temperature (Tm), m (Equation (42)).
where represents the full width at half maximum of a curve obtained when time is normalized to = 1. Therefore, depends only on the reaction model and is a constant value, as reported by Farjas et al. [43] Then, substituting in Equation (42), applying natural logarithms and rearranging terms, Equation (42) results in Equation (43), which suggests a linear relationship between and 1/Tm. If ABS degradation follows a single-step kinetic process, then the Ea value obtained by Equation (43) must be similar or identical to that obtained by the Kissinger method. Otherwise, the assumptions of the Kissinger method would not be appropriate for this particular system.
Figure 3.
(a) Graphical explanation of the time corresponding to the full width at half maximum () for the kinetic degradation of recycled ABS obtained from the vs. T curve at a constant heating rate of 15 K min−1. (b) Plot of vs. 1/Tm to check the occurrence of a single-step degradation process.
The Ea value obtained after the linear fit between vs. 1/Tm at different heating rates was 163.7 ± 1.1 kJ mol−1, which is in total agreement with the Ea value obtained by applying the Kissinger method. Then, it can be concluded that ABS degradation occurs in a single-step process and the assumptions of the Kissinger method are appropriate, thus giving a reliable Ea value.
Although the premises of the Kissinger method have been checked and the Ea value was accurate, it represents the Ea for a particular conversion m = 0.531. To evaluate the possible changes in the reaction model during the conversion, isoconversional methods were applied at different conversion values, since they can give much more information about the variability (or not) of Ea with the conversion, . Figure 4 shows the typical linear fit plots corresponding to different isoconversional methods, both differential and integral. For all the four methods, isoconversional values ranged between = 0.05 and = 0.95 at an increasing step of = 0.05. Figure 4a shows the linear fits in the above mentioned range according to the Friedman method, which is a differential method. In contrast to the integral methods, which rely on some approximation of the temperature integral, the Friedman method seems to be more accurate, since it does not need any approximation. By using the Friedman method (see Equation (11)), the slope of the linear fit corresponds to −Ea/R. The average Ea obtained by the Friedman method was 162.9 ± 1.3 kJ mol−1, which indicates a very low variability of Ea with . All the Pearson’s correlation coefficients for the linear fits were at least −0.9995. This narrow value of Ea, however, does not necessarily means that ABS degradation is a simple degradation process. In fact, it is a complex process consisting of numerous overlapped consecutive and competitive reactions, though the overall process can be considered as a single-step process with unique leading “apparent” activation energy.
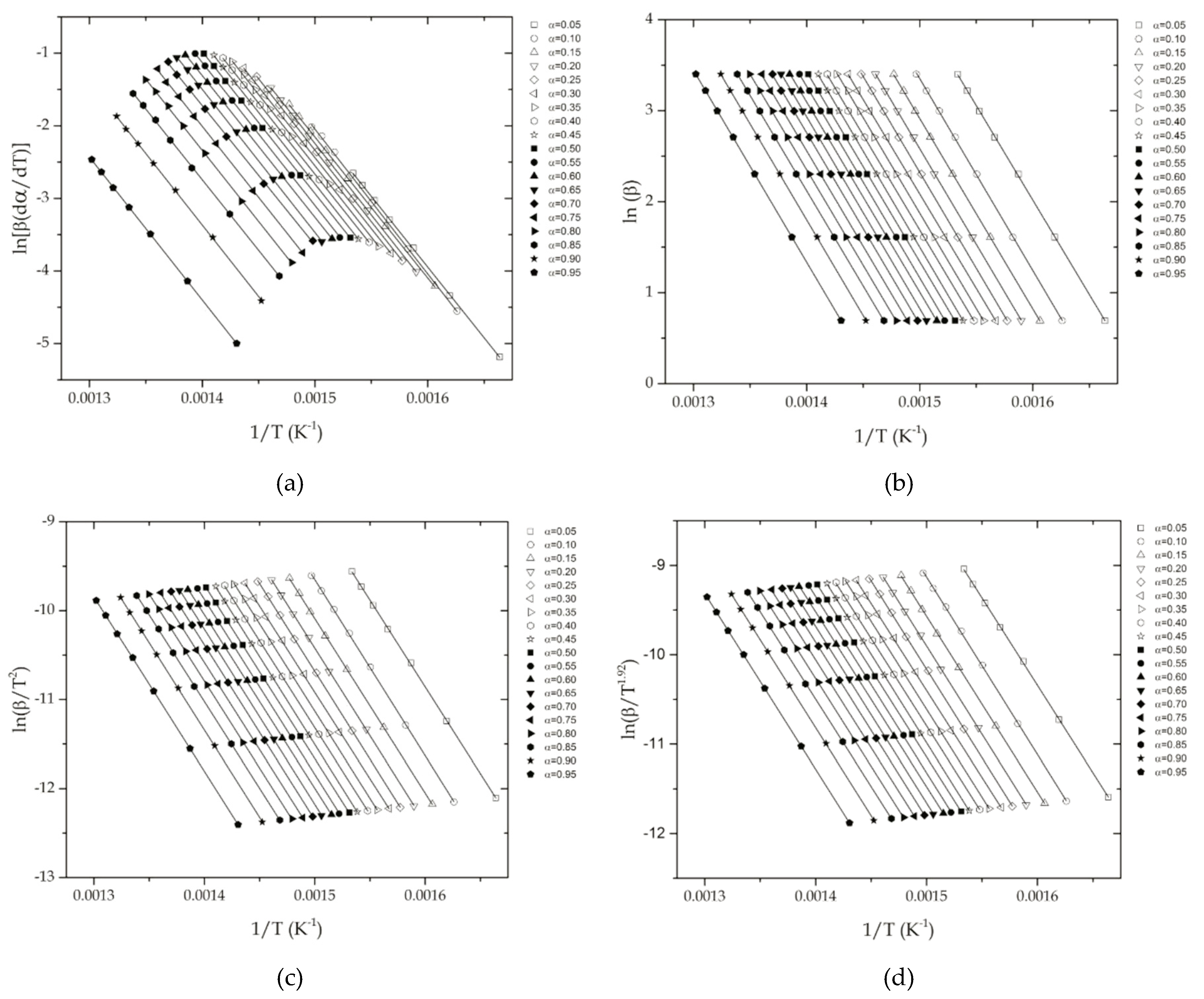
Figure 4.
Linear plots corresponding to fitting of experimental data in isoconversional conditions: (a) Friedman method showing a plot of vs. 1/T; (b) Flynn-Wall-Ozawa (FWO) method showing a plot of vs. 1/T; (c) Kissinger-Akahira-Sunose (KAS) method showing a plot of 1/T; and (d) Starink method showing a plot of vs. 1/T.
As previously indicated, differential methods do not need any approximation, so that in the first instance they could seem more accurate than integral methods. Nevertheless, the application of these methods to integral data, such as those obtained by TGA, involves calculating the first derivative by numerical methods, with the corresponding inaccuracy being due to its noisy signal. With regard to integral methods, although they use more or less accurate approximations of the temperature integral, they can help in obtaining reliable values for Ea [44]. As indicated by Nikolaidis et al. [45], application of differential and integral methods usually gives differences in Ea but the integral methods become more accurate as the accuracy of the temperature integral increases. The FWO is one of the widely used integral methods, though it uses a quite rude approximation of the temperature integral. As indicated in Equation (19), by using the FWO method, the linear fit of vs. 1/T yields a straight line whose slope is −1.052 Ea/R. Using this equation, the average Ea obtained was 165.7 ± 0.8 kJ mol−1 (with good Pearson’s correlation factor r of at least −0.9998), which is in total accordance with the previous results. As the FWO method uses a quite rude approximation of the temperature integral, different corrections have been proposed [24,46,47,48]. As indicated by Venkatesh et al. [49], the Doyle’s approximation can lead to an error of more than 10% in the Ea values. If Ea is independent of the conversion , the FWO method gives similar values to those obtained by the Friedman method. As pointed out by Flynn [48], the error related to the Doyle’s approximation is less than 1% for reduced temperature values, x = Ea/RT, comprised between 21 and 81. The reduced temperature values x for the average temperatures corresponding to an isoconversional value at different heating rates were between 27 (iso = 0.95) and 31 (iso = 0.05), so that the expected error in the FWO method was less than 1%. By applying the corrections described by Flynn [48], the corrected activation energy Ea was 163.4 ± 0.8 kJ mol−1, which is close to the value given by the Friedman method. The KAS method (Figure 4c) uses a more accurate solution for the temperature integral, thus, in a first instance it gives more accurate values. In a similar way to the above-mentioned methods, the KAS gave an almost independent Ea value with the conversion , with an average value of Ea of 163.0 ± 0.8 kJ mol−1, with r values close to −0.9999 for all isoconversional values considered. The value obtained for Ea is in total agreement with the previous values reported by the Friedman method and it is almost the same value than that obtained by using the Starink method, which uses an even better approximation for the temperature integral. In fact, the linear fits using the Starink method (Figure 4d) resulted in an average value of Ea = 163.3 ± 0.8 kJ mol−1 (r values equal or better than −0.9998), thus giving more consistency to the previous differential and integral methods. In addition, the non-dependency observed for Ea with the conversion suggests that although the degradation reactions could be quite complex, the overall degradation takes place in a single-step process, and then all the assumptions that have been previously made with the different methods lead to coherent values.
It is not easy to elucidate the reaction model by using isoconversional methods. Huang [50] used the Coats and Redfern integral method with different g() functions and this allowed an approach to the reaction model. Nevertheless, in the last years, with the development of advanced computational methods, new approaches have been proposed. One of them is the so-called Combined Kinetic Analysis (CKA) proposed by Criado-Maqueda [33,35,51,52,53,54,55]. This method makes it possible to obtain the Ea value by assuming a general expression for f and maximizing the linear fit between as a function of 1/T as indicated in Equation (27). As the slope of these linear fits is negative, then the goal has been minimizing the Pearson’s correlation factor (r) by varying the n and m exponents. The results obtained by using this optimization process are summarized in Table 4. It is worthy to note that the linear fit has been applied in a wide conversion range, comprised between = 0.01 and = 0.99, and the optimization procedure was possible by using the “minimize” function in MathCad 15 from PTC (Boston, MA, USA).
Table 4.
Summary of the main parameters of the Combined Kinetic Analysis (CKA) of the thermal degradation of recycled ABS as indicated in Equation (27).
Figure 5 shows the typical plots, which suggest an excellent linear fit (r = −1.0000) between the combination of experimental data and a generic mathematical expression that covers almost all potential reaction models in thermally activated processes (). It is worthy to note that the average Ea obtained by Combined Kinetic Analysis (CKA) is very similar to those obtained with the previous methods (Ea = 163.7 ± 0.2 kJ mol−1). Although the use of this modified Sestak-Berggren equation (Equation (26)) is only considered for mathematical purposes, the obtained results for n = 1.4926 ± 0.0005 and m = 0.0032 ± 0.0009 suggest that the (1−)n term of this mathematical expression contributes in a major extent than the term. Therefore, although this method is based only on a mathematical expression that covers all the possible (or a wide variety of) reaction models, it can also suggest the reaction model for the thermal degradation of recycled ABS. One can considerer the nth reaction model as the main reaction model. The extremely low SD obtained for Ea, is also representative for its independency from the heating rate, , which indicates increased consistency to the assumptions of the model, and subsequently, the obtained results are representative. In fact, the Ea value given by the CKA is within the same range of all isoconversional methods and the Kissinger method as well.
Figure 5.
Linear fits corresponding to the Combined Kinetic Analysis (CKA) of the thermal degradation of recycled acrylonitrile-butadiene-styrene (ABS) at different heating rates, , using Equation (27).
4.2. Determination of the Reaction Model of the Thermal Degradation of ABS
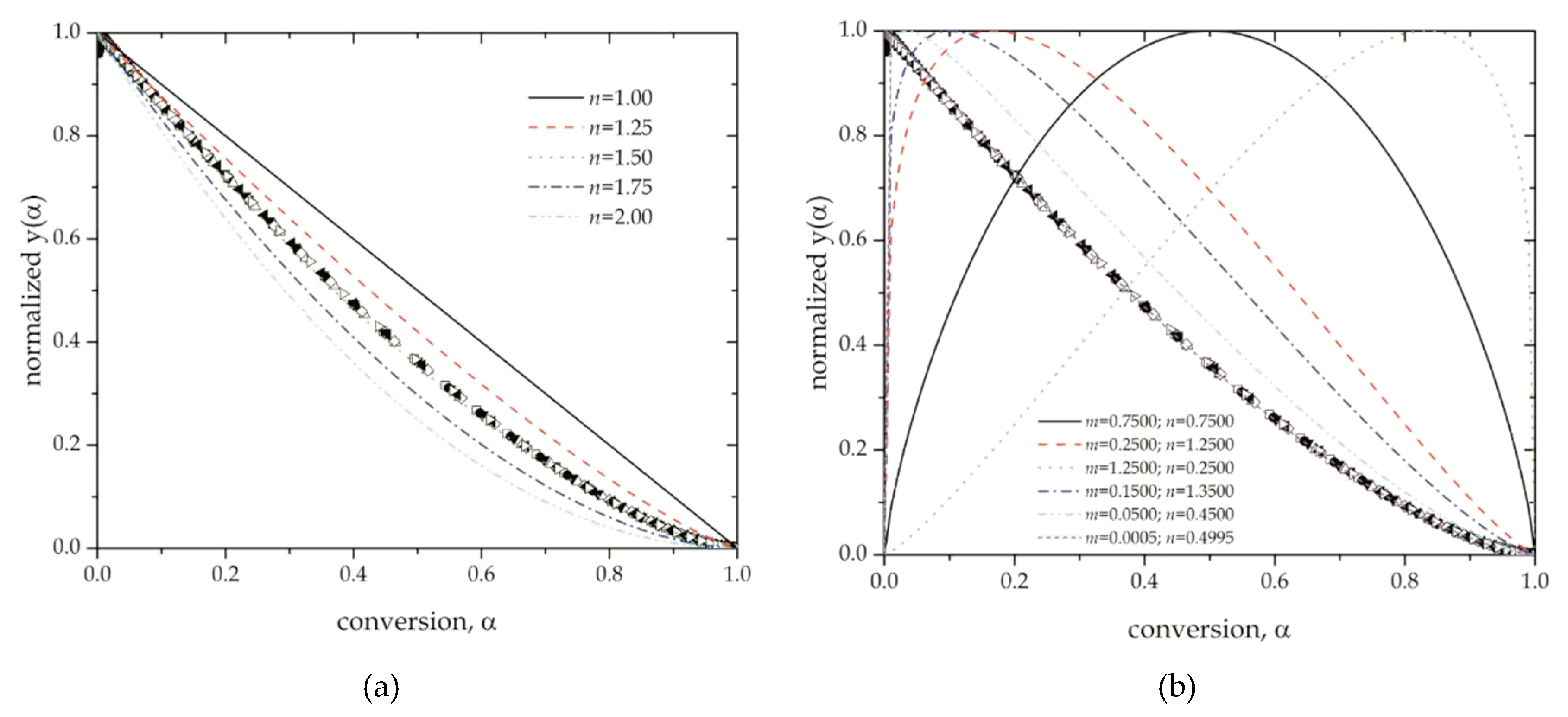
As previously indicated, all the above-mentioned methods give coherent and almost identical Ea values from different approaches. Nevertheless, one step beyond includes determining the remaining kinetic parameters to give a complete kinetic triplet (Ea, A, f) that will be helpful to predict the thermal degradation of recycled ABS and also to check the accuracy between the experimental data and the values predicted by the given kinetic model. To this end, the Criado-Maqueda method [17,56,57,58] was employed. This considers a comparison of the calculated and plots with several well-known reaction models. For this purpose, and were calculated as indicated in Equations (28) and (34), respectively. These functions have been calculated for each heating rate and are shown in Figure 6 and Figure 7. As it can be seen in Figure 6, corresponding to curve plots, the maximum for this plot is close to 0 and its geometry suggests a nth order reaction model. Moreover, the different curves for the different heating rates are almost coincident; suggests a nth reaction model and the plot of corroborates this, as can be seen in Figure 7. For a nth order reaction model, the maximum for the plot, is located at [59], which resulted in an average theoretical n value of 1.4810 by using the values described in Table 5.
Figure 6.
Calculated functions for the thermal degradation of recycled acrylonitrile-butadiene-styrene (ABS) at different heating rates as a function of the conversion, , using Equation (28).
Figure 7.
Calculated functions for the thermal degradation of recycled acrylonitrile-butadiene-styrene (ABS) at different heating rates , as a function of the conversion, , using Equation (34).
Table 5.
Experimental values corresponding to the maximum of the calculated and plots for the thermal degradation of recycled ABS at different heating rates.
By assuming a nth order reaction model, with f = (1−)n, both the reaction order and ln A values can be simultaneously obtained by linear fit of ln as a function of ln(1−). In fact, the slope of this linear fit corresponds to the reaction order n, while the slope represents ln A. In addition to the nth reaction order, the conditions for an autocatalytic process are covered by the calculated and plots with > 0 and > , using the characteristic peak values shown in Table 5. For this reason, the n and m values of the autocatalytic reaction model were calculated by the non-linear fitting of ln as a function of the conversion (curve fitting to k + m ln + n ln(1−)). Table 6 summarizes the results obtained for both reaction models and their corresponding fitting processes. Application of both reaction models suggests that the nth order reaction model is the best. In fact, when the autocatalytic reaction model is applied, the autocatalytic exponent, m was very low. This can be clearly observed in Figure 8, which shows a comparison of the calculated functions for different heating rates with different normalized master plots. Figure 8a shows a comparison with typical master plots of the nth order reaction model with different n values from 1.00 (linear) to 2.00 (curved line). The master plot for n = 1.5 gave high coincidence with the calculated plots. With regard to the autocatalytic master plots, Figure 8b shows different exponent combinations (with n + m = 1.5). As one can observe, if n = m, the maximum is located at a conversion of 0.5. If m > n, the maximum is moved to higher values thus indicating prevalence of the autocatalytic term. On the contrary, if m < n, the maximum is displaced to lower values, thus indicating a minor effect of the autocatalytic contribution. As m becomes lower (e.g., n = 1.4995, m = 0.005), the characteristic plot looks like the typical master plot of the nth order reaction model.
Table 6.
Main kinetic parameters obtained for the thermal degradation of recycled ABS by using the nth order (linear fit) and the autocatalytic (non-linear curve fit) reaction models obtained for different heating rates.
Figure 8.
Comparison of calculated plots with the master plots corresponding to (a) the nth order reaction model and (b) the autocatalytic reaction model, with different exponent parameters. Normalized functions for different heating rates : □ 30 K min−1, ● 25 K min−1, △ 20 K min−1, ▼ 15 K min−1, ◇ 10 K min−1, ◀ 5 K min−1, and ▻ 2 K min−1.
Once the kinetic triplet was obtained, integration of the conversion rate with the corresponding parameters was carried out and its results are shown in Figure 9. The integration was carried out in Mathcad using the fourth-order Runge-Kutta fixed-step method for both nth order and autocatalytic model. Figure 9a shows a comparison plot of the experimental data and theoretical (model) curves obtained by integration of the kinetic model using the nth reaction model with average values obtained from Table 6: n = 1.4950 ± 0.0002, ln A = 27.5410 ± 0.0011. Regarding the autocatalytic model (actually a nth order model too), the average parameters used for the integration were: n = 1.4939 ± 0.0002, m = 0.0050 ± 0.0009, and ln A = 27.5654 ± 0.0009. As it can be seen, there is very good accuracy of the experimental data with both models (actually, the nth order reaction model since the autocatalytic model has a very low contribution of the autocatalytic component).
Figure 9.
Comparison of experimental data (symbols) and model prediction (lines) with the calculated kinetic triplet for the thermal degradation of recycled acrylonitrile-butadiene-styrene (ABS) at different heating rates : □ 30 K min−1, ● 25 K min−1, △ 20 K min−1,▼ 15 K min−1, ◇ 10 K min−1, ◀ 5 K min−1, and ▻ 2 K min−1. Considering different reaction models (a) nth order and (b) autocatalytic.
5. Conclusions
This work shows a systematic kinetic study of the thermal degradation of recycled ABS in nitrogen atmosphere. The obtained data by dynamic TGA at different heating rates, comprised between 2 and 30 K min−1, were used to apply different model-free kinetic methods (MFK) based on the isoconversional principle. With regard to the differential methods, the Friedman approach gave an Ea value of 162.9 ± 1.3 kJ mol−1, which is quite similar to those obtained by applying several integral methods, such as FWO (Ea = 163.4 ± 0.8kJ mol−1), KAS (Ea = 163.0 ± 0.8 kJ mol−1), and the Starink method (Ea = 163.3 ± 0.8 kJ mol−1). In addition, the variation of Ea with the conversion was almost negligible, thus suggesting the degradation process of ABS takes place in a single-step process. A different approach obtained by CKA gave an Ea value of 163.7 ± 0.2 kJ mol−1, which is in total agreement with other isoconversional methods, thus giving clear evidence of the consistency of the CKA method. Once the consistency of the Ea values was confirmed, the other kinetic parameters were obtained by calculating the and characteristic plots and comparing them with the master curve plots. Both and plots suggested a nth order reaction model. Then, both n and ln A were obtained by linear fitting resulting in n = 1.4950 ± 0.0002 and ln A = 27.5410 ± 0.0011 (A in min−1). Therefore, an excellent agreement between the experimental data and the values predicted by the kinetic model was found. In addition, the autocatalytic reaction model was tested, and the corresponding n and m exponents were: n = 1.4939 ± 0.0002, m = 0.0050 ± 0.0009, and ln A = 27.5654 ± 0.0009. These results indicated that the autocatalytic component has a very low contribution in the reaction model (extremely low m values) and it also corroborated the good agreement with a simple nth order reaction model.
Author Contributions
Conceptualization was devised by R.B.; methodology, validation, and formal analysis was carried out by L.Q.-C., N.M., D.G.-S., R.B., and S.T-G.; investigation, resources, data curation, and writing—original draft preparation was performed by R.B. and N.M.; writing—review and editing, R.B.,L.Q.-C, D.G.-S., and S.T.-G.; supervision, R.B. and S.T.-G.; project administration R.B.
Acknowledgments
This research was supported by the Spanish Ministry of Economy and Competitiveness (MINECO) program numbers MAT2017-84909-C2-2-R. L.Q.-C. wants to thank the Generalitat Valenciana (GVA) for his FPI grant (ACIF/2016/182) and the Spanish Ministry of Education, Culture, and Sports (MECD) for his FPU grant (FPU15/03812), while S.T.-G. is a recipient of a Juan de la Cierva – Incorporación contract (IJCI-2016-29675) from MINECO.
Conflicts of Interest
The authors declare no conflict of interest.
References
- Scaffaro, R.; Botta, L.; Di Benedetto, G. Physical properties of virgin-recycled abs blends: Effect of post-consumer content and of reprocessing cycles. Eur. Polym. J. 2012, 48, 637–648. [Google Scholar] [CrossRef]
- Tiganis, B.E.; Burn, L.S.; Davis, P.; Hill, A.J. Thermal degradation of acrylonitrile-butadiene-styrene (abs) blends. Polymer Degrad. Stab. 2002, 76, 425–434. [Google Scholar] [CrossRef]
- Niemczyk, A.; Dziubek, K.; Sacher-Majewska, B.; Czaja, K.; Czech-Polak, J.; Oliwa, R.; Lenza, J.; Szolyga, M. Thermal stability and flame retardancy of polypropylene composites containing siloxane-silsesquioxane resins. Polymers 2018, 10. [Google Scholar] [CrossRef]
- Chieng, B.W.; Ibrahim, N.A.; Yunus, W.M.Z.W.; Hussein, M.Z. Poly(lactic acid)/poly(ethylene glycol) polymer nanocomposites: Effects of graphene nanoplatelets. Polymers 2014, 6, 93–104. [Google Scholar] [CrossRef]
- Zhang, X.; Wu, Y.; Chen, X.; Wen, H.; Xiao, S. Theoretical study on decomposition mechanism of insulating epoxy resin cured by anhydride. Polymers 2017, 9. [Google Scholar] [CrossRef]
- Ramesh, V.; Biswal, M.; Mohanty, S.; Nayak, S.K. Compatibilization effect of eva-g-mah on mechanical, morphological and rheological properties of recycled pc/abs blend. Mater. Express 2014, 4, 499–507. [Google Scholar] [CrossRef]
- Kuram, E.; Ozcelik, B.; Yilmaz, F.; Timur, G.; Sahin, Z.M. The effect of recycling number on the mechanical, chemical, thermal, and rheological properties of pbt/pc/abs ternary blends: With and without glass-fiber. Polym. Compos. 2014, 35, 2074–2084. [Google Scholar] [CrossRef]
- Balart, R.; Lopez, J.; Garcia, D.; Salvador, M.D. Recycling of abs and pc from electrical and electronic waste. Effect of miscibility and previous degradation on final performance of industrial blends. Eur. Polym. J. 2005, 41, 2150–2160. [Google Scholar] [CrossRef]
- Khatri, B.; Lappe, K.; Habedank, M.; Mueller, T.; Megnin, C.; Hanemann, T. Fused deposition modeling of abs-barium titanate composites: A simple route towards tailored dielectric devices. Polymers 2018, 10. [Google Scholar] [CrossRef]
- Hart, K.R.; Wetzel, E.D. Fracture behavior of additively manufactured acrylonitrile butadiene styrene (abs) materials. Eng. Fract. Mech. 2017, 177, 1–13. [Google Scholar] [CrossRef]
- Vila Ramirez, N.; Sanchez-Soto, M. Effects of poss nanoparticles on abs-g-ma thermo oxidation resistance. Polym. Compos. 2012, 33, 1707–1718. [Google Scholar] [CrossRef]
- Duh, Y.-S.; Ho, T.-C.; Chen, J.-R.; Kao, C.-S. Study on exothermic oxidation of acrylonitrile-butadiene-styrene (abs) resin powder with application to abs processing safety. Polymers 2010, 2, 174–187. [Google Scholar] [CrossRef]
- Catelli de Souza, A.M.; Cucchiara, M.G.; Ereio, A.V. Abs/hips blends obtained from weee: Influence of processing conditions and composition. J. Appl. Polym. Sci. 2016, 133. [Google Scholar]
- Polli, H.; Pontes, L.A.M.; Araujo, A.S.; Barros, J.M.F.; Fernandes, V.J., Jr. Degradation behavior and kinetic study of abs polymer. J. Therm. Anal. Calorim. 2009, 95, 131–134. [Google Scholar] [CrossRef]
- Suzuki, M.; Wilkie, C.A. The thermal-degradation of acrylonitrile-butadiene-styrene terpolymer as studied by tga/ftir. Polym. Degrad. Stab. 1995, 47, 217–221. [Google Scholar] [CrossRef]
- Sanchez-Jimenez, P.E.; Perez-Maqueda, L.A.; Perejon, A.; Criado, J.M. A new model for the kinetic analysis of thermal degradation of polymers driven by random scission. Polym. Degrad. Stab. 2010, 95, 733–739. [Google Scholar] [CrossRef]
- Perejon, A.; Sanchez-Jimenez, P.E.; Gil-Gonzalez, E.; Perez-Maqueda, L.A.; Criado, J.M. Pyrolysis kinetics of ethylene-propylene (epm) and ethylene-propylene-diene (epdm). Polym. Degrad. Stab. 2013, 98, 1571–1577. [Google Scholar] [CrossRef]
- Carrasco, F.; Perez-Maqueda, L.A.; Sanchez-Jimenez, P.E.; Perejon, A.; Santana, O.O.; Maspoch, M.L. Enhanced general analytical equation for the kinetics of the thermal degradation of poly(lactic acid) driven by random scission. Polym. Test. 2013, 32, 937–945. [Google Scholar] [CrossRef]
- Perez-Maqueda, L.A.; Sanchez-Jimenez, P.E.; Perejon, A.; Garcia-Garrido, C.; Criado, J.M.; Benitez-Guerrero, M. Scission kinetic model for the prediction of polymer pyrolysis curves from chain structure. Polym. Test. 2014, 37, 1–5. [Google Scholar] [CrossRef]
- Luda di Cortemiglia, M.P.; Camino, G.; Costa, L.; Guaita, M. Thermal degradation of abs. Thermochim. Acta 1985, 93, 187–190. [Google Scholar] [CrossRef]
- Day, M.; Cooney, J.D.; Mackinnon, M. Degradation of contaminated plastics—A kinetic-study. Polym. Degrad. Stab. 1995, 48, 341–349. [Google Scholar] [CrossRef]
- Balart, R.; Sanchez, L.; Lopez, J.; Jimenez, A. Kinetic analysis of thermal degradation of recycled polycarbonate/acrylonitrile-butadiene-styrene mixtures from waste electric and electronic equipment. Polym. Degrad. Stab. 2006, 91, 527–534. [Google Scholar] [CrossRef]
- Stanko, M.; Stommel, M. Kinetic prediction of fast curing polyurethane resins by model-free isoconversional methods. Polymers 2018, 10. [Google Scholar] [CrossRef]
- Starink, M.J. The determination of activation energy from linear heating rate experiments: A comparison of the accuracy of isoconversion methods. Thermochim. Acta 2003, 404, 163–176. [Google Scholar] [CrossRef]
- Lyon, R.E. An integral method of nonisothermal kinetic analysis. Thermochim. Acta 1997, 297, 117–124. [Google Scholar] [CrossRef]
- Shao, J.; Wang, J.; Long, M.; Li, J.; Ma, Y. 5000 h multi-factor accelerated aging test of frp made transmission tower: Characterization, thermal decomposition and reaction kinetics study. Polymers 2017, 9. [Google Scholar] [CrossRef]
- Doyle, C.D. Kinetic analysis of thermogravimetric data. J. Appl. Polym. Sci. 1961, 5, 285–292. [Google Scholar] [CrossRef]
- Doyle, C.D. Estimating isothermal life from thermogravimetric data. J. Appl. Polym. Sci. 1962, 6, 639–642. [Google Scholar] [CrossRef]
- Flynn, J.H.; Wall, L.A. A quick, direct method for the determination of activation energy from thermogravimetric data. J. Polym. Sci. B: Polym. Lett. 1966, 4, 323–328. [Google Scholar] [CrossRef]
- Ozawa, T. A new method of analyzing thermogravimetric data. Bull. Chem. Soc. Japan 1965, 38, 1881. [Google Scholar] [CrossRef]
- Zhao, S.F.; Zhang, G.P.; Sun, R.; Wong, C.P. Curing kinetics, mechanism and chemorheological behavior of methanol etherified amino/novolac epoxy systems. Express Polym. Lett. 2014, 8, 95–106. [Google Scholar] [CrossRef]
- Kissinger, H.E. Reaction kinetics in differential thermal analysis. Anal. Chem. 1957, 29, 1702–1706. [Google Scholar] [CrossRef]
- Perez-Maqueda, L.A.; Criado, J.M.; Sanchez-Jimenez, P.E. Combined kinetic analysis of solid-state reactions: A powerful tool for the simultaneous determination of kinetic parameters and the kinetic model without previous assumptions on the reaction mechanism. J. Phys. Chem. A 2006, 110, 12456–12462. [Google Scholar] [CrossRef] [PubMed]
- Sestak, J.; Berggren, G. Study of the kinetics of the mechanism of solid-state reactions at increasing temperatures. Thermochim. Acta 1971, 3, 1–12. [Google Scholar] [CrossRef]
- Sanchez-Jimenez, P.E.; Perez-Maqueda, L.A.; Perejon, A.; Criado, J.M. Combined kinetic analysis of thermal degradation of polymeric materials under any thermal pathway. Polym. Degrad. Stab. 2009, 94, 2079–2085. [Google Scholar] [CrossRef]
- Senum, G.I.; Yang, R.T. Rational approximations of integral of arrhenius function. J. Therm. Anal. 1977, 11, 445–449. [Google Scholar] [CrossRef]
- Perez-Maqueda, L.A.; Criado, J.M. The accuracy of senum and yang’s approximations to the arrhenius integral. J. Therm. Anal. Calorim. 2000, 60, 909–915. [Google Scholar] [CrossRef]
- Flynn, J.H. The ‘temperature integral’ - its use and abuse. Thermochim. Acta 1997, 300, 83–92. [Google Scholar] [CrossRef]
- Mianowski, A. The kissinger law and isokinetic effect - part i. Most common solutions of thermokinetic equations. J. Therm. Anal. Calorim. 2003, 74, 953–973. [Google Scholar] [CrossRef]
- Vyazovkin, S.; Burnham, A.K.; Criado, J.M.; Perez-Maqueda, L.A.; Popescu, C.; Sbirrazzuoli, N. Ictac kinetics committee recommendations for performing kinetic computations on thermal analysis data. Thermochim. Acta 2011, 520, 1–19. [Google Scholar] [CrossRef]
- Criado, J.M.; Ortega, A. Nonisothermal crystallization kinetics of metal glasses—Simultaneous determination of both the activation-energy and the exponent-n of the jma kinetic law. Acta Metall. 1987, 35, 1715–1721. [Google Scholar] [CrossRef]
- Criado, J.M.; Ortega, A. Nonisothermal transformation kinetics—Remarks on the kissinger method. J. Non-Cryst. Solids 1986, 87, 302–311. [Google Scholar] [CrossRef]
- Farjas, J.; Butchosa, N.; Roura, P. A simple kinetic method for the determination of the reaction model from non-isothermal experiments. J. Therm. Anal. Calorim. 2010, 102, 615–625. [Google Scholar] [CrossRef]
- Mamleev, V.; Bourbigot, S.; Le Bras, M.; Lefebvre, J. Three model-free methods for calculation of activation energy in tg. J. Therm. Anal. Calorim. 2004, 78, 1009–1027. [Google Scholar] [CrossRef]
- Nikolaidis, A.K.; Achilias, D.S. Thermal degradation kinetics and viscoelastic behavior of poly(methyl methacrylate)/organomodified montmorillonite nanocomposites prepared via in situ bulk radical polymerization. Polymers 2018, 10. [Google Scholar] [CrossRef]
- Flynn, J.H. A general differential technique for the determination of parameters for d(alpha)/dt = f(alpha)a exp(-e/rt)—energy of activation, preexponential factor and order of reaction (when applicable). J. Therm. Anal. 1991, 37, 293–305. [Google Scholar] [CrossRef]
- Sbirrazzuoli, N.; Vincent, L.; Mija, A.; Guigo, N. Integral, differential and advanced isoconversional methods complex mechanisms and isothermal predicted conversion-time curves. Chemom. Intell. Lab. Syst. 2009, 96, 219–226. [Google Scholar] [CrossRef]
- Flynn, J.H. The isoconversional method for determination of energy of activation at constant heating rates—Corrections for the doyle approximation. J. Therm. Anal. 1983, 27, 95–102. [Google Scholar] [CrossRef]
- Venkatesh, M.; Ravi, P.; Tewari, S.P. Isoconversional kinetic analysis of decomposition of nitroimidazoles: Friedman method vs. flynn-wall-ozawa method. J. Phys. Chem. A 2013, 117, 10162–10169. [Google Scholar] [CrossRef]
- Huang, F.-Y. Thermal properties and thermal degradation of cellulose tri-stearate (cts). Polymers 2012, 4, 1012–1024. [Google Scholar] [CrossRef]
- Perez-Maqueda, L.A.; Criado, J.M.; Gotor, F.J.; Malek, J. Advantages of combined kinetic analysis of experimental data obtained under any heating profile. J. Phys. Chem. A 2002, 106, 2862–2868. [Google Scholar] [CrossRef]
- Garcia-Garrido, C.; Perez-Maqueda, L.A.; Criado, J.M.; Sanchez-Jimenez, P.E. Combined kinetic analysis of multistep processes of thermal decomposition of polydimethylsiloxane silicone. Polymer 2018, 153, 558–564. [Google Scholar] [CrossRef]
- Yan, Q.-L.; Zeman, S.; Sanchez-Jimenez, P.E.; Zhao, F.-Q.; Perez-Maqueda, L.A.; Malek, J. The effect of polymer matrices on the thermal hazard properties of rdx-based pbxs by using model-free and combined kinetic analysis. J. Hazard. Mater. 2014, 271, 185–195. [Google Scholar] [CrossRef]
- Yahyaoui, R.; Sanchez Jimenez, P.E.; Perez Maqueda, L.A.; Nahdi, K.; Criado Luque, J.M. Synthesis, characterization and combined kinetic analysis of thermal decomposition of hydrotalcite (Mg6Al2(OH)(16)CO3 center dot 4H(2)O). Thermochim. Acta 2018, 667, 177–184. [Google Scholar] [CrossRef]
- Sanchez-Jimenez, P.E.; Perez-Maqueda, L.A.; Perejon, A.; Criado, J.M. Constant rate thermal analysis for thermal stability studies of polymers. Polym. Degrad. Stab. 2011, 96, 974–981. [Google Scholar] [CrossRef]
- Sanchez-Jimenez, P.E.; Perez-Maqueda, L.A.; Perejon, A.; Criado, J.M. Generalized kinetic master plots for the thermal degradation of polymers following a random scission mechanism. J. Phys. Chem. A 2010, 114, 7868–7876. [Google Scholar] [CrossRef] [PubMed]
- Malek, J.; Koga, N.; Perez-Maqueda, L.A.; Criado, J.M. The ozawa’s generalized time concept and yz-master plots as a convenient tool for kinetic analysis of complex processes. J. Therm. Anal. Calorim. 2013, 113, 1437–1446. [Google Scholar] [CrossRef]
- Perez-Maqueda, L.A.; Ortega, A.; Criado, J.M. The use of master plots for discriminating the kinetic model of solid state reactions from a single constant-rate thermal analysis (crta) experiment. Thermochim. Acta 1996, 277, 165–173. [Google Scholar] [CrossRef]
- Malek, J.; Mitsuhashi, T. Kinetic study of solid-state processes. JAERI Conf. 2003, 1, 149–155. [Google Scholar]
© 2019 by the authors. Licensee MDPI, Basel, Switzerland. This article is an open access article distributed under the terms and conditions of the Creative Commons Attribution (CC BY) license (http://creativecommons.org/licenses/by/4.0/).









