Abstract
Quantum discord and entanglement are both criteria for distinguishing quantum correlations in a quantum system. We studied the effect of the transverse magnetic field on the quantum discord of the one-dimensional spin-1/2 XX model. This study focused on the pair of spins at different distances. We show that quantum discord is finite for all studied spin pairs in the Luttinger liquid phase. In addition, relying on our calculations, we show that the derivatives of quantum discord can be used to identify the border between entangled and separable regions in the Luttinger liquid phase.
1. Introduction
There is currently no doubt about the existence of quantum correlations in nature. In particular, entanglement is a quantum phenomenon in which the quantum states of two or more objects have to be described with reference to each other, even though the individual objects may be spatially separated [1,2,3]. Since entanglement cannot describe all quantum correlations among different constituents of a quantum system, another quantity named quantum discord (QD) was introduced in 2001 [4,5]. QD can measure the quantum nature of correlations including entanglement. It is defined as the difference between equivalent classical expressions of conditional entropy in the quantum realm. However, after the appearance of QD, entanglement was not put aside. On the one hand, some entangled states that violate a Bell inequality are still necessary for some quantum computing processes [6]. On the other hand, QD is a resource for preparing a quantum remote state [7]. Therefore, the study of the nature of both these quantum correlations has attracted a lot of interest in condensed matter physics. One of the crucial questions raised in this field is: How can the persistence of quantum correlations between particles increase in a many-body system? It is known that, in such a system, quantum correlations depend on the interactions between particles and on the effect of the environment [8,9,10]. Applying a magnetic field as an external parameter to a quantum system usually has a destructive effect on the quantum correlations but there are some systems for which quantum correlations between their constituents can be strengthened by increasing a magnetic field. Moreover, thermal quantum correlations can be inferred from the macroscopic variables detected experimentally [11,12,13]. Hence, many attempts have been dedicated to studying the effect of both magnetic field and temperature parameters on quantum correlations.
In the study of the quantum correlations, nearest neighbour spins are often considered. Recently, the observation of entanglement between different individual spin pairs in a one-dimensional many-body quantum system of trapped ions has been reported [14]. This work shows that the experimental measurement of quantum correlations between different neighbouring spins in many-body quantum systems is possible. It has also been recently demonstrated that an entangled pair of spins separated by several lattice spacings within a spin chain can be a suitable candidate for application in quantum information processing [15]. Furthermore, in Ref. [16,17], it has been shown that Heisenberg chains can be employed for solid state quantum computers [16] and, in Ref. [18], XXZ chains have been used to describe quantum computers based on nuclear magnetic resonance (NMR).
The objective of this paper is to extend the studies on quantum correlations of a one-dimensional XX model in the presence of a transverse magnetic field. First, it is instructive to review the main features of the spin-1/2 XX chain in the presence of a transverse magnetic field. Its Hamiltonian is given by
where is the spin-1/2 operator at jth site, denotes the antiferromagnetic exchange coupling and h is the external magnetic field. The ground state phase diagram of the system shows a gapless Luttinger liquid (LL) phase in the region . At the critical transverse magnetic field , a second order quantum phase transition occurs and the system goes into a saturated ferromagnetic phase. From the experimental point of view, many compounds with the common Heisenberg structure are well described by the spin-1/2 XX model [19,20,21,22,23]. In addition, a system of spin-1/2 with XX interaction can also be used as two coupled quantum dots [16,24,25]. Hence, it can be theoretically applicable to quantum computing. Therefore, many efforts have been devoted to the exploration of important features of the XX model [16,24,25,26,27]. Since the Hamiltonian of this model is exactly solvable, its theoretical study has crucial importance. Regarding the LL region in the phase diagram of the spin-1/2 XX chain, it can be split into two parts according to the study of quantum correlations [28]. The nearest neighbour spins are entangled in the LL phase [3]. Increasing the magnetic field reduces the entanglement between the nearest neighbour pair of spins until the spins become completely disentangled for magnetic fields larger than the quantum critical field, . In addition to the nearest neighbour spin pairs [29], the zero-temperature entanglement between two spins at arbitrary distances in the spin-1/2 XX chains has been studied analytically and numerically [28,30,31,32,33]. In the absence of magnetic field, non-nearest neighbour pairs are not entangled. They remain unentangled until the magnetic field reaches a critical value called “entanglement field” (shown by ), which depends on the distance between the given pair of spins [28]. The entanglement of formation (EF) between spin pairs at arbitrary distance acquires a finite value around , even if such distance reaches the system size [31]. The scaling behaviour of the quantum correlations between a pair of spins at farther distances in the XX chain has also been investigated [30,33]. In a very recent paper [34], QD between non-nearest spin pairs up to the fourth neighbour has also been investigated as well as entanglement. Contrary to entanglement, QD is non-zero in all parts of LL region for further spin pairs as well as for the nearest neighbour pairs. It has been found that the QD between the spin pairs positioned at distances further than two lattice spacing reveals a quantum phase transition [33,34]. Additionally, the quantum discord may increase as a function of both temperature and magnetic field in certain regions of the parameter space of the problem [35]. The idea behind this study of QD in spin-1/2 XX chain is to investigate if it can distinguish the quantum correlations with separable states from the entangled ones in the LL phase. In other words, we answer the question if QD can help us identify the entanglement field.
In this paper, we reproduce analytic expressions for EF and QD among the nearest, second, third and fourth neighbour pair of spins, which hereafter we refer to as NN, 2N, 3N, and 4N, respectively (and so on), at zero temperature using an analytical Fermionisation technique. It is shown that both EF and QD have a finite value in the vicinity of the critical field, even if the distance between spin pairs reaches the system size. Our results on QD and EF are in agreement with what is reported in Ref. [34]. Nevertheless, the focus of our results is on the different behaviour of QD derivatives at entanglement field. It is shown that, in addition to EF, the derivatives of QD have a unique behaviour at .
This paper is organised as follows. Diagonalisation of spin-1/2 XX chain and calculation of the reduced density matrix for a pair of arbitrary spins in the chain are topics addressed in the next section. In Section 3, the details of the calculation of QD are presented. In Section 4, the results obtained are discussed. Finally, the concluding remarks are presented in Section 5.
2. Pairwise Reduced Density Matrix
The Hamiltonian of one-dimensional spin-1/2 XX model (Equation (1)) can be exactly diagonalised through the Jordan–Wigner transformation [36]. Applying this transformation
the XX chain Hamiltonian is mapped onto a one-dimensional free Fermion system
where and a represent creation and annihilation Fermionic operators, respectively. Using a Fourier transformation, , the Hamiltonian can be diagonalised in momentum space as
where the dispersion relation, , is given by
The Fermi points are given by and the ground state corresponds to the configuration where all the states with and are filled and others are empty.
The quantum correlations between two spins at sites i and j can be calculated through the corresponding reduced density matrix of a pair of spins placed on arbitrary i and j sites
where are projectors in states with and . The brackets symbolise the expectation value on the ground state. By applying the Jordan–Wigner transformation, the reduced density matrix can be shown to have the form [28]
where in terms of the Fermion operators the elements of the above matrix for are given by [28]
with . These matrix elements may be computed in the ground state or in a thermal state using Wick’s theorem. Here, we study the QD and EF among NN, 2N, 3N, and 4N pair of spins. For these cases, the expectation values of and are given as follows
where are given in the ground state for a positive integer number and as
respectively.
3. Quantum Discord
According to classical information theory, the classical correlations between two subsystems can be quantified by the classical mutual information. The corresponding notion of quantum mutual information was introduced by Groisman et al., for a bipartite quantum system [37]. Such concept contains the total amount of information, both classical and quantum. The classical information of a quantum system can be obtained through local measurement without perturbing the state of the system. On the other hand, the quantum part refers to that information cannot be extracted by the measuring of the state of the system. Hence, quantum information known as QD is a convenient indicator of quantum character of the correlations [4]
where and denote the quantum mutual information and classical information of the given spin pairs, respectively. The quantum mutual information is given by the expression [38]:
with
being the von Neumann entropy of each considered spin at sites i and where the new variables are related to the elements of the density matrix by
s are the eigenvalues of in Equation (13)
The value of the classical information between a pair of spins located at sites i and is defined as
where one introduces a set of projectors for the local measurement on spin given by with probability . represents the set of projectors on the computational basis and for each of the sites i and . In addition, is parameterised as
where and , which can be interpreted as the azimuthal and polar angles of a qubit over the Bloch sphere, respectively. After the measurement , the physical state of the spin pairs will change to one of the following states [38]
where
Finally, the classical correlations for the spin pair located at distance m from each other will be given by
One should note that at the critical magnetic field the function will be zero for . Hence, the QD between all spin pairs vanishes and remains zero in the saturated ferromagnetic phase.
4. Results
In this section, we focus on the QD relying on its difference with entanglement in the spin-1/2 XX chain. In this respect, we use the EF concept between a pair of spins placed at distance m and defined as the binary entropy
where is a function of concurrence, [29] where , , and are the reduced density matrix elements introduced in Equation (7).
When entanglement is vanishing, QD may still be non-zero. Achieving a higher fidelity of separable states in the remote state preparation in comparison to entangled states might make the using of the separable states with non-zero quantum correlation as an applicable approach for quantum-enhanced applications [7].
Here, we report our numerical results, based on the analytical approach, of the QD and EF between spin pairs located at distances obtained by at absolute zero temperature. It is assumed without any loss of generality in the XX chain Hamiltonian (Equation (1)).
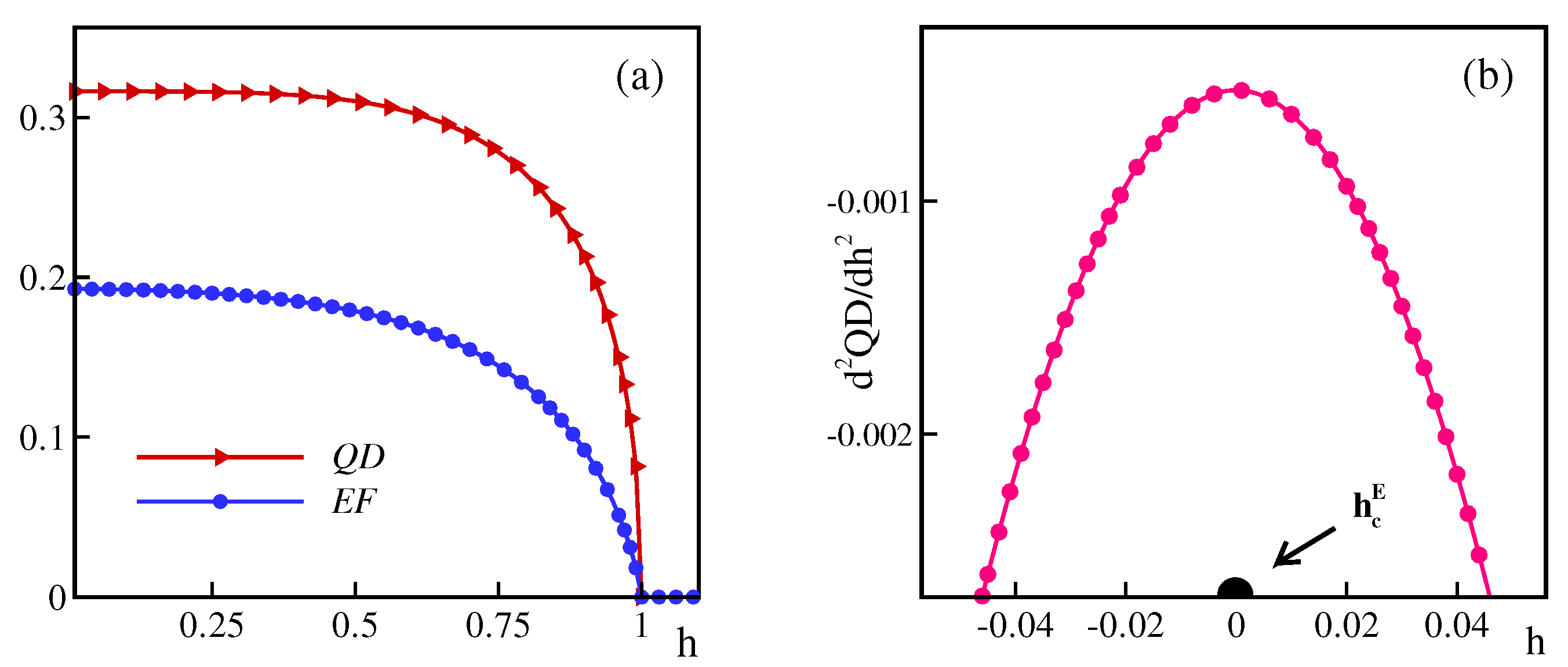
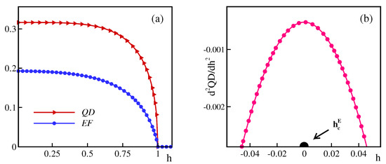
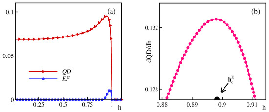
First, we have calculated the QD and EF as a function of the magnetic field at zero temperature between nearest neighbouring pair of spins. Both quantities are depicted in Figure 1a. As shown in Figure 1a, both QD and EF are finite in the absence of magnetic field, monotonically decrease in the LL phase and, finally, vanish at the critical field, , simultaneously.
Figure 1.
(a) Magnetic field dependence of QD and EF; and (b) second derivative of the QD in the vicinity of for the NN pair of spins at zero temperature.
In Ref. [28], we introduced the notion of the entanglement field, namely the value of the magnetic field above which a given pair of spins is entangled. In fact, the entanglement field divides the LL region into two separable and entangled parts. It can be conjectured from our numerical analysis that the general formula of for two spins at distance of m sites apart is: . This formula can reproduce with a good precision our exact numerical results of for NN, 2N, 3N, and 4N, respectively. A question that one may ask is: Does QD show a change of behaviour at such point as well? In this respect, we study the derivatives of QD in the vicinity of .
For the nearest neighbour pairs, the entanglement field is . Although there is no notable trend in the first derivative of QD around the entanglement field, the second derivative of QD shows different behaviour in the entanglement field neighbourhood. Figure 1b shows the second derivative of QD in the vicinity of the entanglement field. Interestingly, it has a maximum value at .
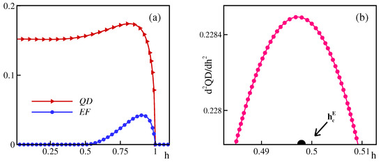
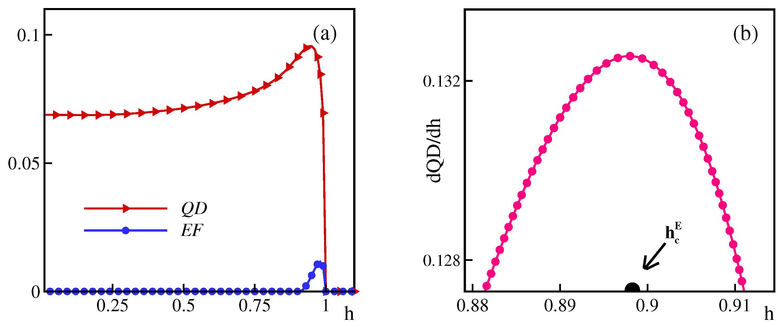
Secondly, we have calculated the QD and EF of the 2N pair of spins as a function of the magnetic field at zero temperature. In Figure 2a, one can easily see that the ground state is in the correlated separable state up to the . By further increasing the magnetic field, the entanglement of a spin with its second neighbour increases to a maximum value before decreasing to zero at . Concerning QD, it is smoothly increasing around entanglement field in the first half part of LL phase. For values of , QD’s rate of growth increases so that it also reaches its maximum value in the vicinity of the critical field and settles to zero at , similar to EF.
Figure 2.
(a) Ground state of QD and EF; and (b) second derivative of the QD in the vicinity of , versus magnetic field for the 2N pair of spins.
As shown in Figure 2b, the second derivative of QD has a peak at for the 2N pair of spins, as already observed in the case of NN spin pairs.
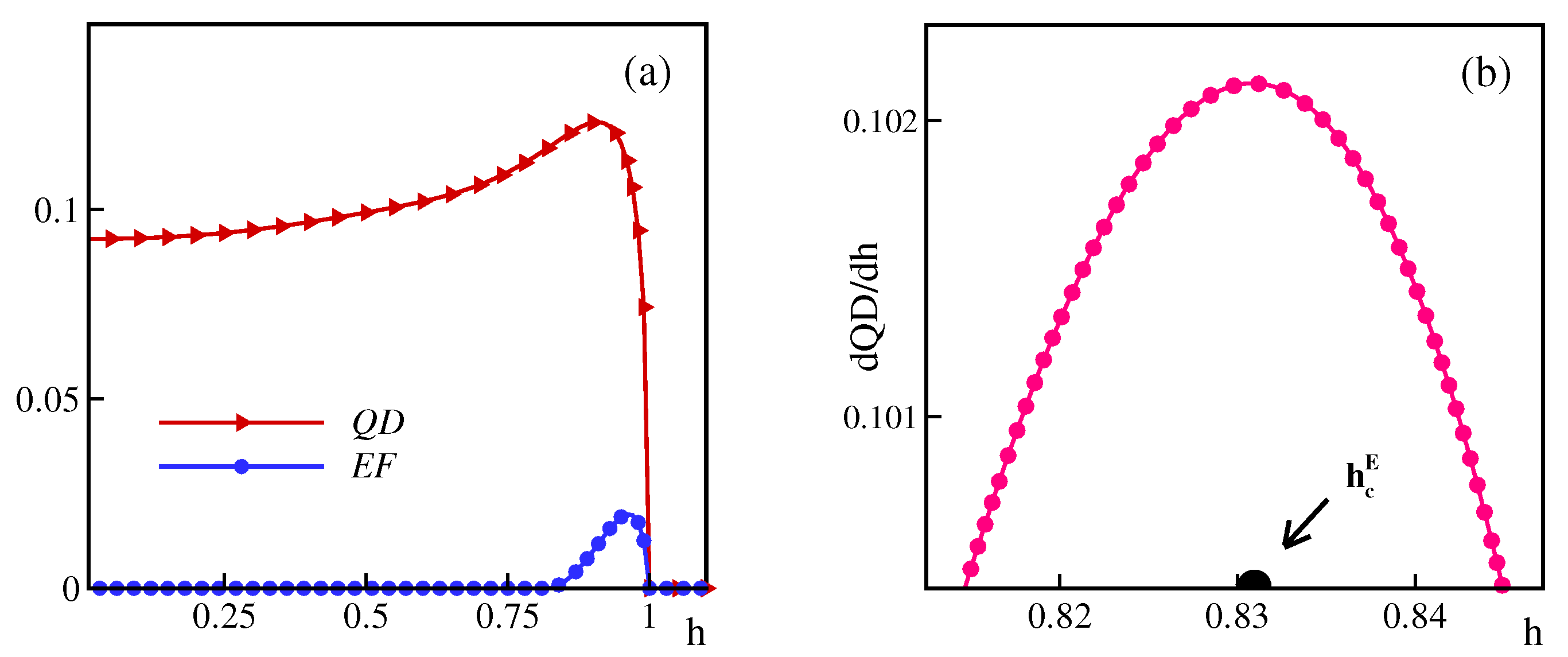
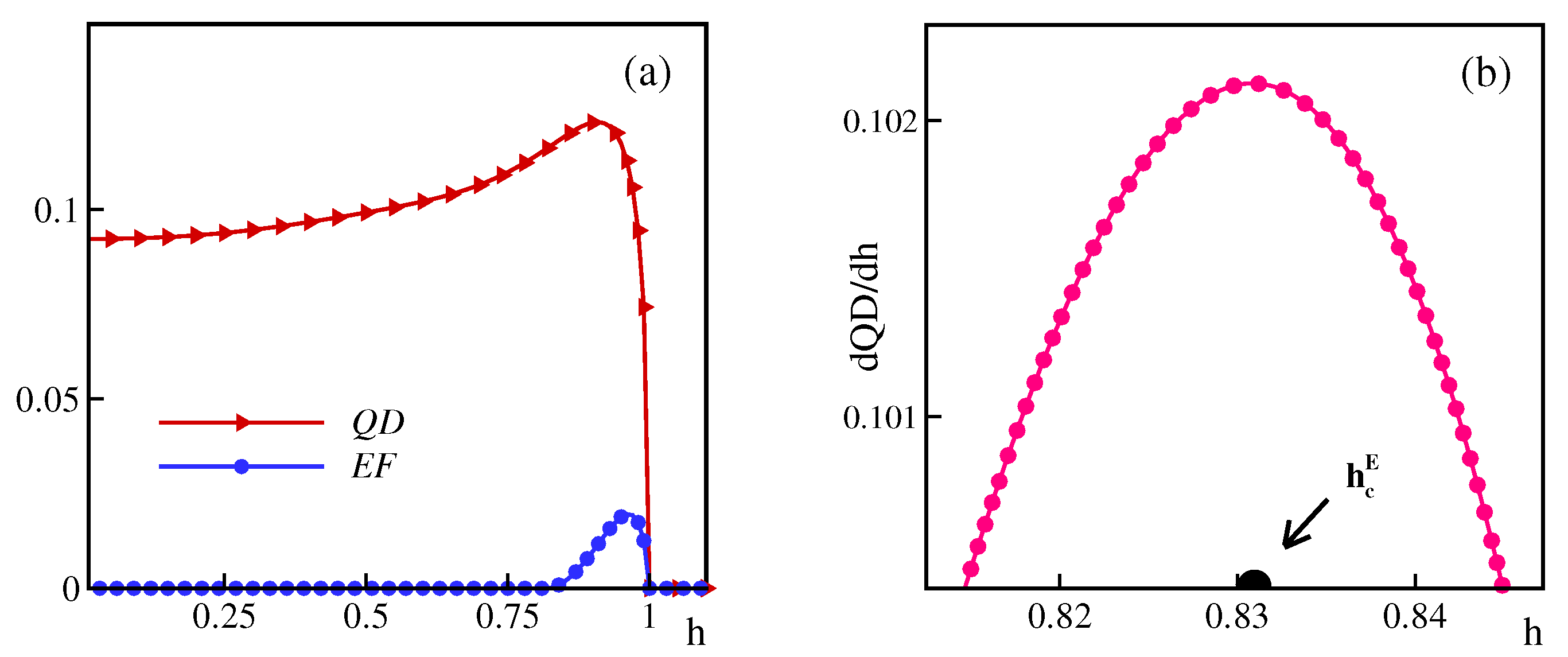
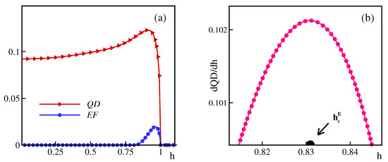
Concerning 3N and 4N pairs of spins, as shown in Figure 3a and Figure 4a, respectively, the QD increases with an almost insignificant trend versus magnetic field for . This non-entangled state remains up to and for 3N and 4N, respectively. A negligible EF between the 3N and 4N pairs appears in the region . Both QD and EF grow and reach maximum values at different values of the field near the critical field and finally go to zero at . According to Figure 3b and Figure 4b, the first derivative of QD has the maximum value in the neighbourhood of the entanglement field for 3N and 4N pair of spins, whereas there is no sign of a prominent trend in the second or higher order of QD derivatives with respect to the magnetic field.
Figure 3.
(a) QD and EF; and (b) first derivative of the QD in the vicinity of as a function of magnetic field for the 3N pairs at zero temperature.
Figure 4.
(a) Magnetic field dependence of QD and EF; and (b) first derivative of the QD in the vicinity of for the 4N spin pairs at zero temperature.
Generally, in addition to the NN pair of spins, the non-nearest neighbour pairs are correlated (but unentangled) in the absence of the transverse magnetic field. By comparing the values of both QD and EF for each amount of applied magnetic field in Figure 1, Figure 2, Figure 3 and Figure 4, it is clear that, when the distance between two considered spins increases, the amount of quantum correlations decreases. On the other hand, although QD itself does not show any indication of the unentangled–entangled border in the LL region, its first and second derivatives with respect to the magnetic field in distances and , respectively, may contain data that correctly show the exact point of the entanglement field.
The scaling behaviour of the QD and EF in the neighbourhood of can be studied by analysing our exact results. Relying on the results, when the value of the magnetic field approaches the critical point, the considered quantities show power-law behaviours where stands for the relevant critical exponent in each distance. The values of for QD and EF for distinct neighbouring are shown in Table 1 with a error-bar. The value of is distinct for different neighbours in the case of EF, whereas it is the same for all pairs of spins considered in the case of QD up to one decimal digit. The fact that the value of the seems to be very similar for all pairs of spins studied in the case of QD may be an indication of universal behaviour of such a quantity in the vicinity of the quantum phase transition.
Table 1.
Critical exponents of QD and EF for the NN, 2N, 3N and 4N pairs of spins.
5. Conclusions
In this work, we present analytical results for QD and EF between pairs of spins placed at distances from each other. In the spin- XX chain at zero temperature, QD results show that all parts of LL region are correlated for all considered pair of spins, whereas EF analysis indicates that LL region can be split into unentangled and entangled parts. Our results show that, when the magnetic field is absent, only the NN spin pairs are entangled, while the QD exists among the 2N, 3N and 4N neighbour spin pairs in addition to the NN neighbour spin pairs. EF has the zero value up to for all non-nearest pairs studied. The comparison of scaling behaviour of the QD and EF in the neighbourhood of the critical field indicated that QD may show the same universal behaviour for all pairs of spins in the vicinity of the phase transition. Finally, we stress that the maximum of the derivatives of QD can be used to clearly recognise the value of entanglement field for the specific spin pair in question.
Author Contributions
Data curation, S.N.; Formal analysis, S.N., F.K.F. and S.M.; Investigation, F.K.F.; Methodology, S.N. and F.K.F.; Supervision, S.M.; Writing—original draft, S.N.; and Writing—review and editing, F.K.F. and S.M.
Funding
This research received no external funding.
Acknowledgments
S. Nemati acknowledges the support from Computational Science Research Center (CSRC). We are also thankful to Jaime Santos for reviewing and comments that greatly improved the manuscript.
Conflicts of Interest
The authors declare no conflict of interest.
Abbreviations
The following abbreviations are used in this manuscript:
| NN | Nearest Neighbour |
| 2N | 2nd Neighbour |
| 3N | 3rd Neighbour |
| 4N | 4th Neighbour |
| QD | Quantum Discord |
| EF | Entanglement of Formation |
| LL | Luttinger Liquid |
References
- Wootters, W.K. Entanglement of formation of an arbitrary state of two Qubits. Phys. Rev. Lett. 1998, 80, 2245. [Google Scholar] [CrossRef]
- Bennett, C.H.; DiVincenzo, D.P. Quantum information and computation. Nature 2000, 404, 247–255. [Google Scholar] [CrossRef] [PubMed]
- Amico, L.; Fazio, R.; Osterloh, A.; Vidal, V. Entanglement in many-body Systems. Rev. Mod. Phys. 2008, 80, 517–576. [Google Scholar] [CrossRef]
- Ollivier, H.; Zurek, W.H. Quantum discord: A measure of the quantum- ness of correlations. Phys. Rev. Lett. 2001, 88, 017901. [Google Scholar] [CrossRef] [PubMed]
- Henderson, L.; Vedral, V. Classical quantum and total correlations. J. Phys. A 2001, 34, 6899. [Google Scholar] [CrossRef]
- Brukner, C.; Zukowski, M.; Zeilinger, A. Quantum communication complexity protocol with two entangled qutrits. Phys. Rev. Lett. 2002, 89, 197901. [Google Scholar] [CrossRef] [PubMed]
- Dakić, B.; Lipp, Y.O.; Ma, X.; Ringbauer, M.; Kropatschek, S.; Barz, S.; Paterek, T.; Vedral, V.; Zeilinger, A.; Brukner, C.; et al. Quantum discord as resource for remote state preparation. Nat. Phys. 2012, 8, 666–670. [Google Scholar] [CrossRef]
- Quan, H.T.; Song, Z.; Liu, X.F.; Zanardi, P.; Sun, C.P. Decay of Loschmidt echo enhanced by quantum criticality. Phys. Rev. Lett. 2006, 96, 140604. [Google Scholar] [CrossRef]
- Jafari, R.; Akbari, A. Gapped quantum criticality gains long-time quantum correlations. Europhys. Lett. 2015, 111, 10007. [Google Scholar] [CrossRef]
- Mehran, E.; Mahdavifar, S.; Jafari, R. Induced effects of the dzyaloshinskii- moriya interaction on the thermal entanglement in spin-1/2 Heisenberg chains. Phys. Rev. A 2014, 89, 042306. [Google Scholar] [CrossRef]
- Ghosh, S.; Rosenbaum, T.F.; Aeppli, G.; Coppersmith, S.N. Entangled quantum state of magnetic dipoles. Nature 2003, 425, 48–51. [Google Scholar] [CrossRef] [PubMed]
- Vedral, V. Quantum physics: Entanglement hits the big time. Nature 2003, 425, 28–29. [Google Scholar] [CrossRef] [PubMed]
- Wiesniak, M.; Vedral, V.; Brukner, C. Magnetic susceptibility as a macroscopic entanglement witness. New J. Phys. 2005, 7, 258. [Google Scholar] [CrossRef]
- Jurcevic, P.; Lanyon, B.P.; Hauke, P.; Hempel, C.; Zoller, P.; Blatt, R.; Roos, C.F. Quasiparticle engineering and entanglement propagation in a quantum many-body system. Nature 2014, 511, 202–205. [Google Scholar] [CrossRef] [PubMed]
- Sahling, S.; Remenyi, G.; Paulsen, C.; Monceau, P.; Saligrama, V.; Marin, C.; Revcolevschi, A.; Regnault, L.; Raymond, S.; Lorenzo, J. Experimental realization of long-distance entanglement between spins in antiferromagnetic quantum spin chains. Nat. Phys. 2015, 11, 255–260. [Google Scholar] [CrossRef]
- Loss, D.; DiVincenzo, D.P. Quantum computation with quantum dots. Phys. Rev. A 1998, 57, 120. [Google Scholar] [CrossRef]
- Burkard, G.; Loss, D.; DiVincenzo, D.P. Coupled quantum dots as quantum gates. Phys. Rev. B 1999, 59, 2070. [Google Scholar] [CrossRef]
- Glaser, U.; Büttner, H.; Fehske, H. Entanglement and correlation in anisotropic quantum spin systems. Phys. Rev. A 2003, 68, 032318. [Google Scholar] [CrossRef]
- Kastner, M.A.; Birgeneau, R.J.; Shirane, G.; Endoh, Y. Magnetic, transport, and optical properties of monolayer copper oxides. Rev. Mod. Phys. 1998, 70, 897. [Google Scholar] [CrossRef]
- Hase, M.; Terasaki, I.; Uchinokura, K. Observation of the spin-Peierls transition in linear Cu2+(spin-1/2) chains in an inorganic compound CuGeO3. Phys. Rev. Lett. 1993, 70, 3651. [Google Scholar] [CrossRef]
- Gibson, B.J.; Kremer, R.K.; Prokofiev, A.V.; Assmus, W.; McIntyre, G.J. Incommensurate antiferromagnetic order in the S=1/2 quantum chain compound LiCuVO4. Phys. B 2004, 350, 253–256. [Google Scholar] [CrossRef]
- Algra, H.A.; Bartolome, J.; Dejongh, L.J.; Carlin, R.L.; Reedijk, J. Field-induced magnetic ordering in the S = 1 singlet ground-state system Ni(C5H5NO)6(ClO4)2 studied by specific heat. Phys. B+C 1978, 93, 35–46. [Google Scholar] [CrossRef]
- Blote, H.W.J. The specific heat of magnetic linear chains. Phys. B+C 1975, 79, 427–466. [Google Scholar] [CrossRef]
- Kwek, L.C.; Takahashi, Y.; Choo, K.W. Spin chain under next nearest neighbor interaction. J. Phys. Conf. Ser. 2009, 143, 012014. [Google Scholar] [CrossRef]
- Imamog, A.; Awschalom, D.D.; Burkard, G.; DiVincenzo, D.P.; Loss, D.; Sherwin, M.; Small, A. Quantum information processing using dot spins and cavity QED. Phys. Rev. Lett. 1999, 83, 4204. [Google Scholar] [CrossRef]
- Raussendorf, R.; Briegel, H.J. A one-way quantum computer. Phys. Rev. Lett. 2001, 86, 5188. [Google Scholar] [CrossRef] [PubMed]
- Wang, X. Entanglement in the quantum Heisenberg XY model. Phys. Rev. A 2001, 64, 012313. [Google Scholar] [CrossRef]
- Fumani, F.K.; Nemati, S.; Mahdavifar, S.; Darooneh, A. Magnetic entanglement in spin-1/2 xy chains. Phys. A 2016, 445, 256–263. [Google Scholar] [CrossRef]
- Gong, S.S.; Su, G. Thermal entanglement in one-dimensional Heisenberg quantum spin chains under magnetic fields. Phys. Rev. A 2009, 80, 012323. [Google Scholar] [CrossRef]
- Huang, Y. Scaling of quantum discord in spin models. Phys. Rev. B 2014, 89, 054410. [Google Scholar] [CrossRef]
- Yano, H.; Nishimori, H. Ground state entanglement in spin systems. Prog. Theor. Phys. Suppl. 2005, 157, 164–167. [Google Scholar] [CrossRef]
- Osborne, T.J.; Nielsen, M.A. Entanglement in a simple quantum phase transition. Phys. Rev. A 2002, 66, 032110. [Google Scholar] [CrossRef]
- Maziero, J.; Guzman, H.C.; Celeri, L.C.; Sarandy, M.S.; Serra, R.M. Quantum and classical thermal correlations in the xy spin-1/2 chain. Phys. Rev. A 2010, 82, 012106. [Google Scholar] [CrossRef]
- Mzaouali, Z.; El Baz, M. Long range quantum coherence, quantum and classical correlations in Heisenberg XX chain. Phys. A 2019, 518, 119–130. [Google Scholar] [CrossRef]
- Fortes, R.; Rigolin, G. Probabilistic quantum teleportation via thermal entanglement. Phy. Rev. A 2017, 96, 022315. [Google Scholar] [CrossRef]
- Jordan, P.; Wigner, E. About the Pauli exclusion principle. Z. Phys. 1928, 47, 631–651. [Google Scholar] [CrossRef]
- Groisman, B.; Popescu, S.; Winter, A. Quantum, classical, and total amount of correlations in a quantum state. Phys. Rev. A 2005, 72, 032317. [Google Scholar] [CrossRef]
- Sarandy, M.S. Classical correlation and quantum discord in critical systems. Phys. Rev. A 2009, 80, 022108. [Google Scholar] [CrossRef]
© 2019 by the authors. Licensee MDPI, Basel, Switzerland. This article is an open access article distributed under the terms and conditions of the Creative Commons Attribution (CC BY) license (http://creativecommons.org/licenses/by/4.0/).



