Constitutive Modelling and Hot Workability Analysis by Microstructure Examination of GH4169 Alloy
Abstract
:1. Introduction
2. Materials and Experimental Procedures
2.1. Materials
2.2. Experimental Procedures
3. Results and Discussion
3.1. Flow Behaviour
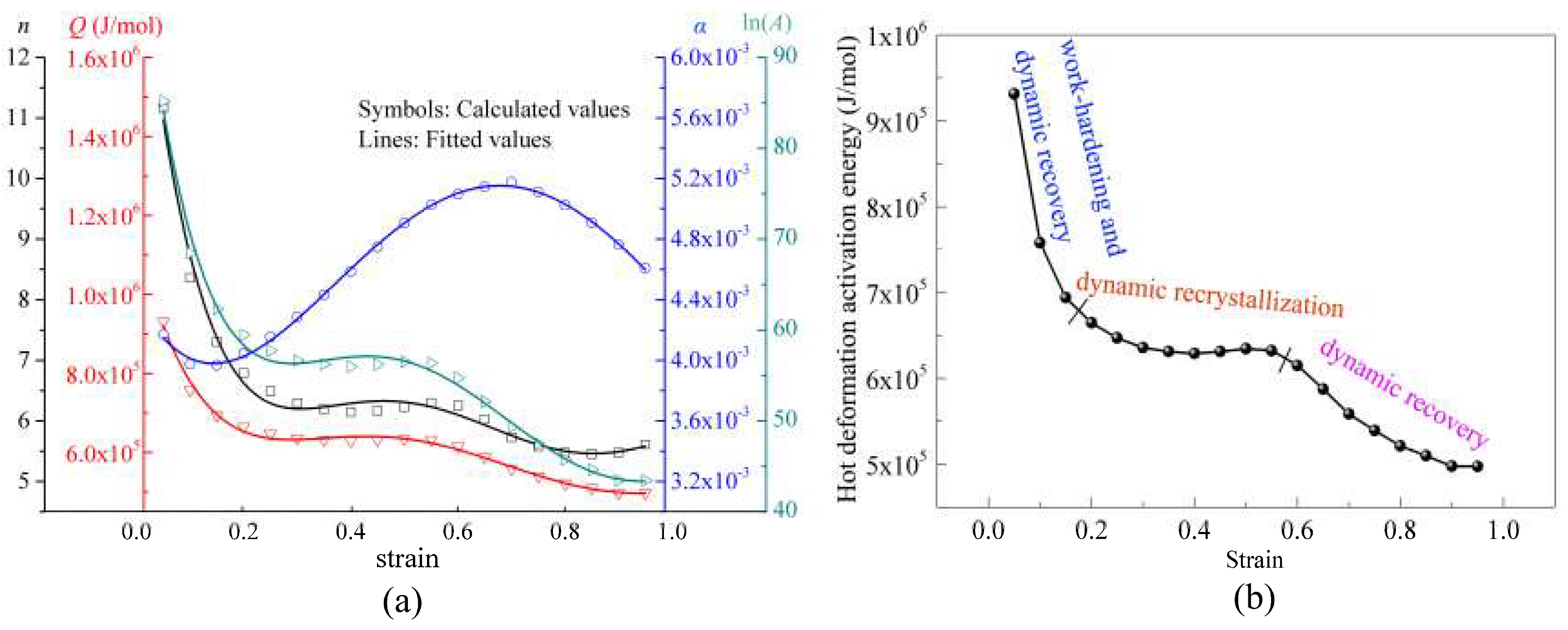
3.2. Constitutive Modelling
3.3. Processing Maps
3.4. Microstructure Examinations on Optical Microscope
3.5. Microstructure Examinations by Electron Backscattered Diffraction
4. Conclusions
- (1)
- A constitutive model describing stress–strain relationship of GH4169 compressed at high temperatures was established based on the modified Arrhenius equation. The mean percentage error is 2.6%, showing that a good agreement was achieved between the model predictions and the experimental results.
- (2)
- The processing maps of GH4169 at the strain of 0.4, 0.5, and 0.6 were constructed. The processing maps were divided into three domains: an instability domain at the temperature range of 900~950 °C and strain rate range of 0.1~1 s−1, a high dissipation efficiency domain at 1060~1100 °C and 0.001~0.01 s−1, and a stable deformation domain for the rest of the processing parameters.
- (3)
- The microstructures of each domain were observed by OM and EBSD. The EBSD result at 950 °C and 1 s−1 agreed well with the descriptions of “discontinuous mechanism”. Incompletely recrystallized microstructures were found in the instability domain. Fully recrystallized microstructures were found in the stable deformation domain, and grain coarsen was found in the high dissipation efficiency domain.
- (4)
- In order to get fully recrystallized fine grains, the recommended compression parameters should be in the stable deformation domain for which the power dissipation efficiency was between 30% and 35%.
Author Contributions
Funding
Acknowledgments
Conflicts of Interest
References
- Yuan, K.; Wang, X.; Zhu, J.; Zhang, L.; Sui, F. Flow Stress Model of GH4169 Alloy in Hot Rolling Process. J. Anhui Univ. Technol. 2016, 2, 110–125. [Google Scholar] [CrossRef]
- Li, M.Q.; Ju, W.B.; Lin, Y.Y.; Wang, X.J.; Niu, Y. Deformation behaviour of GH4169 nickel based superalloy in isothermal compression. Mater. Sci. Technol. 2008, 24, 1195–1198. [Google Scholar] [CrossRef]
- Wen, D.X.; Lin, Y.C.; Chen, M.S. Study of Hot Deformation Behavior in GH4169 Superalloy. Adv. Mater. Res. 2013, 712–715, 658–661. [Google Scholar] [CrossRef]
- Wei, J.H.; Dong, J.X.; Fu, S.H.; Yao, Z.H.; Zhang, M.C. Influence of deformation parameters on hot deformation behavior of GH4169 superalloy. Trans. Mater. Heat Treat. 2013, 34, 58–64. [Google Scholar]
- Bariani, P.F.; Bruschi, S.; Negro, T.D. Prediction of nickel-base superalloys’ rheological behaviour under hot forging conditions using artificial neural networks. J. Mater. Process. Technol. 2004, 152, 395–400. [Google Scholar] [CrossRef]
- Tsuchida, N.; Tomota, Y.; Moriya, H.; Umezawa, O.; Nagai, K. Application of the Kocks–Mecking model to tensile deformation of an austenitic 25Cr–19Ni steel. Acta Mater. 2001, 49, 3029–3038. [Google Scholar] [CrossRef]
- Kar, S.K.; Sondhi, S.K. Microstructure based and temperature dependent model of flow behavior of a polycrystalline nickel based superalloy. Mater. Sci. Eng. A 2014, 601, 97–105. [Google Scholar] [CrossRef]
- Puchi-Cabrera, E.S.; Guérin, J.D.; Dubar, M. Constitutive description for the design of hot-working operations of a 20MnCr5 steel grade. Mater. Des. 2014, 62, 255–264. [Google Scholar] [CrossRef]
- Zhang, P.; Yi, C.; Chen, G.; Qin, H.; Wang, C. Constitutive Model Based on Dynamic Recrystallization Behavior during Thermal Deformation of a Nickel-Based Superalloy. Metals 2016, 6, 161. [Google Scholar] [CrossRef]
- Prasad, Y.V.R.K.; Rao, K.P.; Hort, N.; Kainer, K.U. Hot working parameters and mechanisms in as-cast Mg-3Sn-1Ca alloy. Mater. Lett. 2008, 62, 4207–4209. [Google Scholar] [CrossRef]
- Wang, Y.; Pan, Q.; Song, Y.; Li, C.; Li, Z. Hot deformation and processing maps of X-750 nickel-based superalloy. Mater. Des. 2013, 51, 154–160. [Google Scholar] [CrossRef]
- Shi, Z.; Yan, X.; Duan, C. Hot deformation behavior of GH4945 superalloy using constitutive equation and processing map. J. Alloys Compd. 2015, 652, 30–38. [Google Scholar] [CrossRef]
- Kang, F.W.; Zhang, X.M.; Sun, J.F.; Zhao, J.L. Hot Deformation Behavior and Processing Map of a Nickel-Base Superalloy GH4169. Adv. Mater. Res. 2014, 834–836, 432–436. [Google Scholar] [CrossRef]
- Ying, W.; Pan, Q.; Zhang, Y.; Shan, Q.; Li, Z. Hot deformation behavior and processing map of GH4169 superalloy. J Cent. South. Univ. 2014, 45, 3752–3761. [Google Scholar]
- Semiatin, S.L. ASM Handbook Vol. 14 Forming and Forging; ASM International: Almere, The Netherlands, 2005; pp. 584–585. [Google Scholar]
- Sellars, C.M.; Mctegart, M.J. Superplastic Deformation Behaviour and Microstructure Evolution of Near-α Ti-Al-Mn Alloy. Acta Metall. 1966, 14, 1136–1138. [Google Scholar] [CrossRef]
- Yang, L.C.; Pan, Y.T.; Chen, I.G.; Lin, D.-Y. Constitutive Relationship Modeling and Characterization of Flow Behavior under Hot Working for Fe–Cr–Ni–W–Cu–Co Super-Austenitic Stainless Steel. Metals. 2015, 5, 1717–1731. [Google Scholar] [CrossRef]
- Yin, F.; Hua, L.; Mao, H.; Han, X. Constitutive modeling for flow behavior of GCr15 steel under hot compression experiments. Mater. Des. 2013, 43, 393–401. [Google Scholar] [CrossRef]
- Zhang, X.; Huang, L.; Li, J.; Li, P. Flow behaviors and constitutive model of 300M high strength steel at elevated temperature. J. Cent. South Univ. 2017, 48, 1439–1447. [Google Scholar] [CrossRef]
- Chen, R.; Guo, P.; Zheng, Z.; Li, J.; Feng, F. Dislocation Based Flow Stress Model of 300M Steel in Isothermal Compression Process. Materials 2018, 11, 972. [Google Scholar] [CrossRef] [PubMed]
- Chaoyang, S.; Bing, S.; Chuanbiao, W.; Naiwei, Y.; Tianjun, M.; Wenliang, X.; Jing, Y. Experimental Investigation on High Temperature Creep Deformation Mechanism of BSTMUF601 Superalloy. Acta Metall. Sin. 2015, 51, 349–356. [Google Scholar] [CrossRef]
- Prasad, Y.V.R.K.; Gegel, H.L.; Doraivelu, S.M.; Barker, D.R. Modeling of dynamic material behavior in hot deformation: Forging of Ti6242. Metall. Trans. A 1984, 15, 1883–1892. [Google Scholar] [CrossRef]
- Poelt, P.; Sommitsch, C.; Mitsche, S.; Walter, M. Dynamic recrystallization of Ni-base alloys—Experimental results and comparisons with simulations. Mater. Sci. Eng. A 2006, 420, 306–314. [Google Scholar] [CrossRef]
- Mitsche, S.; Poelt, P.; Microsc-Oxford, C.S.J. Recrystallization behaviour of the nickel-based alloy 80 A during hot forming. J. Microsc. 2010, 227, 267–274. [Google Scholar] [CrossRef] [PubMed]
- Humphreys, F.J.; Hatherly, M. Chapter 1: Introduction. In Recrystallization and Related Annealing Phenomena, 2nd ed.; Elsevier: New York City, NY, USA, 2004; pp. 1–10. [Google Scholar]







| Elements | Ni | Cr | Nb | Mo | Ti | Al | C | Fe |
|---|---|---|---|---|---|---|---|---|
| Mass fraction (%) | 53.2 | 19.5 | 5.30 | 2.85 | 0.82 | 0.51 | 0.03 | Balanced |
| Coefficients | x0 | x1 | x2 | x3 | x4 | x5 |
|---|---|---|---|---|---|---|
| n | 1.44 × 101 | −8.31 × 101 | 3.13 × 102 | −5.44 × 102 | 4.36 × 102 | −1.30 × 102 |
| α | 4.41 × 10−3 | −6.78 × 10−3 | 3.15 × 10−2 | −3.93 × 10−2 | 1.50 × 10−2 | −4.17 × 10−4 |
| Q | 1.14 × 106 | −5.32 × 106 | 2.06 × 107 | −3.60 × 107 | 2.83 × 107 | −8.15 × 106 |
| ln(A) | 1.05 × 102 | −5.13 × 102 | 1.98 × 103 | −3.46 × 103 | 2.72 × 103 | −7.82 × 102 |
© 2018 by the authors. Licensee MDPI, Basel, Switzerland. This article is an open access article distributed under the terms and conditions of the Creative Commons Attribution (CC BY) license (http://creativecommons.org/licenses/by/4.0/).
Share and Cite
Chen, R.; Zheng, Z.; Li, J.; Feng, F. Constitutive Modelling and Hot Workability Analysis by Microstructure Examination of GH4169 Alloy. Crystals 2018, 8, 282. https://doi.org/10.3390/cryst8070282
Chen R, Zheng Z, Li J, Feng F. Constitutive Modelling and Hot Workability Analysis by Microstructure Examination of GH4169 Alloy. Crystals. 2018; 8(7):282. https://doi.org/10.3390/cryst8070282
Chicago/Turabian StyleChen, Rongchuang, Zhizhen Zheng, Jianjun Li, and Fei Feng. 2018. "Constitutive Modelling and Hot Workability Analysis by Microstructure Examination of GH4169 Alloy" Crystals 8, no. 7: 282. https://doi.org/10.3390/cryst8070282
APA StyleChen, R., Zheng, Z., Li, J., & Feng, F. (2018). Constitutive Modelling and Hot Workability Analysis by Microstructure Examination of GH4169 Alloy. Crystals, 8(7), 282. https://doi.org/10.3390/cryst8070282

