Structural Characterized Homotrinuclear ZnII Bis(Salamo)-Based Coordination Compound: Hirshfeld Surfaces, Fluorescent and Antimicobial Properties
Abstract
:1. Introduction
2. Experimental Section
2.1. Materials and Methods
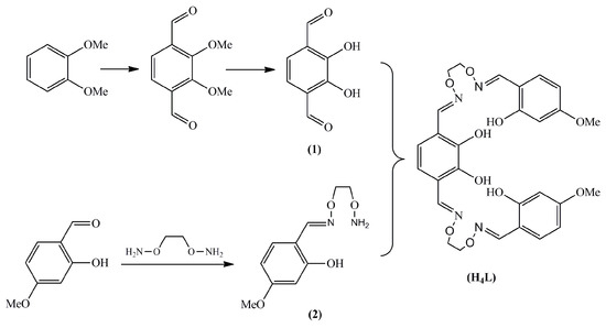
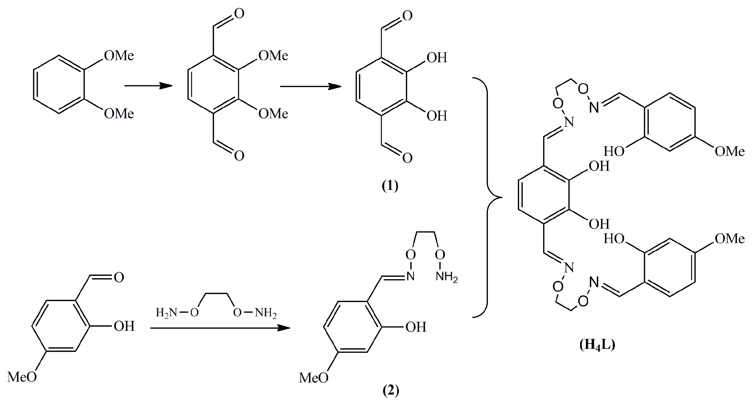
2.2. Synthesis of the Ligand H4L
2.3. Synthesis of the ZnII Coordination Compound
2.4. X-ray Crystallography
3. Results and Discussion
3.1. IR Spectra
3.2. UV-Vis Absorption Spectra
3.3. Crystal Structure Description
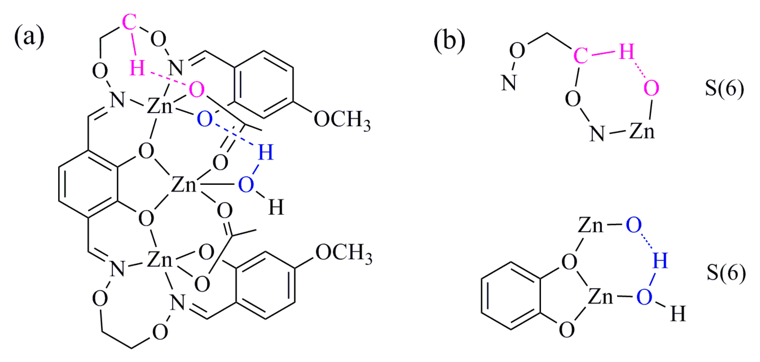
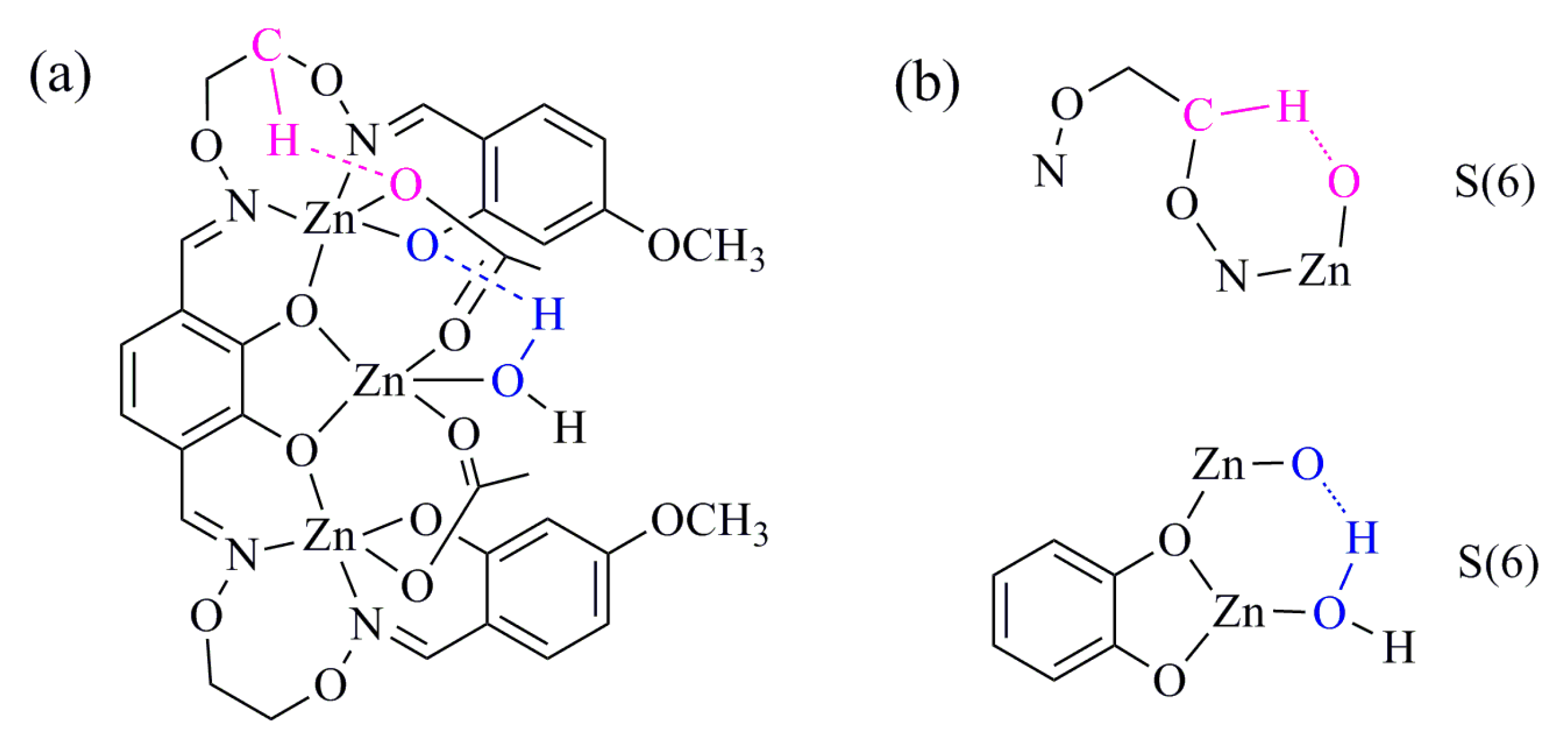
3.4. Supra-Molecular Interaction
3.5. Hirshfeld Surfaces
3.6. Fluorescent Spectra
3.7. Antimicobial Activities
4. Conclusions
Author Contributions
Funding
Acknowledgments
Conflicts of Interest
References
- Shu, Y.B.; Liu, W.S. Luminescent chiral Eu(III) complexes with enantiopurebis(1H-pyridin-2-one)salen ligands. Polyhedron 2015, 102, 293–296. [Google Scholar] [CrossRef]
- Liu, P.P.; Sheng, L.; Song, X.Q.; Xu, W.Y.; Liu, Y.A. Synthesis, structure and magnetic properties of a new one dimensional manganese coordination polymer constructed by a new asymmetrical ligand. Inorg. Chim. Acta 2015, 434, 252–257. [Google Scholar] [CrossRef]
- Ma, X.; Jiao, J.M.; Yang, J.; Huang, X.B.; Cheng, Y.X.; Zhu, C.J. Large stokes shift chiral polymers containing (R,R)-salen-based binuclear boron complex: Synthesis, characterization, and fluorescence properties. Polyhedron 2012, 53, 3894–3899. [Google Scholar] [CrossRef]
- Wu, H.L.; Wang, C.P.; Wang, F.; Peng, H.P.; Zhang, H.; Bai, Y.C. A new manganese (III) complex from bis(5-methylsalicylaldehyde)-3-oxapentane-1,5-diamine: Synthesis, characterization, antioxidant activity and luminescence. J. Chin. Chem. Soc. 2015, 62, 1028–1034. [Google Scholar] [CrossRef]
- Wang, F.; Xu, Y.L.; Aderinto, S.O.; Peng, H.P.; Zhang, H.; Wu, H.L. A new highly effective fluorescent probe for Al3+ ions and its application in practical samples. J. Photochem. Photobiol. A 2017, 332, 273–282. [Google Scholar] [CrossRef]
- Lee, S.H.; Shin, N.; Kwak, S.W.; Hyun, K.; Woo, W.H.; Lee, J.H.; Hwang, H.; Kim, M.; Lee, J.; Kim, Y.; et al. Intriguing indium-salen complexes as multicolor luminophores. Inorg. Chem. 2017, 56, 2621–2626. [Google Scholar] [CrossRef] [PubMed]
- Zhou, J.J.; Song, X.Q.; Liu, Y.A.; Wang, X.L. Substituent-tuned structure and luminescence sensitizing towards Al3+ based on phenoxy bridged dinuclear EuIII complexes. RSC Adv. 2017, 7, 25549–25559. [Google Scholar] [CrossRef]
- Chakraborty, A.; Bag, P.; Goura, J.; Bar, A.K.; Sutter, J.-P.; Chandrasekhar, V. Chair-shaped MnII2LnIII4 (Ln = Gd, Tb, Dy, Ho) heterometallic complexes assembled from a tricompartmental aminobenzohydrazide ligand. Cryst. Growth Des. 2015, 15, 848–857. [Google Scholar] [CrossRef]
- Akine, S.; Sairenji, S.; Taniguchi, T.; Nabeshima, T. Stepwise helicity inversions by multisequential metal exchange. J. Am. Chem. Soc. 2013, 135, 12948–12951. [Google Scholar] [CrossRef] [PubMed]
- Akine, S.; Taniguchi, T.; Saiki, T.; Nabeshima, T. Ca2+- and Ba2+-selective receptors based on site-selective transmetalation of multinuclear polyoxime-zinc(II) complexes. J. Am. Chem. Soc. 2005, 127, 540–541. [Google Scholar] [CrossRef] [PubMed]
- Akine, S.; Taniguchi, T.; Nabeshima, T. Helical metallohost-guest complexes via site-selective transmetalation of homotrinuclear complexes. J. Am. Chem. Soc. 2006, 128, 15765–15774. [Google Scholar] [CrossRef] [PubMed]
- Dong, W.K.; Ma, J.C.; Dong, Y.J.; Zhu, L.C.; Zhang, Y. Di- and tetranuclear heterometallic 3d–4f cobalt(II)–lanthanide(III) complexes derived from a hexadentate bisoxime: Syntheses, structures and magnetic properties. Polyhedron 2016, 115, 228–235. [Google Scholar] [CrossRef]
- Dong, W.K.; Tong, J.F.; Sun, Y.X.; Wu, J.C.; Yao, J.; Gong, S.S. Studies on mono- and dinuclear bisoxime copper complexes with different coordination geometries. Transit. Met. Chem. 2010, 35, 419–426. [Google Scholar] [CrossRef]
- Dong, W.K.; Wang, Z.K.; Li, G.; Zhao, M.M.; Dong, X.Y.; Liu, S.H. Syntheses, crystal structures, and properties of a Salamo-type tetradentate chelating ligand and its pentacoordinated copper(II) complex. Z. Anorg. Allg. Chem. 2013, 639, 2263–2268. [Google Scholar] [CrossRef]
- Akine, S.; Taniguchi, T.; Nabeshima, T. Synthesis and characterization of novel ligands 1,2-bis(salicylideneaminooxy)ethanes. Chem. Lett. 2001, 30, 682–683. [Google Scholar] [CrossRef]
- Chai, L.Q.; Wang, G.; Sun, Y.X.; Dong, W.K.; Zhao, L.; Gao, X.H. Synthesis, crystal structure, and fluorescence of an unexpected dialkoxo-bridged dinuclear copper(II) complex with bis(salen)-type tetraoxime. J. Coord. Chem. 2012, 65, 1621–1631. [Google Scholar] [CrossRef]
- Chen, L.; Dong, W.K.; Zhang, H.; Zhang, Y.; Sun, Y.X. Structural variation and luminescence properties of tri- and dinuclear CuII and ZnII complexes constructed from a naphthalenediol-based bis(Salamo)-type ligand. Cryst. Growth Des. 2017, 17, 3636–3648. [Google Scholar] [CrossRef]
- Li, L.H.; Dong, W.K.; Zhang, Y.; Akogun, S.F.; Xu, L. Syntheses, structures and catecholase activities of homo- and hetero-trinuclear cobalt(II) complexes constructed from an acyclic naphthalenediol-based bis(Salamo)-type ligand. Appl. Organomet. Chem. 2017, e3818. [Google Scholar] [CrossRef]
- Dong, W.K.; Zhang, J.; Zhang, Y.; Li, N. Novel multinuclear transition metal(II) complexes based on an asymmetric Salamo-type ligand: Syntheses, structure characterizations and fluorescent properties. Inorg. Chim. Acta 2016, 444, 95–102. [Google Scholar] [CrossRef]
- Dong, W.K.; Zhang, L.S.; Sun, Y.X.; Zhao, M.M.; Li, G.; Dong, X.Y. Synthesis, crystal structure and spectroscopic properties of a supramolecular zinc(II) complex with N2O2 coordination sphere. Spectrochim. Acta Part A 2014, 121, 324–329. [Google Scholar] [CrossRef] [PubMed]
- Gao, L.; Wang, F.; Zhao, Q.; Zhang, Y.; Dong, W.K. Mononuclear Zn(II) and trinuclear Ni(II) complexes derived from a coumarin-containing N2O2 ligand: Syntheses, crystal structures and fluorescence properties. Polyhedron 2018, 139, 7–16. [Google Scholar] [CrossRef]
- Hao, J.; Liu, L.Z.; Dong, W.K.; Zhang, J.; Zhang, Y. Three multinuclear Co(II), Zn(II) and Cd(II) complexes based on a single-armed salamo-type bisoxime: Syntheses, structural characterizations and fluorescent properties. J. Coord. Chem. 2017, 11, 1936–1952. [Google Scholar] [CrossRef]
- Zheng, S.S.; Dong, W.K.; Zhang, Y.; Chen, L.; Ding, Y.J. Four Salamo-type 3d–4f hetero-bimetallic [ZnIILnIII] complexes: Syntheses, crystal structures, and luminescent and magnetic properties. New J. Chem. 2017, 41, 4966–4973. [Google Scholar] [CrossRef]
- Dong, W.K.; Zheng, S.S.; Zhang, J.T.; Zhang, Y.; Sun, Y.X. Luminescent properties of heterotrinuclear 3d–4f complexes constructed from a naphthalenediol-based acyclic bis(salamo)-type ligand. Spectrochim. Acta Part A 2017, 184, 141–150. [Google Scholar] [CrossRef] [PubMed]
- Dong, W.K.; Ma, J.C.; Dong, Y.J.; Zhao, L.; Zhu, L.C.; Sun, Y.X.; Zhang, Y. Two hetero-trinuclear Zn(II)-M(II) (M = Sr, Ba) complexes based on metallohost of mononuclear Zn(II) complex: Syntheses, structures and fluorescence properties. J. Coord. Chem. 2016, 69, 3231–3241. [Google Scholar] [CrossRef]
- Zhang, H.; Dong, W.K.; Zhang, Y.; Akogun, S.F. Naphthalenediol-based bis(Salamo)-type homo- and hetero-trinuclear cobalt(II) complexes: Syntheses, structures and magnetic properties. Polyhedron 2017, 133, 279–293. [Google Scholar] [CrossRef]
- Dong, W.K.; Ma, J.C.; Zhu, L.C.; Zhang, Y. Nine self-assembled nickel(II)-lanthanide(III) heterometallic complexes constructed from a salamo-type bisoxime and bearing a N- or O-donor auxiliary ligand: Syntheses, structures and magnetic properties. New J. Chem. 2016, 40, 6998–7010. [Google Scholar] [CrossRef]
- Dong, W.K.; Ma, J.C.; Zhu, L.C.; Zhang, Y. Self-assembled zinc(II)-lanthanide(III) heteromultinuclear complexes constructed from 3-MeOsalamo ligand: Syntheses, structures and luminescent properties. Cryst. Growth Des. 2016, 16, 6903–6914. [Google Scholar] [CrossRef]
- Wang, F.; Gao, L.; Zhao, Q.; Zhang, Y.; Dong, W.K.; Ding, Y.J. A highly selective fluorescent chemosensor for CN− based on a novel bis(salamo)-type tetraoxime ligand. Spectrochim. Acta Part A 2018, 190, 111–115. [Google Scholar] [CrossRef] [PubMed]
- Dong, X.Y.; Li, X.Y.; Liu, L.Z.; Zhang, H.; Ding, Y.J.; Dong, W.K. Tri- and hexanuclear heterometallic Ni(II)-M(II) (M = Ca, Sr and Ba) bis(salamo)-type complexes: Synthesis, structure and fluorescence properties. RSC Adv. 2017, 7, 48394–48403. [Google Scholar] [CrossRef]
- Dong, Y.J.; Li, X.L.; Zhang, Y.; Dong, W.K. A highly selective visual and fluorescent sensor for Pb2+ and Zn2+ and crystal structure of Cu2+ complex based-on a novel single-armed salamo type bisoxime. Supramol. Chem. 2017, 29, 518–527. [Google Scholar] [CrossRef]
- Wang, B.J.; Dong, W.K.; Zhang, Y.; Akogun, S.F. A novel relay-sensor for highly sensitive and selective detection of Zn2+/Pic− and fluorescence on/off switch response of H+/OH−. Sens. Actuators B Chem. 2017, 247, 254–264. [Google Scholar] [CrossRef]
- Dong, W.K.; Akogun, S.F.; Zhang, Y.; Sun, Y.X.; Dong, X.Y. A reversible “turn-on” fluorescent sensor for selective detection of Zn2+. Sens. Actuators B Chem. 2017, 238, 723–734. [Google Scholar] [CrossRef]
- Dong, W.K.; Li, X.L.; Wang, L.; Zhang, Y.; Ding, Y.J. A new application of salamo-type bisoximes: As a relay-sensor for Zn2+/Cu2+ and its novel complexes for successive sensing of H+/OH−. Sens. Actuators B Chem. 2016, 229, 370–378. [Google Scholar] [CrossRef]
- Chai, L.Q.; Huang, J.J.; Zhang, H.S.; Zhang, Y.L.; Zhang, J.Y.; Li, Y.X. An unexpected cobalt(III) complex containing a Schiff base ligand: Synthesis, crystal structure, spectroscopic behavior, electrochemical property and SOD-like activity. Spectrochim. Acta Part A 2014, 131, 526–531. [Google Scholar] [CrossRef] [PubMed]
- Chai, L.Q.; Tang, L.J.; Chen, L.C.; Huang, J.J. Structural, spectral, electrochemical and DFT studies of two mononuclear manganese(II) and zinc(II) complexes. Polyhedron 2017, 122, 228–240. [Google Scholar] [CrossRef]
- Chai, L.Q.; Zhang, K.Y.; Tang, L.J.; Zhang, J.Y.; Zhang, H.S. Two mono- and dinuclear Ni(II) complexes constructed from quinazoline-type ligands: Synthesis, x-ray structures, spectroscopic, electrochemical, thermal, and antimicrobial studies. Polyhedron 2017, 130, 100–107. [Google Scholar] [CrossRef]
- Chai, L.Q.; Li, Y.X.; Chen, L.C.; Zhang, J.Y.; Huang, J.J. Synthesis, X-ray structure, spectroscopic, electrochemical properties and DFT calculation of a bridged dinuclear copper(II) complex. Inorg. Chim. Acta 2016, 444, 193–201. [Google Scholar] [CrossRef]
- Akine, S.; Hashimoto, D.; Saiki, T.; Nabeshima, T. Synthesis and structure of polyhydroxyl rigid triangular nano-macrocyclic imine having multiple hydrogen-bonding sites. Tetrahedron Lett. 2004, 45, 4225–4227. [Google Scholar] [CrossRef]
- Akine, S.; Matsumoto, T.; Taniguchi, T.; Nabeshima, T. Synthesis, structures, and magnetic properties of tri- and dinuclear copper(II)-gadolinium(III) complexes of linear oligooxime ligands. Inorg. Chem. 2005, 44, 3270–3274. [Google Scholar] [CrossRef] [PubMed]
- Akine, S.; Taniguchi, T.; Matsumoto, T.; Nabeshima, T. Guest-dependent inversion rate of a tetranuclear single metallohelicate. Chem. Commun. 2006, 4961–4963. [Google Scholar] [CrossRef] [PubMed]
- Akine, S.; Nabeshima, T. Cyclic and acyclic oligo(N2O2) ligands for cooperative multi-metal complexation. Dalton Trans. 2009, 10395–10408. [Google Scholar] [CrossRef] [PubMed]
- Li, X.Y.; Chen, L.; Gao, L.; Zhang, Y.; Akogun, S.F.; Dong, W.K. Syntheses, crystal structures and catalytic activities of two solvent-induced homotrinuclear Co(II) complexes with a naphthalenediol-based bis(salamo)-type tetraoxime ligand. RSC Adv. 2017, 7, 35905–35916. [Google Scholar] [CrossRef]
- Hao, J.; Li, L.L.; Zhang, J.T.; Akogun, S.F.; Wang, L.; Dong, W.K. Four homo- and hetero-bismetallic 3d/3d-2s complexes constructed from a naphthalenediol-based acyclic bis(salamo)-type tetraoxime ligand. Polyhedron 2017, 134, 1–10. [Google Scholar] [CrossRef]
- Dong, Y.J.; Dong, X.Y.; Dong, W.K.; Zhang, Y.; Zhang, L.S. Three asymmetric salamo-type copper(II) and cobalt(II) complexes: Syntheses, structures, fluorescent properties. Polyhedron 2017, 123, 305–315. [Google Scholar] [CrossRef]
- Tao, C.H.; Ma, J.C.; Zhu, L.C.; Zhang, Y.; Dong, W.K. Heterobimetallic 3d–4f Zn(II)–Ln(III) (Ln = Sm, Eu, Tb and Dy) complexes with a N2O4 bisoxime chelate ligand and a simple auxiliary ligand Py: Syntheses, structures and luminescence properties. Polyhedron 2017, 128, 38–45. [Google Scholar] [CrossRef]
- Peng, Y.D.; Wang, F.; Gao, L.; Dong, W.K. Structurally characterized dinuclear zinc(II) bis(salamo)-type tetraoxime complex possessing square pyramidal and trigonal bipyramidal geometries. J. Chin. Chem. Soc. 2018, 1–7. [Google Scholar] [CrossRef]
- Wang, L.; Ma, J.C.; Dong, W.K.; Zhu, L.C.; Zhang, Y. A novel self-assembled nickel(II)-cerium(III) heterotetranuclear dimer constructed from N2O2-type bisoxime and terephthalic acid: Synthesis, structure and photophysical properties. Z. Anorg. Allg. Chem. 2016, 642, 834–839. [Google Scholar] [CrossRef]
- Dong, W.K.; Du, W.; Zhang, X.Y.; Li, G.; Dong, X.Y. Synthesis, crystal structure and spectral properties of a supramolecular trinuclear nickel(II) complex with 5-methoxy-4′-bromo-2,2′-[ethylenedioxybis(nitrilomethylidyne)]diphenol. Spectrochim. Acta Part A 2014, 132, 588–593. [Google Scholar] [CrossRef] [PubMed]
- Wang, P.; Zhao, L. An infinite 2D supramolecular cobalt(II) complex based on an asymmetric Salamo-type ligand: Synthesis, crystal structure, and spectral properties. Synth. React. Inorg. Met.-Org. Nano-Met. Chem. 2016, 46, 1095–1101. [Google Scholar] [CrossRef]
- Wang, P.; Zhao, L. Synthesis, structure and spectroscopic properties of the trinuclear cobalt(II) and nickel(II) complexes based on 2-hydroxynaphthaldehyde and bis(aminooxy)alkane. Spectrochim. Acta Part A 2015, 135, 342–350. [Google Scholar] [CrossRef] [PubMed]
- Dong, X.Y.; Kang, Q.P.; Jin, B.X.; Dong, W.K. A dinuclear nickel(II) complex derived from an asymmetric salamo-type N2O2 chelate ligand: Synthesis, structure and optical properties. Z. Naturforsch. 2017, 72, 415–420. [Google Scholar] [CrossRef]
- Wu, H.L.; Pan, G.L.; Wang, H.; Wang, X.L.; Bai, Y.C.; Zhang, Y.H. Study on synthesis, crystal structure, antioxidant and DNA-binding of mono-, di- and poly-nuclear lanthanides complexes with bis(N-salicylidene)-3-oxapentane-1,5-diamine. J. Photochem. Photobiol. B 2014, 135, 33–43. [Google Scholar] [CrossRef] [PubMed]
- Ma, J.C.; Dong, X.Y.; Dong, W.K.; Zhang, Y.; Zhu, L.C.; Zhang, J.T. An unexpected dinuclear Cu(II) complex with a bis(salamo) chelating ligand: Synthesis, crystal structure and photophysical properties. J. Coord. Chem. 2016, 69, 149–159. [Google Scholar] [CrossRef]
- Wu, H.L.; Bai, Y.C.; Zhang, Y.H.; Li, Z.; Wu, M.C.; Chen, C.Y.; Zhang, J.W. Synthesis, crystal structure, antioxidation and DNA-binding properties of a dinuclear copper(II) complex with bis(N-salicylidene)-3-oxapentane-1,5-diamine. J. Coord. Chem. 2014, 67, 3054–3066. [Google Scholar] [CrossRef]
- Hu, J.H.; Sun, Y.; Qi, J.; Li, Q.; Wei, T.B. A new unsymmetrical a zine derivative based on coumarin group as dual-modal sensor for CN−, and fluorescent “off-on” for Zn2+. Spectrochim. Acta A 2017, 175, 125–133. [Google Scholar] [CrossRef] [PubMed]
- Wu, H.L.; Pan, G.L.; Bai, Y.C.; Wang, H.; Kong, J. Synthesis, structure, antioxidation, and DNA-bindingstudies of a binuclear ytterbium(III) complex with bis(N-salicylidene) -3-oxapentane-1,5-diamine. Res. Chem. Intermed. 2015, 41, 3375–3388. [Google Scholar] [CrossRef]
- Liu, P.P.; Wang, C.Y.; Zhang, M.; Song, X.Q. Pentanuclear sandwich-type ZnII-LnIII clusters based on a new salen-like salicylamide ligand: Structure, near-infrared emission and magnetic properties. Polyhedron 2017, 129, 133–140. [Google Scholar] [CrossRef]
- Song, X.Q.; Peng, Y.J.; Chen, G.Q.; Wang, X.R.; Liu, P.P.; Xu, W.Y. Substituted group-directed assembly of Zn(II) coordination complexes based on two new structural related pyrazolone based Salen ligands: Syntheses, structures and fluorescence properties. Inorg. Chim. Acta 2015, 427, 13–21. [Google Scholar] [CrossRef]
- Wang, F.; Liu, L.Z.; Gao, L.; Dong, W.K. Unusual constructions of two salamo-based copper(II) complexes. Spectrochim. Acta Part A 2018, 203, 56–64. [Google Scholar] [CrossRef] [PubMed]
- Wu, H.L.; Bai, Y.C.; Zhang, Y.H.; Pan, G.L.; Kong, J.; Shi, F.; Wang, X.L. Two lanthanide(III) complexes based on the Schiff base N,N-Bis(salicylidene)-1,5-diamino-3-oxapentane: Synthesis, characterization, DNA-binding properties, and antioxidation. Z. Anorg. Allg. Chem. 2014, 640, 2062–2071. [Google Scholar] [CrossRef]
- Song, X.Q.; Liu, P.P.; Liu, Y.A.; Zhou, J.J.; Wang, X.L. Two dodecanuclear heterometallic [Zn6Ln6] clusters constructed by a multidentate salicylamide salen-like ligand: Synthesis, structure, luminescence and magnetic properties. Dalton Trans. 2016, 45, 8154–8163. [Google Scholar] [CrossRef] [PubMed]
- Hu, J.H.; Chen, J.J.; Li, J.B.; Qi, J. A cyanide ion probe based on azosalicylic aldehyde of benzoyl hydrazone. Chin. J. Inorg. Chem. 2014, 30, 2544–2548. [Google Scholar]
- Gao, L.; Liu, C.; Wang, F.; Dong, W.K. Tetra-, penta- and hexa-coordinated transition metal complexes constructed from coumarin-cntaining N2O2 ligand. Crystals 2018, 8, 77. [Google Scholar] [CrossRef]
- Song, X.Q.; Liu, P.P.; Xiao, Z.R.; Li, X.; Liu, Y.A. Four polynuclear complexes based on a versatile salicylamide salen-like ligand: Synthesis, structural variations and magnetic properties. Inorg. Chim. Acta 2015, 438, 232–244. [Google Scholar] [CrossRef]
- Li, X.Y.; Kang, Q.P.; Liu, L.Z.; Ma, J.C.; Dong, W.K. Trinuclear Co(II) and mononuclear Ni(II) Salamo-type bisoxime coordination compounds. Crystals 2018, 8, 43. [Google Scholar] [CrossRef]
- Guo, W.T.; Li, X.Y.; Kang, Q.P.; Ma, J.C.; Dong, W.K. Structural and luminescent properties of heterobimetallic zinc(II)-europium(III) dimer constructed from N2O2-type bisoxime and terephthalic acid. Crystals 2018, 8, 154. [Google Scholar] [CrossRef]
- Hao, J.; Li, X.Y.; Zhang, Y.; Dong, W.K. A reversible bis(salamo)-based fluorescence sensor for selective detection of Cd2+ in water-containing systems and food samples. Materials 2018, 11, 523. [Google Scholar] [CrossRef] [PubMed]
- Zhang, L.W.; Li, X.Y.; Kang, Q.P.; Ma, J.C.; Dong, W.K. Structures and fluorescent and magnetic behaviors of newly synthesized NiII and CuII coordination compounds. Crystals 2018, 8, 173. [Google Scholar] [CrossRef]
- Dong, X.Y.; Kang, Q.P.; Li, X.Y.; Ma, J.C.; Dong, W.K. Structurally characterized solvent-induced homotrinuclear cobalt(II) N2O2-donor bisoxime-type complexes. Crystals 2018, 8, 139. [Google Scholar] [CrossRef]
- Yang, Y.H.; Hao, J.; Li, X.Y.; Zhang, Y.; Dong, W.K. Hetero-trinuclear CoII2-DyIII complex with a octadentate bis(salamo)-like ligand: Synthesis, crystal structure and luminescence properties. Crystals 2018, 8, 174. [Google Scholar] [CrossRef]
- Kruszynski, R.; Sieranski, T. Can stacking interactions exist beyond the commonly accepted limits? Cryst. Growth Des. 2016, 16, 587–595. [Google Scholar] [CrossRef]
- Bernstein, J.; Davis, R.E.; Shimoni, L.; Chang, N.L. Patterns in hydrogen bonding: Functionality and graph set analysis in crystals. Angew. Chem. Int. Ed. Engl. 1995, 34, 1555–1573. [Google Scholar] [CrossRef]
- McKinnon, J.J.; Jayatilaka, D.; Spackman, M.A. Towards quantitative analysis of intermolecular interactions with Hirshfeld surfaces. Chem. Commun. 2007, 3814–3816. [Google Scholar] [CrossRef]
- Spackman, M.A.; McKinnon, J.J.; Jayatilaka, D. Electrostatic potentials mapped on Hirshfeld surfaces provide direct insight into intermolecular interactions in crystals. Cryst. Eng. Commun. 2008, 10, 377–388. [Google Scholar] [CrossRef]
- Spackman, M.A.; Jayatilaka, D. Hirshfeld surface analysis. Cryst. Eng. Commun. 2009, 11, 19–32. [Google Scholar] [CrossRef]
- Martin, A.D.; Hartlieb, K.J.; Sobolev, A.N.; Raston, C.L. Hirshfeld surface analysis of substituted phenols. Cryst. Growth Des. 2010, 10, 5302–5306. [Google Scholar] [CrossRef]
- Chattopadhyay, B.; Mukherjee, A.K.; Narendra, N.; Hemantha, H.P.; Sureshbabu, V.V.; Helliwell, M.; Mukherjee, M. Supramolecular architectures in 5,5′-substituted hydantoins: Crystal structures and Hirshfeld surface analyses. Cryst. Growth Des. 2010, 10, 4476–4484. [Google Scholar] [CrossRef]
- Liu, Y.A.; Wang, C.Y.; Zhang, M.; Song, X.Q. Structures and magnetic properties of cyclic heterometallic tetranuclear clusters. Polyhedron 2017, 127, 278–286. [Google Scholar] [CrossRef]
- Dong, Y.J.; Ma, J.C.; Zhu, L.C.; Dong, W.K.; Zhang, Y. Four 3d–4f heteromultinuclear zinc(II)-lanthanide(III) complexes constructed from a distinct hexadentate N2O2-type ligand: Syntheses, structures and photophysical properties. J. Coord. Chem. 2017, 70, 103–115. [Google Scholar] [CrossRef]
- Dong, W.K.; Ma, J.C.; Zhu, L.C.; Zhang, Y.; Li, X.L. Four new nickel(II) complexes based on an asymmetric Salamo-type ligand: Synthesis, structure, solvent effect and electrochemical property. Inorg. Chim. Acta 2016, 445, 140–148. [Google Scholar] [CrossRef]
- Dong, W.K.; Lan, P.F.; Zhou, W.M.; Zhang, Y. Salamo-type trinuclear and tetranuclear cobalt(II) complexes based on a new asymmetry salamo-type ligand: Syntheses, crystal structures and fluorescence properties. J. Coord. Chem. 2016, 65, 1272–1283. [Google Scholar] [CrossRef]
- Dong, W.K.; Zhang, J.T.; Dong, Y.J.; Zhang, Y.; Wang, Z.K. Construction of mononuclear copper(II) and trinuclear cobalt(II) complexes based on asymmetric salamo-type ligands. Z. Anorg. Allg. Chem. 2016, 642, 189–196. [Google Scholar] [CrossRef]
- Wang, L.; Hao, J.; Zhai, L.X.; Zhang, Y.; Dong, W.K. Synthesis, crystal structure, luminescence, electrochemical and antimicrobial properties of bis(salamo)-based Co(II) complex. Crystals 2017, 7, 277. [Google Scholar] [CrossRef]










| Empirical Formula | C32H34Zn3N4O15 |
|---|---|
| Formula weight | 910.74 |
| Temperature, K | 298(2) |
| Wavelength, Å | 0.71073 |
| Crystal system | Monoclinic |
| Space group | C 2/c |
| Cell dimensions, (Å, deg) | a = 26.702(2) b = 21.6859(19), c = 14.8470(13), β = 101.253(2) |
| Volume, Å3 | 8432.0(13) |
| Z | 8 |
| Density (calculated), mg/m3 | 1.435 |
| Absorption coefficient, mm−1 | 1.759 |
| F(000) | 3712.0 |
| Index ranges | −28≤ h≤ 31, −22 ≤ k ≤25, −17≤ l ≤16 |
| Reflections collected | 20,924/7426 [R(int) = 0.0496] |
| Independent reflections | 5335 |
| Data/restraints/parameters | 7426/36/514 |
| Goodness of fit indicator | 0.944 |
| R [I > 2σ(I)] | R1 = 0.0366, wR2 = 0.0903 |
| Largest diff. peak and hole, e∙Å−3 | 0.357 and −0.382 |
| Bond | Lengths | Bond | Lengths | Bond | Lengths |
| Zn1-O11 | 1.975(3) | Zn1-O13 | 1.998(3) | Zn1-O15 | 2.021(3) |
| Zn1-O2 | 2.042(2) | Zn1-O1 | 2.079(2) | Zn2-O5 | 1.962(2) |
| Zn2-O12 | 1.985(3) | Zn2-O1 | 2.052(2) | Zn2-N1 | 2.091(3) |
| Zn2-N2 | 2.135(3) | Zn3-O9 | 1.959(3) | Zn3-O14 | 1.971(3) |
| Zn3-O2 | 2.057(2) | Zn3-N4 | 2.104(3) | Zn3-N3 | 2.150(3) |
| Bond | Angles | Bond | Angles | Bond | Angles |
| O11-Zn1-O13 | 89.62(13) | O11-Zn1-O15 | 114.09(13) | O13-Zn1-O15 | 99.82(11) |
| O11-Zn1-O2 | 145.43(15) | O13-Zn1-O2 | 93.15(10) | O15-Zn1-O2 | 99.38(9) |
| O11-Zn1-O1 | 88.93(11) | O13-Zn1-O1 | 164.20(13) | O15-Zn1-O1 | 95.13(10) |
| O2-Zn1-O1 | 79.31(9) | O5-Zn2-O12 | 114.15(11) | O5-Zn2-O1 | 92.43(9) |
| O12-Zn2-O1 | 90.61(10) | O5-Zn2-N1 | 126.79(11) | O12-Zn2-N1 | 118.97(11) |
| O1-Zn2-N1 | 84.29(10) | O5-Zn2-N2 | 87.16(10) | O12-Zn2-N2 | 94.10(11) |
| O1-Zn2-N2 | 175.02(10) | N1-Zn2-N2 | 91.98(11) | O9-Zn3-O14 | 112.13(11) |
| O9-Zn3-O2 | 93.72(10) | O14-Zn3-O2 | 95.00(10) | O9-Zn3-N4 | 88.47(11) |
| O14-Zn3-N4 | 96.81(11) | O9-Zn3-N3 | 121.50(11) | O2-Zn3-N3 | 81.51(10) |
| O2-Zn3-N4 | 166.17(11) | O14-Zn3-N3 | 126.37(11) | N4-Zn3-N3 | 85.70(12) |
| D–H···A | d(D–H) | d(H–A) | d(D–A) | ∠D–X–A | Symmetry Code |
|---|---|---|---|---|---|
| O15–H15B···O9 | 0.85 | 1.84 | 2.675(4) | 168 | |
| O15–H15C···O5 | 0.85 | 1.80 | 2.625(4) | 162 | |
| C10–H10A···O12 | 0.97 | 2.49 | 3.367(5) | 150 | |
| C20–H20B···O14 | 0.97 | 2.42 | 3.296(6) | 150 | |
| C19-H19B···Cg1 | 0.97 | 2.84 | 3.601(5) | 136 | 1/2 − X, 1/2 + Y, 1/2 − Z |
| Cg1···Cg1 | 4.372 | 1/2 − X, 1/2 − Y, 1 − Z | |||
| Cg3···Cg3 | 4.541 | 1/2 − X, 1/2 − Y, −Z |
© 2018 by the authors. Licensee MDPI, Basel, Switzerland. This article is an open access article distributed under the terms and conditions of the Creative Commons Attribution (CC BY) license (http://creativecommons.org/licenses/by/4.0/).
Share and Cite
Zhang, Y.; Liu, L.-Z.; Pan, Y.-Q.; Dong, W.-K. Structural Characterized Homotrinuclear ZnII Bis(Salamo)-Based Coordination Compound: Hirshfeld Surfaces, Fluorescent and Antimicobial Properties. Crystals 2018, 8, 259. https://doi.org/10.3390/cryst8070259
Zhang Y, Liu L-Z, Pan Y-Q, Dong W-K. Structural Characterized Homotrinuclear ZnII Bis(Salamo)-Based Coordination Compound: Hirshfeld Surfaces, Fluorescent and Antimicobial Properties. Crystals. 2018; 8(7):259. https://doi.org/10.3390/cryst8070259
Chicago/Turabian StyleZhang, Yang, Ling-Zhi Liu, Ying-Qi Pan, and Wen-Kui Dong. 2018. "Structural Characterized Homotrinuclear ZnII Bis(Salamo)-Based Coordination Compound: Hirshfeld Surfaces, Fluorescent and Antimicobial Properties" Crystals 8, no. 7: 259. https://doi.org/10.3390/cryst8070259
APA StyleZhang, Y., Liu, L.-Z., Pan, Y.-Q., & Dong, W.-K. (2018). Structural Characterized Homotrinuclear ZnII Bis(Salamo)-Based Coordination Compound: Hirshfeld Surfaces, Fluorescent and Antimicobial Properties. Crystals, 8(7), 259. https://doi.org/10.3390/cryst8070259

