Trinuclear Co(II) and Mononuclear Ni(II) Salamo-Type Bisoxime Coordination Compounds
Abstract
:1. Introduction
2. Experimental
2.1. Materials and Methods
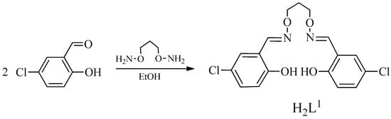
2.2. Synthesis of H2L1
2.3. Syntheses of Coordination Compounds 1, 2, and 3
2.3.1. Synthesis of Coordination Compound 1
2.3.2. Synthesis of Coordination Compound 2
2.3.3. Synthesis of Coordination Compound 3
2.4. Crystal Structures of Coordination Compounds 1 and 2
3. Results and Discussion
3.1. IR Spectra
3.2. UV-Vis Spectra
3.3. Description of the Crystal Structures
3.3.1. Crystal Structure of Coordination Compound 1
3.3.2. Crystal Structure of Coordination Compound 2
3.4. Fluorescence Properties
3.5. Antimicrobial Activities
4. Conclusions
Supplementary Materials
Supplementary File 1Acknowledgments
Author Contributions
Conflicts of Interest
References
- Sun, Y.X.; Zhang, S.T.; Ren, Z.L.; Dong, X.Y.; Wang, L. Synthesis, characterization, and crystal structure of a new supramolecular CdII complex with halogen-substituted salen-type bisoxime. Synth. React. Inorg. Met.-Org. Nano-Met. Chem. 2013, 43, 995–1000. [Google Scholar] [CrossRef]
- Chai, L.Q.; Wang, G.; Sun, Y.X.; Dong, W.K.; Zhao, L.; Gao, X.H. Synthesis, crystal structure, and fluorescence of an unexpected dialkoxo-bridged dinuclear copper(II) complex with bis(salen)-type tetraoxime. J. Coord. Chem. 2012, 65, 1621–1631. [Google Scholar] [CrossRef]
- Song, X.Q.; Liu, P.P.; Liu, Y.A.; Zhou, J.J.; Wang, X.L. Two dodecanuclear heterometallic [Zn6Ln6] clusters constructed by a multidentate salicylamide salen-like ligand: Synthesis, structure, luminescence and magnetic properties. Dalton Trans. 2016, 45, 8154–8163. [Google Scholar] [CrossRef] [PubMed]
- Li, X.Y.; Chen, L.; Gao, L.; Zhang, Y.; Akogun, S.F.; Dong, W.K. Syntheses, crystal structures and catalytic activities of two solvent-induced homotrinuclear Co(II) complexes with a naphthalenediol-based bis(Salamo)-type tetraoxime ligand. RSC Adv. 2017, 7, 35905–35916. [Google Scholar] [CrossRef]
- Haak, R.M.; Decortes, A.; Escudero, E.C.; Belmonte, M.M.; Martin, E.; Buchholz, J.B.; Kleij, A.W. Shape-persistent octanuclear zinc salen clusters: Synthesis, characterization, and catalysis. Inorg. Chem. 2011, 50, 7934–7936. [Google Scholar] [CrossRef] [PubMed]
- Wu, H.L.; Bai, Y.C.; Zhang, Y.H.; Pan, G.L.; Kong, J.; Shi, F.; Wang, X.L. Two lanthanide(III) complexes based on the schiff base N,N-Bis(salicylidene)-1,5-diamino-3-oxapentane: Synthesis, characterization, DNA-binding properties, and antioxidation. Z. Anorg. Allg. Chem. 2014, 640, 2062–2071. [Google Scholar] [CrossRef]
- Chen, C.Y.; Zhang, J.W.; Zhang, Y.H.; Yang, Z.H.; Wu, H.L. Gadolinium(III) and dysprosium(III) complexes with a Schiff base bis(N-salicylidene)-3-oxapentane-1,5-diamine: Synthesis, characterization, antioxidation, and DNA-binding studies. J. Coord. Chem. 2015, 68, 1054–1071. [Google Scholar] [CrossRef]
- Wu, H.L.; Pan, G.L.; Wang, H.; Wang, X.L.; Bai, Y.C.; Zhang, Y.H. Study on synthesis, crystal structure, antioxidant and DNA-binding of mono-, di- and poly-nuclear lanthanides complexes with bis(N-salicylidene)-3-oxapentane-1,5-diamine. J. Photochem. Photobiol. B Biol. 2014, 135, 33–43. [Google Scholar] [CrossRef] [PubMed]
- Wu, H.L.; Wang, C.P.; Wang, F.; Peng, H.P.; Zhang, H.; Bai, Y.C. A new manganese(III) complex from bis(5-methylsalicylaldehyde)-3-oxapentane-1,5-diamine: Synthesis, characterization, antioxidant activity and luminescence. J. Chin. Chem. Soc. 2015, 62, 1028–1034. [Google Scholar] [CrossRef]
- Wu, H.L.; Bai, Y.C.; Zhang, Y.H.; Li, Z.; Wu, M.C.; Chen, C.Y.; Zhang, J.W. Synthesis, crystal structure, antioxidation and DNA-binding properties of a dinuclear copper(II) complex with bis(N-salicylidene)-3-oxapentane-1, 5-diamine. J. Coord. Chem. 2014, 67, 3054–3066. [Google Scholar] [CrossRef]
- Chai, L.Q.; Tang, L.J.; Chen, L.C.; Huang, J.J. Structural, spectral, electrochemical and DFT studies of two mononuclear manganese(II) and zinc(II) complexes. Polyhedron 2017, 122, 228–240. [Google Scholar] [CrossRef]
- Dong, Y.J.; Li, X.L.; Zhang, Y.; Dong, W.K. A highly selective visual and fluorescent sensor for Pb2+ and Zn2+ and crystal structure of Cu2+ complex based-on a novel single-armed Salamo-type bisoxime. Supramol. Chem. 2017, 29, 518–527. [Google Scholar] [CrossRef]
- Dong, W.K.; Li, X.L.; Wang, L.; Zhang, Y.; Ding, Y.J. A new application of Salamo-type bisoximes: As a relay-sensor for Zn2+/Cu2+ and its novel complexes for successive sensing of H+/OH−. Sens. Actuators B 2016, 229, 370–378. [Google Scholar] [CrossRef]
- Wang, B.J.; Dong, W.K.; Zhang, Y.; Akogun, S.F. A novel relay-sensor for highly sensitive and selective detection of Zn2+/Pic− and fluorescence on/off switch response of H+/OH−. Sens. Actuators B 2017, 247, 254–264. [Google Scholar] [CrossRef]
- Wang, F.; Gao, L.; Zhao, Q.; Zhang, Y.; Dong, W.K.; Ding, Y.J. A highly selective fluorescent chemosensor for CN− based on a novel bis(salamo)-type tetraoxime ligand. Spectrochim. Acta Part A 2018, 190, 111–115. [Google Scholar] [CrossRef] [PubMed]
- Dong, W.K.; Akogun, S.F.; Zhang, Y.; Sun, Y.X.; Dong, X.Y. A reversible “turn-on” fluorescent sensor for selective detection of Zn2+. Sens. Actuators B 2017, 238, 723–734. [Google Scholar] [CrossRef]
- Wang, L.; Ma, J.C.; Dong, W.K.; Zhu, L.C.; Zhang, Y. A novel Self-assembled nickel(II)-cerium(III) heterotetranuclear dimer constructed from N2O2-type bisoxime and terephthalic acid: Synthesis, structure and photophysical properties. Z. Anorg. Allg. Chem. 2016, 642, 834–839. [Google Scholar] [CrossRef]
- Chai, L.Q.; Huang, J.J.; Zhang, J.Y.; Li, Y.X. Two 1-D and 2-D cobalt(II) complexes: Synthesis, crystal structures, spectroscopic and electrochemical properties. J. Coord. Chem. 2015, 68, 1224–1237. [Google Scholar] [CrossRef]
- Zheng, S.S.; Dong, W.K.; Zhang, Y.; Chen, L.; Ding, Y.J. Four Salamo-type 3d-4f hetero-bimetallic [ZnIILnIII] complexes: Syntheses, crystal structures, and luminescent and magnetic properties. New J. Chem. 2017, 41, 4966–4973. [Google Scholar] [CrossRef]
- Dong, W.K.; Ma, J.C.; Zhu, L.C.; Zhang, Y. Self-assembled zinc(II)-lanthanide(III) heteromultinuclear complexes constructed from 3-MeOsalamo ligand: Syntheses, structures and luminescent properties. Cryst. Growth Des. 2016, 16, 6903–6914. [Google Scholar] [CrossRef]
- Liu, Y.A.; Wang, C.Y.; Zhang, M.; Song, X.Q. Structures and magnetic properties of cyclic heterometallic tetranuclear clusters. Polyhedron 2017, 127, 278–286. [Google Scholar] [CrossRef]
- Song, X.Q.; Liu, P.P.; Xiao, Z.R.; Li, X.; Liu, Y.A. Four polynuclear complexes based on a versatile salicylamide salen-like ligand: Synthesis, structural variations and magnetic properties. Inorg. Chim. Acta 2015, 438, 232–244. [Google Scholar] [CrossRef]
- Liu, P.P.; Wang, C.Y.; Zhang, M.; Song, X.Q. Pentanuclear sandwich-type ZnII-LnIII clusters based on a new Salen-like salicylamide ligand: Structure, near-infrared emission and magnetic properties. Polyhedron 2017, 129, 133–140. [Google Scholar] [CrossRef]
- Liu, P.P.; Sheng, L.; Song, X.Q.; Xu, W.Y.; Liu, Y.A. Synthesis, structure and magnetic properties of a new one dimensional manganese coordination polymer constructed by a new asymmetrical ligand. Inorg. Chim. Acta 2015, 434, 252–257. [Google Scholar] [CrossRef]
- Dong, X.Y.; Akogun, S.F.; Zhou, W.M.; Dong, W.K. Tetranuclear Zn(II) complex based on an asymmetrical Salamo-type chelating ligand: Synthesis, structural characterization, and fluorescence property. J. Chin. Chem. Soc. 2017, 64, 412–419. [Google Scholar] [CrossRef]
- Song, X.Q.; Cheng, G.Q.; Liu, Y.A. Enhanced Tb(III) luminescence by d10 transition metal coordination. Inorg. Chim. Acta 2016, 450, 386–394. [Google Scholar] [CrossRef]
- Dong, Y.J.; Ma, J.C.; Zhu, L.C.; Dong, W.K.; Zhang, Y. Four 3d-4f heteromultinuclear zinc(II)-lanthanide(III) complexes constructed from a distinct hexadentate N2O2-type ligand: Syntheses, structures and photophysical properties. J. Coord. Chem. 2017, 70, 103–115. [Google Scholar] [CrossRef]
- Dong, W.K.; Zheng, S.S.; Zhang, J.T.; Zhang, Y.; Sun, Y.X. Luminescent properties of heterotrinuclear 3d-4f complexes constructed from a naphthalenediol-based acyclic bis(salamo)-type ligand. Spectrochim. Acta Part A 2017, 184, 141–150. [Google Scholar] [CrossRef] [PubMed]
- Hao, J.; Li, L.L.; Zhang, J.T.; Akogun, S.F.; Wang, L.; Dong, W.K. Four homo- and hetero-bismetallic 3d/3d-2s complexes constructed from a naphthalenediol-based acyclic bis(salamo)-type tetraoxime ligand. Polyhedron 2017, 134, 1–10. [Google Scholar] [CrossRef]
- Gao, L.; Wang, F.; Zhao, Q.; Zhang, Y.; Dong, W.K. Mononuclear Zn(II) and trinuclear Ni(II) complexes derived from a coumarin-containing N2O2 ligand: Syntheses, crystal structures and fluorescence properties. Polyhedron 2018, 139, 7–16. [Google Scholar] [CrossRef]
- Akine, S.; Taniguchi, T.; Dong, W.K.; Masubuchi, S.; Nabeshima, T. Oxime-based salen-type tetradentate ligands with high stability against imine metathesis reaction. J. Org. Chem. 2005, 70, 1704–1711. [Google Scholar] [CrossRef] [PubMed]
- Wang, L.; Li, X.Y.; Zhao, Q.; Li, L.H.; Dong, W.K. Fluorescence properties of heterotrinuclear Zn(II)-M(II) (M=Ca, Sr and Ba) bis(salamo)-type complexes. RSC Adv. 2017, 7, 48730–48737. [Google Scholar] [CrossRef]
- Wang, P.; Zhao, L. An infinite 2D supramolecular cobalt(II) complex based on an asymmetric Salamo-type ligand: Synthesis, crystal structure, and spectral properties. Synth. React. Inorg. Met.-Org. Nano-Met. Chem. 2016, 46, 1095–1101. [Google Scholar] [CrossRef]
- Chai, L.Q.; Zhang, K.Y.; Tang, L.J.; Zhang, J.Y.; Zhang, H.S. Two mono- and dinuclear Ni(II) complexes constructed from quinazoline-type ligands: Synthesis, X-ray structures, spectroscopic, electrochemical, thermal, and antimicrobial studies. Polyhedron 2017, 130, 100–107. [Google Scholar] [CrossRef]
- Akine, S.; Taniguchi, T.; Nabeshima, T. Novel synthetic approach to trinuclear 3d-4f complexes: Specific exchange of the central metal of a trinuclear zinc(II) complex of a tetraoxime ligand with a lanthanide(III) ion. Angew. Chem. Int. Ed. 2002, 41, 4670–4673. [Google Scholar] [CrossRef] [PubMed]
- Dong, W.K.; Duan, J.G.; Guan, Y.H.; Shi, J.Y.; Zhao, C.Y. Synthesis, crystal structure and spectroscopic behaviors of Co(II) and Cu(II) complexes with Salen-type bisoxime ligands. Inorg. Chim. Acta 2009, 362, 1129–1134. [Google Scholar] [CrossRef]
- Dong, W.K.; Sun, Y.X.; Zhao, C.Y.; Dong, X.Y.; Xu, L. Synthesis, structure and properties of supramolecular MnII, CoII, NiII and ZnII complexes containing Salen-type bisoxime ligands. Polyhedron 2010, 29, 2087–2097. [Google Scholar] [CrossRef]
- Dong, W.K.; Duan, J.G. A trinuclear Ni(II) cluster with two significantly different configurations in the solid state. J. Coord. Chem. 2008, 61, 781–788. [Google Scholar] [CrossRef]
- Sun, Y.X.; Zhang, Y.J.; Meng, W.S.; Li, X.R.; Lu, R.E. Synthesis and crystal structure of new nickel(II) complex with Salen-type bisoxime ligand. Asian J. Chem. 2014, 26, 416–418. [Google Scholar]
- Gao, X.H.; Dong, X.Y.; Li, L.; Sun, Y.X.; Dong, W.K. Crystal structure of bis[(3,3′-dimethoxy-2,2′-1,3-propylene)dioxybis(nitrilomethylidyne)diphenolato]-bis(acetato-O1,O2)-bis(ethanol-O)trinickel(II)-ethanol-acetone (1:2:1.06), Ni3(C19H20N2O6)2(C2H5OH)2(C2H3O2)2·2C2H5OH·1.06C3H6O. Z. Kristallogr. NCS 2011, 226, 138–140. [Google Scholar] [CrossRef]
- Dong, W.K.; Duan, J.G.; Xu, L.; Sun, Y.X.; Shi, J.Y.; Tang, X.L. Synthesis, characterization and crystal structure of a trinuclear Ni(II) cluster. Chin. J. Inorg. Chem. 2009, 25, 522–527. [Google Scholar]
- Dong, W.K.; Li, L.; Sun, Y.X.; Tong, J.F.; Wu, J.C. Syntheses, structures and properties of 3,3’-dimethoxy-2,2’-[(1,3-propylene)dioxybis(nitrilomethylidyne)]diphenol and its Ni(II) cluster. Synth. React. Inorg. Met.-Org. Nano-Met. Chem. 2012, 41, 716–724. [Google Scholar] [CrossRef]
- Dong, W.K.; Li, L.; Sun, Y.X.; Tong, J.F.; Wu, J.C. Supramolecular cobalt(II) complexes: Syntheses, crystal structures and solvent effects. Transit. Met. Chem. 2010, 35, 787–794. [Google Scholar] [CrossRef]
- Dong, W.K.; Yao, J.; Sun, Y.X. Synthesis, characterization, and crystal structure of a tri-nuclear cobalt(II) cluster. Synth. React. Inorg. Met.-Org. Nano-Met. Chem. 2011, 41, 177–181. [Google Scholar]
- Dong, W.K.; Shi, J.Y.; Zhong, J.K.; Sun, Y.X.; Duan, J.G. Synthesis and structural characterization of a novel tricobalt cluster with 4,4′-dichloro-2,2′-[(1,3-propylene)dioxybis(nitrilomethylidyne)]diphenol. Struct. Chem. 2008, 19, 95–99. [Google Scholar] [CrossRef]
- Dong, W.K.; Duan, J.G.; Liu, G.L.; Shi, J.Y. Synthesis, characterization and crystal structure of a novel tri-nuclear Ni(II) cluster bearing tetra-µ-phenoxo and di-µ-acetato bridges. Synth. React. Inorg. Met.-Org. Nano-Met. Chem. 2007, 37, 627–631. [Google Scholar]
- Dong, W.K.; Ma, J.C.; Zhu, L.C.; Zhang, Y.; Li, X.L. Four new nickel(II) complexes based on an asymmetric Salamo-type ligand: Synthesis, structure, solvent effect and electrochemical property. Inorg. Chim. Acta 2016, 445, 140–148. [Google Scholar] [CrossRef]
- Dong, W.K.; Shi, J.Y.; Zhong, J.K.; Tian, Y.Q.; Duan, J.G. Synthesis, crystal structure and infrared spectral analysis for a trinuclear nickel(II) cluster. Chin. J. Inorg. Chem. 2008, 24, 10–14. [Google Scholar]
- Dong, W.K.; Chen, X.; Sun, Y.X.; Yang, Y.H.; Zhao, L.; Xu, L.; Yu, T.Z. Synthesis, structure and spectroscopic properties of two new trinuclear nickel(II) clusters possessing solvent effect. Spectrochim. Acta Part A 2009, 74, 719–725. [Google Scholar] [CrossRef] [PubMed]
- Dong, W.K.; Shi, J.Y.; Xu, L.; Zhong, J.K.; Duan, J.G.; Zhang, Y.P. Synthesis, crystal structure and infrared spectra of Cu(II) and Co(II) complexes with 4,4′-dichloro-2,2′-[ethylene dioxybis(nitrilomethylidyne)]diphenol. Appl. Organometal. Chem. 2008, 22, 89–96. [Google Scholar] [CrossRef]
- Sheldrick, G.M. SHELXS 97, Program for Crystal Structure Solution; University of Göttingen: Göttingen, Germany, 1997. [Google Scholar]
- Sheldrick, G.M. SHELXL 97, Program for Crystal Structure Refinement; University of Göttingen: Göttingen, Germany, 1997. [Google Scholar]
- Xu, L.; Zhu, L.C.; Ma, J.C.; Zhang, Y.; Zhang, J.; Dong, W.K. Syntheses, structures and spectral properties of mononuclear CuII and dimeric ZnII complexes based on an asymmetric Salamo-type N2O2 ligand. Z. Anorg. Allg. Chem. 2015, 641, 2520–2524. [Google Scholar] [CrossRef]
- Zhang, H.; Dong, W.K.; Zhang, Y.; Akogun, S.F. Naphthalenediol-based bis(Salamo)-type homo- and heterotrinuclear cobalt(II) complexes: Syntheses, structures and magnetic properties. Polyhedron 2017, 133, 279–293. [Google Scholar] [CrossRef]
- Yang, Y.H.; Hao, J.; Dong, Y.J.; Wang, G.; Dong, W.K. Two znic(II) complexes constructed from a bis(salamo)-type tetraoxime ligand: Syntheses, crystal structures and luminescence properties. Chin. J. Inorg. Chem. 2017, 33, 1280–1292. [Google Scholar]
- Sun, Y.X.; Xu, L.; Zhao, T.H.; Liu, S.H.; Liu, G.H.; Dong, X.T. Synthesis and crystal structure of a 3D supramolecular copper(II) complex with 1-(3-{[(E)-3-bromo-5-chloro-2-hydroxybenzylidene]amino}phenyl) ethanone oxime. Synth. React. Inorg. Met.-Org. Nano-Met. Chem. 2013, 43, 509–513. [Google Scholar] [CrossRef]
- Wang, L.; Hao, J.; Zhai, L.X.; Zhang, Y.; Dong, W.K. Synthesis, crystal structure, luminescence, electrochemical and antimicrobial properties of bis(salamo)-based Co(II) complex. Crystals 2017, 7, 277. [Google Scholar] [CrossRef]
- Zhao, L.; Dang, X.T.; Chen, Q.; Zhao, J.X.; Wang, L. Synthesis, Crystal Structure and Spectral Properties of a 2D Supramolecular Copper(II) Complex With 1-(4-{[(E)-3-ethoxyl-2-hydroxybenzylidene]amino}phenyl)ethanone Oxime. Synth. React. Inorg. Met.-Org. Nano-Met. Chem. 2013, 43, 1241–1246. [Google Scholar] [CrossRef]
- Dong, X.Y.; Gao, L.; Wang, F.; Zhang, Y.; Dong, W.K. Tri- and Mono-Nuclear Zinc(II) Complexes Based on Half- and Mono-Salamo Chelating Ligands. Crystals 2017, 7, 267. [Google Scholar] [CrossRef]
- Wang, P.; Zhao, L. Synthesis and crystal structure of supramolecular copper(II) complex based on N2O2 coordination Sphere. Asian J. Chem. 2015, 4, 1424–1426. [Google Scholar] [CrossRef]
- Dong, X.Y.; Kang, Q.P.; Jin, B.X.; Dong, W.K. A dinuclear nickel(II) complex derived from an asymmetric Salamo-type N2O2 chelate ligand: Synthesis, structure and optical properties. Z. Naturforsch. 2017, 72, 415–420. [Google Scholar] [CrossRef]
- Sun, Y.X.; Gao, X.H. Synthesis, characterization, and crystal structure of a new CuII complex with salen-type ligand. Synth. React. Inorg. Met.-Org. Nano-Met. Chem. 2011, 41, 973–978. [Google Scholar] [CrossRef]
- Li, G.; Hao, J.; Liu, L.Z.; Zhou, W.M.; Dong, W.K. Syntheses, crystal structures and thermal behaviors of two supramolecular salamo-type cobalt(II) and zinc(II) complexes. Crystals 2017, 7, 217. [Google Scholar]
- Wang, P.; Zhao, L. Synthesis, structure and spectroscopic properties of the trinuclear cobalt(II) and nickel(II) complexes based on 2-hydroxynaphthaldehyde and bis(aminooxy)alkane. Spectrochim. Acta Part A 2015, 135, 342–350. [Google Scholar] [CrossRef] [PubMed]
- Ma, J.C.; Dong, X.Y.; Dong, W.K.; Zhang, Y.; Zhu, L.C.; Zhang, J.T. An unexpected dinuclear Cu(II) complex with a bis(Salamo) chelating ligand: Synthesis, crystal structure, and photophysical properties. J. Coord. Chem. 2016, 69, 149–159. [Google Scholar] [CrossRef]
- Dong, X.Y.; Li, X.Y.; Liu, L.Z.; Zhang, H.; Ding, Y.J.; Dong, W.K. Tri- and hexanuclear heterometallic Ni(II)–M(II) (M=Ca, Sr and Ba) bis(salamo)-type complexes: Synthesis, structure and fluorescence properties. RSC Adv. 2017, 7, 48394–48403. [Google Scholar] [CrossRef]
- Sun, Y.X.; Wang, L.; Dong, X.Y.; Ren, Z.L.; Meng, W.S. Synthesis, characterization, and crystal structure of a supramolecular CoII complex containing Salen-type bisoxime. Synth. React. Inorg. Met.-Org. Nano-Met. Chem. 2013, 43, 599–603. [Google Scholar] [CrossRef]
- Tao, C.H.; Ma, J.C.; Zhu, L.C.; Zhang, Y.; Dong, W.K. Heterobimetallic 3d-4f Zn(II)-Ln(III) (Ln=Sm, Eu, Tb and Dy) complexes with a N2O4 bisoxime chelate ligand and a simple auxiliary ligand Py: Syntheses, structures and luminescence properties. Polyhedron 2017, 128, 38–45. [Google Scholar] [CrossRef]
- Bernstein, J.; Davis, R.E.; Shimoni, L.; Chang, N.L. Patterns in hydrogen bonding: Functionality and graph set analysis in crystals. Angew. Chem. Int. Ed. Engl. 1995, 34, 1555–1573. [Google Scholar] [CrossRef]
- Kruszynski, R.; Sierański, T. Can stacking interactions exist beyond the commonly accepted limits? Cryst. Growth Des. 2016, 16, 587–595. [Google Scholar] [CrossRef]
- Chen, L.; Dong, W.K.; Zhang, H.; Zhang, Y.; Sun, Y.X. Structural variation and luminescence properties of tri- and dinuclear CuII and ZnII complexes constructed from a naphthalenediol-based bis(Salamo)-type ligand. Cryst. Growth Des. 2017, 17, 3636–3648. [Google Scholar] [CrossRef]
- Chai, L.Q.; Liu, G.; Zhang, Y.L.; Huang, J.J.; Tong, J.F. Synthesis, crystal structure, fluorescence, electrochemical property, and SOD-like activity of an unexpected nickel(II) complex with a quinazoline-type ligand. J. Coord. Chem. 2013, 66, 3926–3938. [Google Scholar] [CrossRef]
- Dong, Y.J.; Dong, X.Y.; Dong, W.K.; Zhang, Y.; Zhang, L.S. Three asymmetric Salamo-type copper(II) and cobalt(II) complexes: Syntheses, structures, fluorescent properties. Polyhedron 2017, 123, 305–315. [Google Scholar] [CrossRef]
- Song, X.Q.; Peng, Y.J.; Chen, G.Q.; Wang, X.R.; Liu, P.P.; Xu, W.Y. Substituted group-directed assembly of Zn(II) coordination complexes based on two new structural related pyrazolone based Salen ligands: Syntheses, structures and fluorescence properties. Inorg. Chim. Acta 2015, 427, 13–21. [Google Scholar] [CrossRef]
- Wu, H.L.; Bai, Y.; Yuan, J.K.; Wang, H.; Pan, G.L.; Fan, X.Y.; Kong, J. A zinc(II) complex with tris(2-(N-methyl)benzimidazlylmethyl)amine and salicylate: Synthesis, crystal structure, and DNA-binding. J. Coord. Chem. 2012, 65, 2839–2851. [Google Scholar] [CrossRef]
- Wu, H.L.; Pan, G.L.; Bai, Y.C.; Wang, H.; Kong, J. Synthesis, structure, antioxidation, and DNA-bindingstudies of a binuclear ytterbium(III) complex with bis(N-salicylidene)-3-oxapentane-1,5-diamine. Res. Chem. Intermed. 2015, 41, 3375–3388. [Google Scholar] [CrossRef]
- Wu, H.L.; Pan, G.L.; Bai, Y.C.; Wang, H.; Kong, J.; Shi, F.; Zhang, Y.H.; Wang, X.L. Preparation, structure, DNA-binding properties, and antioxidant activities of a homodinuclear erbium(III) complex with a pentadentate Schiff base ligand. J. Chem. Res. 2014, 38, 211–217. [Google Scholar] [CrossRef]











| Coordination Compound | 1 | 2 |
|---|---|---|
| Formula | C44H46Cl4Co3N4O14 | C18H18Cl2N2NiO4 |
| Formula weight | 1173.44 | 455.95 |
| Temperature (K) | 293(2) | 294.29(10) |
| Wavelength (Å) | 0.71073 | 0.71073 |
| Crystal system | triclinic | monoclinic |
| Space group | P-1 | P21/c |
| a (Å) | 9.6429(13) | 26.642(2) |
| b (Å) | 11.4136(15) | 5.0020(4) |
| c (Å) | 12.5954(17) | 13.8504(14) |
| α (°) | 99.797(2) | 90 |
| β (°) | 106.340(2) | 92.278(9) |
| γ (°) | 104.907(2) | 90 |
| V (Å3) | 1240.7(3) | 1844.3(3) |
| Z | 1 | 4 |
| Dcalc (g∙cm–3) | 1.570 | 1.642 |
| µ (mm–1) | 1.274 | 1.369 |
| F (000) | 599 | 936 |
| Crystal size (mm) | 0.18 × 0.22 × 0.25 | 0.04 × 0.05 × 0.14 |
| θ Range (°) | 1.75–25.008 | 3.372–26.022 |
| Index ranges | –11 ≤ h ≤ 8 | –32 ≤ h ≤ 32 |
| –13 ≤ k ≤ 13 | –6 ≤ k ≤ 6 | |
| –14 ≤ l ≤ 14 | –16 ≤ l ≤ 17 | |
| Reflections collected | 6937 | 3674 |
| Independent reflections | 4359 | 1808 |
| Rint | 0.0175 | 0.0584 |
| Completeness to θ | 99.5% (θ = 25.01) | 99.7% (θ = 25.242) |
| Data/restraints/parameters | 4359/0/316 | 1808/0/129 |
| GOF | 1.046 | 1.017 |
| Final R1, wR2 indices | 0.0376, 0.1038 | 0.0526, 0.0882 |
| R1 a, wR2 b indices (all data) | 0.0429, 0.1096 | 0.0899, 0.1105 |
| Largest differences peak and hole (e Å−3) | 0.844/−0.478 | 0.449/−0.368 |
| Coordination Compound 1 | |||
| Bond | Lengths | Bond | Lengths |
| Co1-O1 | 2.0948(17) | Co1-O2 | 2.1438(16) |
| Co1-O5 | 2.0884(17) | Co1-O1#1 | 2.0948(17) |
| Co1-O2#1 | 2.1437(16) | Co1-O5#1 | 2.0884(17) |
| Co2-O1 | 2.0756(16) | Co2-O2 | 2.0177(17) |
| Co2-O6 | 2.0224(19) | Co2-O7 | 2.276(2) |
| Co2-N1 | 2.109(2) | Co2-N2 | 2.208(2) |
| Bond | Angles | Bond | Angles |
| O1-Co1-O2 | 76.14(6) | O5-Co1-O1 | 88.26(7) |
| O1-Co1-O1#1 | 180.0 | O1-Co1-O2#1 | 103.86(6) |
| O5#1-Co1-O1 | 91.74(7) | O5-Co1-O2 | 87.37(7) |
| O1#1-Co1-O2 | 103.86(6) | O2-Co1-O2#1 | 180.0 |
| O5#1-Co1-O2 | 92.63(7) | O5-Co1-O1#1 | 91.74(7) |
| O5-Co1-O2#1 | 92.63(7) | O5#1-Co1-O5 | 180.0 |
| O1#1-Co1-O2#1 | 76.14(6) | O5#1-Co1-O1#1 | 88.26(7) |
| O5#1-Co1-O2#1 | 87.37(7) | O2-Co2-O1 | 79.36(7) |
| O6-Co2-O1 | 91.68(7) | O1-Co2-O7 | 99.74(8) |
| O1-Co2-N1 | 84.64(7) | O1-Co2-N2 | 164.08(8) |
| O2-Co2-O6 | 99.88(8) | O2-Co2-O7 | 86.31(7) |
| O2-Co2-N1 | 160.21(8) | O2-Co2-N2 | 84.77(7) |
| O6-Co2-O7 | 167.88(7) | O6-Co2-N1 | 92.09(8) |
| O6-Co2-N2 | 89.78(9) | N1-Co2-O7 | 85.00(8) |
| N2-Co2-O7 | 80.36(8) | N1-Co2-N2 | 111.15(8) |
| Coordination Compound 2 | |||
| Bond | Lengths | Bond | Lengths |
| Ni1-O1 | 1.914(3) | Ni1-N1 | 1.918(4) |
| Ni1-O1#2 | 1.914(3) | Ni1-N1#2 | 1.918(4) |
| Bond | Angles | Bond | Angles |
| O1-Ni1-N1 | 92.15(15) | O1#2-Ni1-O1 | 180.0 |
| O1-Ni1-N1#2 | 87.85(15) | O1#2-Ni1-N1 | 87.85(15) |
| N1-Ni1-N1#2 | 180.0 | O1#2-Ni1-N1#2 | 92.15(15) |
| D–H···A | D–H | H···A | D···A | D–H···A |
|---|---|---|---|---|
| Coordination compound 1 | ||||
| C2–H2···O2 | 0.93 | 2.58 | 3.281(3) | 133 |
| C8–H8B···O7 | 0.97 | 2.53 | 3.425(4) | 153 |
| C10–H10B···O3 | 0.97 | 2.54 | 2.931(5) | 104 |
| C10–H10B···O6 | 0.97 | 2.45 | 3.329(4) | 150 |
| C16–H16···O5 | 0.93 | 2.48 | 3.207(3) | 135 |
| C20–H20C···O5 | 0.96 | 2.49 | 3.358(5) | 151 |
© 2018 by the authors. Licensee MDPI, Basel, Switzerland. This article is an open access article distributed under the terms and conditions of the Creative Commons Attribution (CC BY) license (http://creativecommons.org/licenses/by/4.0/).
Share and Cite
Li, X.-Y.; Kang, Q.-P.; Liu, L.-Z.; Ma, J.-C.; Dong, W.-K. Trinuclear Co(II) and Mononuclear Ni(II) Salamo-Type Bisoxime Coordination Compounds. Crystals 2018, 8, 43. https://doi.org/10.3390/cryst8010043
Li X-Y, Kang Q-P, Liu L-Z, Ma J-C, Dong W-K. Trinuclear Co(II) and Mononuclear Ni(II) Salamo-Type Bisoxime Coordination Compounds. Crystals. 2018; 8(1):43. https://doi.org/10.3390/cryst8010043
Chicago/Turabian StyleLi, Xiao-Yan, Quan-Peng Kang, Ling-Zhi Liu, Jian-Chun Ma, and Wen-Kui Dong. 2018. "Trinuclear Co(II) and Mononuclear Ni(II) Salamo-Type Bisoxime Coordination Compounds" Crystals 8, no. 1: 43. https://doi.org/10.3390/cryst8010043
APA StyleLi, X.-Y., Kang, Q.-P., Liu, L.-Z., Ma, J.-C., & Dong, W.-K. (2018). Trinuclear Co(II) and Mononuclear Ni(II) Salamo-Type Bisoxime Coordination Compounds. Crystals, 8(1), 43. https://doi.org/10.3390/cryst8010043

