Structures and Energetic Properties of Two New Salts Comprising the 5,5'-Azotetrazolate Dianion
Abstract
:1. Introduction
2. Results and Discussion
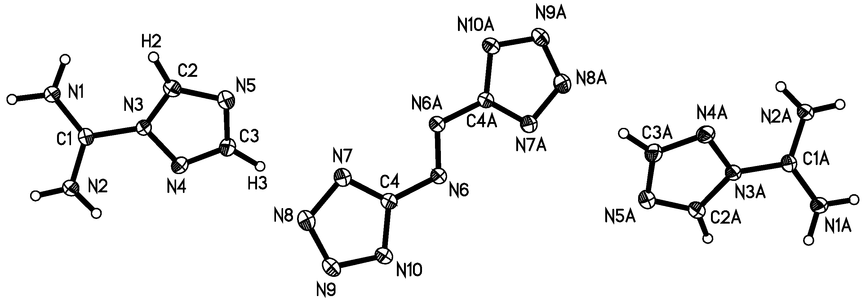
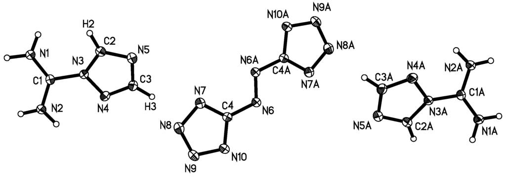
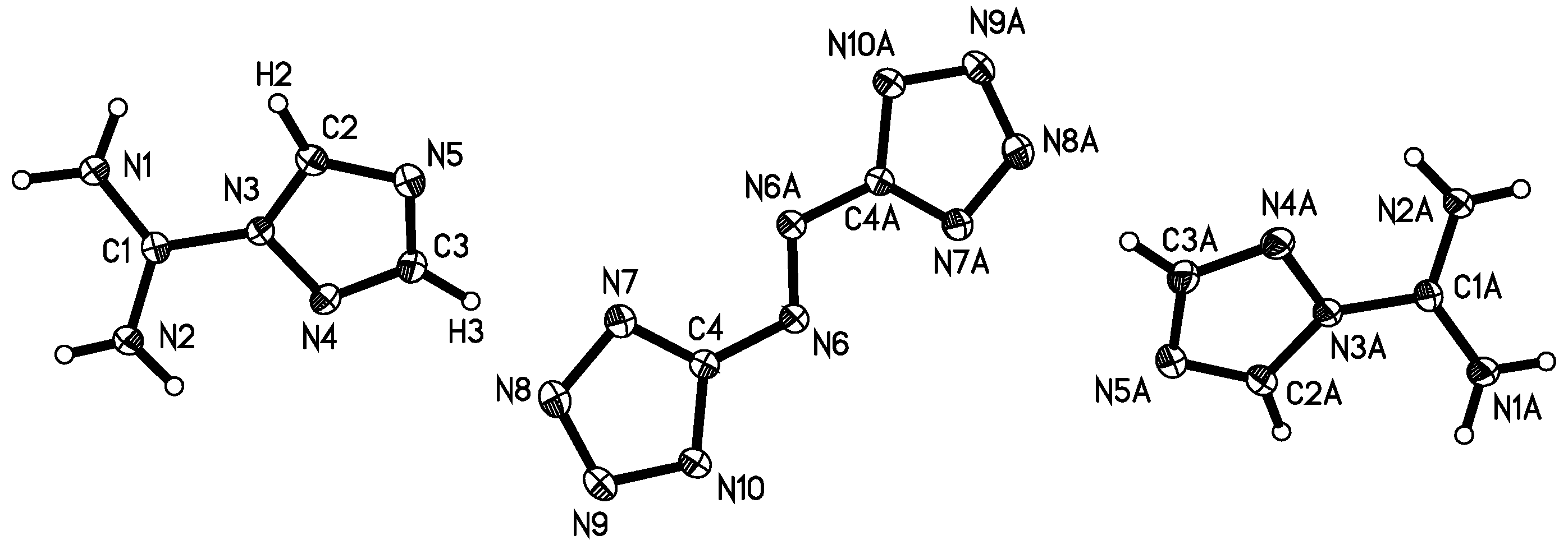
2.1. Synthesis and Characterization of Tetraphenylphosphonium-5,5'-azotetrazolate (1)



| Compound | 1 | 2 |
|---|---|---|
| CCDC No. | 1404740 | 1404741 |
| Empirical formula | C25H24N5O2P | C8H12N20 |
| a (Å) | 10.159(2) | 11.6127(2) |
| b (Å) | 10.632(2) | 9.95120(10) |
| c (Å) | 11.632(2) | 6.81850(10) |
| α (°) | 80.34(3) | 90 |
| β (°) | 80.22(3) | 103.383(2) |
| γ (°) | 72.85(3) | 90 |
| V (Å3) | 1173.9(4) | 766.551(19) |
| Z | 2 | 2 |
| Formula weight | 457.46 | 388.38 |
| Space group | Pī | P21/c |
| T (°C) | –140 | –173 |
| λ (Å) | 0.71073 | 0.71073 |
| Crystal size (mm3) | 0.29 × 0.18 × 0.15 | 0.35 × 0.27 × 0.25 |
| Crystal colour/shape | yellow/prism | yellow/prism |
| Reflections collected | 14492 | 32565 |
| Independent reflections | 6289 | 1889 |
| R (int) | 0.0736 | 0.0329 |
| Dcalcd (g·cm−3) | 1.294 | 1.683 |
| μ (mm−1) | 0.149 | 0.128 |
| F(000) | 480 | 400 |
| data/restraints/parameters | 6289/0/314 | 1889/0/151 |
| goodness-of-fit on F2 | 1.126 | 1.086 |
| Final R1 indice [I > 2sigma(I)] | 0.0735 | 0.0326 |
| Final R2 indice [I > 2sigma(I)] | 0.1160 | 0.0772 |
| R1 indice (all data) | 0.1146 | 0.0376 |
| R2 indice (all data) | 0.1267 | 0.0796 |
| Largest diff. peak/hole (e. Å–3) | 0.447/–0.306 | 0.274/–0.268 |



| D–H…A | d(D–H) | d(H…A) | d(D…A) |
|---|---|---|---|
| O(1)–H(1)…O(2)#2 | 0.87 (4) | 1.95 (4) | 2.811 (3) |
| O(1)–H(2)…N(5) | 0.87 (4) | 2.28 (4) | 3.115 (3) |
| O(1)–H(2)…N(1)#1 | 0.87 (4) | 2.62 (4) | 3.274 (3) |
| O(2)–H(3)…N(3) | 0.88 (4) | 2.05 (4) | 2.925 (3) |
| O(2)–H(4)…N(2)#3 | 0.79 (4) | 2.14 (4) | 2.913 (3) |
2.2. Synthesis and Characterization of 1H-1,2,4-triazole-1-carboxamidine-5,5'-azotetrazolate (2)





| D–H…A | d(D–H) | d(H…A) | d(D…A) | <(DHA) |
|---|---|---|---|---|
| N(2)–H(2NA)…N(5)#2 | 0.870(15) | 2.139(15) | 2.9883(13) | 165.0(13) |
| N(1)–H(1NA)…N(10)#3 | 0.944(16) | 1.936(16) | 2.8802(15) | 178.3(14) |
| N(2)–H(2NB)…N(6)#3 | 0.865(17) | 2.179(17) | 3.0336(15) | 169.4(14) |
| N(2)–H(2NB)…N(7)#2 | 0.865(17) | 2.574(16) | 3.0965(13) | 119.8(12) |
| N(1)–H(1NB)…N(9)#4 | 0.904(15) | 1.986(16) | 2.8752(14) | 167.5(14) |
2.3. Sensitivity Tests
| Compound | 1 | 2 |
|---|---|---|
| M (g/mol) | 914.93 | 406.33 |
| ρ g/cm3 | 1.294 | 1.657 |
| Impact sensitivity i (J) | > 40 | 10 |
| Friction Sensitivity f (N) | > 360 | > 360 |
| Combustion Test | combustion | deflagration |
| N-content (%) | 16.62 | 73.14 |
| Oxygen balance Ω (%) | –242.9 | –90.64 |


3. Experimental Section
3.1. Preparation of Tetraphenylphosphonium-5,5'-azotetrazolate (1)
3.2. Preparation of 1H-1,2,4-triazole-1-carboxamidine-5,5'-azotetrazolate (1)
4. Conclusions
Acknowledgements
Author Contributions
Conflicts of Interest
References
- Singh, R.P.; Verma, R.D.; Meshri, D.T.; Shreeve, J.M. Energetic nitrogen-rich salts and ionic liquids. Angew. Chem. Int. Ed. 2006, 45, 3584–3601. [Google Scholar] [CrossRef] [PubMed]
- Steinhauser, G.; Klapötke, T.M. “Green” pyrotechnics: A chemists’ challenge. Angew. Chem. Int. Ed. 2008, 47, 3330–3347. [Google Scholar] [CrossRef] [PubMed]
- Klapötke, T.M. Chemistry of High-Energy Materials, 2nd ed.; Walter de Gruyter GmbH & Co. KG: Berlin, Germany, 2011. [Google Scholar]
- Nair, U.R.; Asthana, S.N.; Rao, A.S.; Gandhe, B.R. Advances in high energy materials. Def. Sci. J. 2010, 60, 137–151. [Google Scholar] [CrossRef]
- Badgujar, D.M.; Talawar, M.B.; Asthana, S.N.; Mahulikar, P.P. Advances in science and technology of modern energetic materials: An overview. J. Hazard. Mater. 2008, 151, 289–305. [Google Scholar] [CrossRef] [PubMed]
- Rice, B.M.; Byrd, E.F.C.; Mattson, W.D. Computational Aspects of Nitrogen-Rich HEDMs. In High Energy Density Materials; Springer: Berlin, Germany, 2007. [Google Scholar]
- Thiele, J. Ueber azo- und hydrazoverbindungen des tetrazols. Liebigs Ann. Chem. 1898, 303, 57–75. (In German) [Google Scholar] [CrossRef]
- Pierce-Butler, M.A. Structure of bis[hydroxolead(II)] 5,5'-azotetrazolediide. Acta Crystallogr. Sect. B Struct. Crystallogr. Cryst. Chem. 1982, 38, 2681–2683. [Google Scholar] [CrossRef]
- Bhandari, S.; Mahon, M.F.; Molloy, K.C.; Palmer, J.S.; Sayers, S.F. Thallium(I)- and organothallium(III)-substituted mono-, bis- and tris-tetrazoles: Synthesis and supramolecular structures. J. Chem. Soc. Dalton Trans. 2000, 1053–1060. [Google Scholar] [CrossRef]
- Deblitz, R.; Hrib, C.G.; Plenikowski, G.; Edelmann, F.T. Synthesis and supramolecular structure of [Me3Sn(µ-C2N10)SnMe3(H2O)]n, the first metal-organic azotetrazolate. Inorg. Chem. Commun. 2012, 18, 57–60. [Google Scholar] [CrossRef]
- Jiao, B.; Chen, S.; Zhao, F.; Hu, R.; Gao, S. A new high-nitrogen compound [Mn(ATZ)(H2O)4]·2H2O: Synthesis and characterization. J. Hazard. Mater. 2007, 142, 550–554. [Google Scholar] [CrossRef] [PubMed]
- Steinhauser, G.; Giester, G.; Leopold, N.; Wagner, C.; Villa, M. Nitrogen-rich compounds of the lanthanoids: The 5,5'-azobis[1H-tetrazol-1-ides] of the light rare earths (Ce, Pr, Nd, Sm, Eu, Gd). Helv. Chim. Acta 2009, 92, 2038–2051. [Google Scholar] [CrossRef]
- Steinhauser, G.; Giester, G.; Wagner, C.; Leopold, N.; Sterba, J.H.; Lendl, B.; Bichler, M. Nitrogen-rich compounds of the lanthanoids: The 5,5'-azobis[1H-tetrazol-1-ides] of some yttric earths (Tb, Dy, Ho, Er, Tm, Yb, and Lu). Helv. Chim. Acta 2009, 92, 1371–1384. [Google Scholar] [CrossRef]
- Tao, G.-H.; Twamley, B.; Shreeve, J.M. Energetic nitrogen-rich Cu(II) and Cd(II) 5,5'-azobis(tetrazolate) complexes. Inorg. Chem. 2009, 48, 9918–9923. [Google Scholar] [CrossRef] [PubMed]
- Steinhauser, G.; Giester, G.; Leopold, N.; Wagner, C.; Villa, M.; Musilek, A. Nitrogen-rich compounds of the lanthanoids: Highlights and summary. Helv. Chim. Acta 2010, 93, 183–202. [Google Scholar] [CrossRef]
- Jiao, B.; Yan, Z.; Fan, G.; Chen, S.; Gao, S. catena-Poly[[[tetraaquairon(II)]-μ-5,5'-diazenediylditetrazolido] dihydrate]. Acta Crystallogr. Sect. E Struct. Rep. Online 2010, 66. [Google Scholar] [CrossRef] [PubMed]
- Meng, Y. Poly[l-(5,5'-diazenediylditetrazolido)dicaesium]. Acta Crystallogr. Sect. E Struct. Rep. Online 2011, 67. [Google Scholar] [CrossRef] [PubMed]
- Deblitz, R.; Hrib, C.G.; Blaurock, S.; Jones, P.G.; Plenikowski, G.; Edelmann, F.T. Explosive Werner-type cobalt(III) complexes. Inorg. Chem. Front. 2014, 1, 621–640. [Google Scholar] [CrossRef]
- Hammerl, A.; Holl, G.; Kaiser, M.; Klapötke, T.M.; Mayer, P.; Piotrowski, H.; Vogt, M. Methylated ammonium and hydrazinium salts of 5,5'-azotetrazolate. Z. Naturforsch. B 2001, 56, 847–856. [Google Scholar] [CrossRef]
- Hammerl, A.; Holl, G.; Kaiser, M.; Klapötke, T.M.; Mayer, P.; Nöth, H.; Piotrowski, H.; Suter, M. New hydrazinium salts of 5,5'-azotetrazolate. Z. Naturforsch. B 2001, 56, 857–870. [Google Scholar] [CrossRef]
- Hammerl, A.; Klapötke, T.M.; Nöth, H.; Warchhold, M.; Holl, G.; Kaiser, M.; Ticmanis, U. [N2H5]2+[N4C–N=N–CN4]2−: A new high-nitrogen high-energetic material. Inorg. Chem. 2001, 40, 3570–3575. [Google Scholar] [CrossRef] [PubMed]
- Hammerl, A.; Holl, G.; Klapötke, T.M.; Mayer, P.; Nöth, H.; Piotrowski, H.; Warchhold, M. Salts of 5,5'-azotetrazolate. Eur. J. Inorg. Chem. 2002, 2002, 834–845. [Google Scholar] [CrossRef]
- Xue, H.; Arritt, S.W.; Twamley, B.; Shreeve, J.M. Energetic salts from N-aminoazoles. Inorg. Chem. 2004, 43, 7972–7977. [Google Scholar] [CrossRef] [PubMed]
- Hammerl, A.; Hiskey, M.A.; Holl, G.; Klapötke, T.M.; Polborn, K.; Stierstorfer, J.; Weigand, J.J. Azidoformamidinium and guanidinium 5,5'-azotetrazolate salts. Chem. Mater. 2005, 17, 3784–3793. [Google Scholar] [CrossRef]
- Xue, H.; Shreeve, J.M. Energetic ionic liquids from azido derivatives of 1,2,4-triazole. Adv. Mater. 2005, 17, 2142–2146. [Google Scholar] [CrossRef]
- Ye, C.; Xiao, J.-C.; Twamley, B.; Shreeve, J.M. Energetic salts of azotetrazolate, iminobis (5-tetrazolate) and 5,5'-bis(tetrazolate). Chem. Commun. 2005, 2750–2752. [Google Scholar] [CrossRef] [PubMed]
- Pan, W.-L.; Chena, X.-Y.; Hu, C.-W. Bis(amantadinium) 5,5'-diazenediylditetrazolate dihydrate. Acta Crystallogr. Sect. E Struct. Rep. Online 2007, 63, o1606–o1608. [Google Scholar] [CrossRef]
- Darwich, C.; Klapötke, T.M.; Sabaté, C.M. 1,2,4-triazolium-cation-based energetic salts. Chem. Eur. J. 2008, 14, 5756–5771. [Google Scholar] [CrossRef] [PubMed]
- Klapötke, T.M.; Sabaté, C.M. Bistetrazoles: Nitrogen-rich, high-performing, insensitive energetic compounds. Chem. Mater. 2008, 20, 3629–3637. [Google Scholar] [CrossRef]
- Klapötke, T.M.; Sabaté, C.M. New energetic compounds based on the nitrogen-rich 5,5'-azotetrazolate anion ([C2N10]2−). New J. Chem. 2009, 33, 1605–1617. [Google Scholar] [CrossRef]
- Klapötke, T.M.; Sabaté, C.M. Nitrogen-rich tetrazolium azotetrazolate salts: A new family of insensitive energetic materials. Chem. Mater. 2008, 20, 1750–1763. [Google Scholar] [CrossRef]
- Gao, H.; Shreeve, J.M. Azole-based energetic salts. Chem. Rev. 2011, 111, 7377–7436. [Google Scholar] [CrossRef] [PubMed]
- Laus, G.; Kahlenberg, V.; Wurst, K.; Schottenberger, H.; Fischer, N.; Stiersdorfer, J.; Klapötke, T.M. Synthesis and crystal structures of new 5,5'-azotetrazolates. Crystals 2012, 2, 127–136. [Google Scholar] [CrossRef]
- Mehta, N.; Oyler, K.; Cheng, G.; Shah, A.; Marin, J.; Yee, K. Primary explosives. Z. Anorg. Allg. Chem. 2014, 640, 1309–1313. [Google Scholar] [CrossRef]
- Costain, T.; Wells, F.B. Energetic Materials; Fair, H.D., Walker, R.F., Eds.; Plenum Press: New York, NY, USA, 1977. [Google Scholar]
- Köhler, J.; Mayer, R. Explosivstoffe; Wiley: Weinheim, Germany, 1998. [Google Scholar]
- SHELXL-97; program for crystal structure refinement; Universität of Göttingen: Göttingen, Germany, 1997.
- SHELXS-97; program for crystal structure solution; Universität of Göttingen: Göttingen, Germany, 1997.
© 2015 by the authors; licensee MDPI, Basel, Switzerland. This article is an open access article distributed under the terms and conditions of the Creative Commons Attribution license (http://creativecommons.org/licenses/by/3.0/).
Share and Cite
Deblitz, R.; Hrib, C.G.; Edelmann, F.T. Structures and Energetic Properties of Two New Salts Comprising the 5,5'-Azotetrazolate Dianion. Crystals 2015, 5, 405-417. https://doi.org/10.3390/cryst5030405
Deblitz R, Hrib CG, Edelmann FT. Structures and Energetic Properties of Two New Salts Comprising the 5,5'-Azotetrazolate Dianion. Crystals. 2015; 5(3):405-417. https://doi.org/10.3390/cryst5030405
Chicago/Turabian StyleDeblitz, Raik, Cristian G. Hrib, and Frank T. Edelmann. 2015. "Structures and Energetic Properties of Two New Salts Comprising the 5,5'-Azotetrazolate Dianion" Crystals 5, no. 3: 405-417. https://doi.org/10.3390/cryst5030405
APA StyleDeblitz, R., Hrib, C. G., & Edelmann, F. T. (2015). Structures and Energetic Properties of Two New Salts Comprising the 5,5'-Azotetrazolate Dianion. Crystals, 5(3), 405-417. https://doi.org/10.3390/cryst5030405
