Abstract
A facile one-pot synthesis of methyl 5-(4-chlorobenzoyloxy)-1-phenyl-1H-pyrazole-3-carboxylate (4) is described. The title compound was efficiently synthesized by the reaction of phenyl hydrazine, dimethyl acetylenedicarboxylate and 4-chlorobenzoyl chloride in dichloromethane under reflux in good yield. The structure of the target compound was deduced by modern spectroscopic and analytical techniques and unequivocally confirmed by a single crystal X-ray diffraction analysis. The crystal of the title compound belongs to orthorhombic system, space group P 21 21 21 with cell parameters a = 6.6491(3) Å, b = 7.9627(6) Å, c = 30.621(5) Å, α = β = γ = 90° and Z = 4. The crystal packing of the compound (4) is stabilized by an offset π-stacking between the planar benzoyl-substituted diazole moieties.
1. Introduction
Heterocyclic compounds occur widely in nature and are essential to life. Nitrogen-containing heterocyclic molecules constitute one of the largest portions of chemical entities, which are part of many natural products, fine chemicals and biologically active pharmaceuticals essential for enhancing the quality of life [1].
Pyrazole and its derivatives, a class of nitrogen-containing heterocyclic compounds, are of substantial pharmacological relevance and also represent versatile building blocks in organic and medicinal chemistry [2,3]. These are important bio-active drug targets in the pharmaceutical industry, as they are the core structure of numerous biologically active compounds [4]. They possess a broad spectrum of approved biological activities, which includes anti-inflammatory [5], antipyretic [6], gastric secretion stimulatory [7], antidepressant [8], antibacterial [9], antifilarial agents [10], anti-obesity [11], estrogen receptor agonist [12], HIV-1 reverse transcriptase inhibitors [13] and anti-hyperglycemic activities [14]. In addition, many pyrazole derivatives are also used as insecticides, herbicides and fungicides [15].
With widespread industrial applications and pharmacological importance, we herein report an efficient one-pot synthesis and crystal structure of N-phenyl-3,5-difunctionalized pyrazole.
2. Results and Discussion
The synthetic route for the title compound, methyl 5-(4-chlorobenzoyloxy)-1-phenyl-1H-pyrazole-3-carboxylate (4) is outlined in Figure 1. The reaction of phenylhydrazine (1) with dimethyl acetylenedicarboxylate (2) and 4-chlorobenzoyl chloride (3) in dichloromethane under reflux for 10 h afforded the title compound (4) in good yield [16].
Figure 1.
Synthesis of methyl 5-(4-chlorobenzoyloxy)-1-phenyl-1H-pyrazole-3-carboxylate (4).
Figure 1.
Synthesis of methyl 5-(4-chlorobenzoyloxy)-1-phenyl-1H-pyrazole-3-carboxylate (4).

The structure of compound (4) was deduced from the FTIR and NMR spectroscopy. In the IR spectrum of the target compound, two absorption bands at 1734 and 1716 cm−1, which are related to two C=O stretching frequencies, clearly indicated the most significant functional groups of the product. 1H-NMR spectrum of (4) showed characteristic singlets at δ 7.02 (C–Hpyrazole) and δ 3.99 (OCH3). Resonances at δ 98.4 (CH), δ 52.3 (OCH3) and δ 144.5–124.2 (aromatic carbons) were observed in the 13C-NMR spectrum. The other important region of the spectrum is related to carbonyl groups, which produced 2 C=O signals at 162.4 and 160.7 ppm.
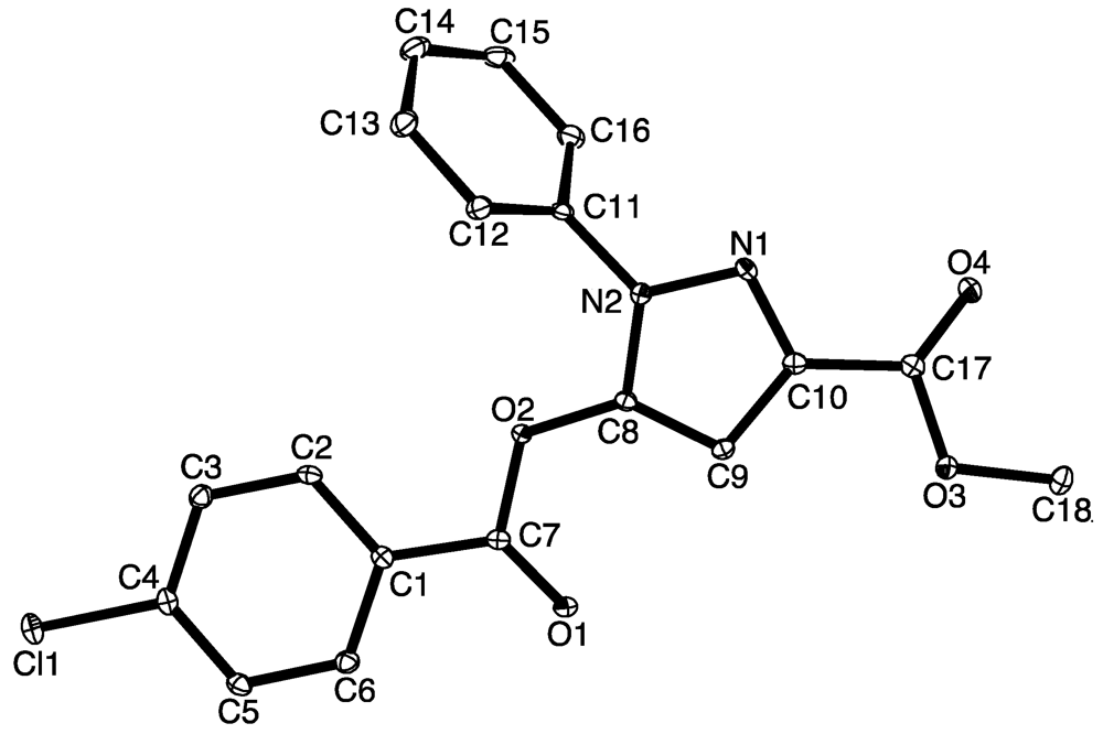
In parallel, for a full structural elucidation, the X-ray diffraction measurements were carried out for the title compound. The crystal and instrumental parameters used in the unit cell determination, the data collection, and structure refinement parameters are presented in the experimental section. A thermal ellipsoid plot at the 20% probability level for compound (4) is presented in Figure 2. The bond distances and angles for (4) all fall within the expected ranges. With the exception of the N-phenyl substituent, which is twisted out of plane with the diazole ring (dihedral angle C16–C11–N2–N1 = 48.5(3)°) the molecule is essentially co-planar (RMS deviation of the remaining atoms from the plane defined by C1–C10, N1, N2, O1, and O2 = 0.022 Å). The methoxycarbonyl moiety (O3, O4, C17, C18) is also coplanar with the aromatic system.
Figure 2.
Thermal ellipsoid plot of compound (4), ellipsoids are drawn at the 20% probability level. The H-atoms were omitted in the plot for clarity.
Figure 2.
Thermal ellipsoid plot of compound (4), ellipsoids are drawn at the 20% probability level. The H-atoms were omitted in the plot for clarity.

The crystal packing is stabilized by an offset π-stacking between the planar benzoyl-substituted diazole moieties as shown in Figure 3. The approximate distance between chlorobenzoyl ring and diazole ring is 3.6 Å.
Figure 3.
π-Stacking of benzoyl-diazene moieties, extending along the xy diagonal. The π-stacking distance is 3.55 Å and the planes are inclined at an angle of 1.78°.
Figure 3.
π-Stacking of benzoyl-diazene moieties, extending along the xy diagonal. The π-stacking distance is 3.55 Å and the planes are inclined at an angle of 1.78°.

The packing is also characterized by attractive intermolecular contacts between O4 and Cl1 as depicted in Figure 4, with intermolecular distance Cl1…O4 3.013(2) Å, being 0.257 Å less than the sum of the van der Waals radii for O and N and C–Cl…O angle 173.5° within each π-stacked plane. This is an example of halogen bonding [17,18], more generally known as σ-hole bonding. This is a common feature in the crystal structure of compounds containing the larger halogens, and has its origins in the attraction between various Lewis Base donors and the positive electrostatic regions at the terminus of a C–Halogen bond [19,20,21,22,23,24].
Figure 4.
Chlorine–Oxygen σ-hole interaction.
Figure 4.
Chlorine–Oxygen σ-hole interaction.

3. Experimental Section
3.1. General
All reagents were of analytical grade or chemically pure. The melting point was determined on a Stuart melting point apparatus (SMP3) in open capillary tube and is uncorrected. The progress of the reaction was monitored by thin layer chromatography using pre-coated silica gel plates (Kieselgel 60 F254 Merck, Germany) and the chromatogram was visualized under UV light at 254 and 365 nm. The IR spectrum was recorded on Bruker Optics Alpha FTIR Spectrophotometer. 1H-NMR (300 MHz) and 13C-NMR (75 MHz) spectra were recorded using Bruker AV-300 spectrometer as CDCl3 solution using residual solvent signal as the reference. Chemical shift values are expressed in ppm. CHN analysis was performed on a Carlo Erba Strumentazion-Mod-1106 Italy.
3.2. Synthesis of Methyl 5-(4-Chlorobenzoyloxy)-1-phenyl-1H-pyrazole-3-carboxylate (4)
To a stirred solution of phenylhydrazine (2 mmol) and dimethyl acetylenedicarboxylate (2 mmol) in CH2Cl2 (2 mL), after 2 h benzoyl chloride (2 mmol) was added. The reaction mixture was stirred for 10 h under reflux. After the completion of reaction (the progress of the reaction was followed by thin layer chromatography), the solvent was removed under reduced pressure and the residue was purified by recrystallization with ethanol to afford the title compound (4) [16].
Yield: 75%; mp 148–149 °C; IR (neat, cm−1): 1734 (C=O), 1716 (C=O), 1580, 1489 (C=CAr), 1223 (C–O); 1H-NMR (300 MHz, CDCl3): δ 7.80 (dd, 2H, 3J = 6.9 Hz, 4J = 2.1 Hz, Ar–H), 7.64 (dd, 2H, 3J = 8.7 Hz, 4J = 1.5 Hz, Ar–H), 7.53–7.41 (m, 5H, Ar–H), 7.02 (s, 1H, C–Hpyrazole), 3.99 (s, 3H, OCH3); 13C-NMR (75 MHz, CDCl3): δ 162.4, 160.7, 144.5, 143.1, 141.4, 137.2, 131.8, 129.4, 129.3, 128.8, 125.8, 124.2, 98.4, 52.3. Elemental analysis calcd. for C18H13ClN2O4: C, 60.60; H, 3.67; N, 7.85. Found: C, 60.42; H, 3.47; N, 7.69.
3.3. Data Collection and Structure Solution
The crystal of the target compound (4) having dimensions of 0.6 × 0.17 × 0.16 mm was selected and all the reflection data were collected on an Oxford SuperNova CCD diffractometer using Mo-Kα (λ = 0.71073 Å) X-radiation at 130 K. The structure was solved by direct methods and refined by full-matrix least squares using SHELX-97 [25].
Crystal Data for 4. C18H13ClN2O4, M = 356.75, crystal size, 0.6 × 0.17 × 0.16 mm. Orthorhombic, P 21 21 21, a = 6.6491(3), b = 7.9627(6), c = 30.621(5) Å, α = β = γ = 90°, V = 1621.2(3) Å3, Z = 4, F(000) = 736, T = 130(1) K, ρcalc = 1.462 mg/m3, µ = 0.262 mm−1, 5667 reflections measured, Rint = 0.0238, R indices [I > 2σ(I)]: R1 = 0.0310, wR2 = 0.0795, [all data] R1 = 0.0354, wR2 = 0.0819, Goodness-of-fit on F2 = 1.122, data/restraints/parameters = 2678/0/228, max. and min. transmission = 1.00000 and 0.70706, extinction coefficient = 0.06(7), largest diff. peak and hole = 0.175 and −0.201 e Å−3.
CCDC 864847 contains the supplementary crystallographic data for this paper. This data can be obtained free of charge from The Cambridge Crystallographic Data Centre via www.ccdc.cam.ac.uk/data_request/cif.
4. Conclusions
A concise and efficient one-pot synthesis of methyl 5-(4-chlorobenzoyloxy)-1-phenyl-1H-pyrazole-3-carboxylate has been carried out using phenylhydrazine, dimethyl acetylenedicarboxylate and 4-chlorobenzoyl chloride in good yield. The title compound was also confirmed by single crystal X-ray diffraction data.
Acknowledgements
The authors gratefully acknowledge the Department of Chemistry, Quaid-i-Azam University, Islamabad-45320, Pakistan, for providing research facilities.
Conflict of Interest
The authors declare no conflict of interest.
References
- Noga, E.J.; Barthalmus, G.T.; Mitchell, M.K. Cyclic amines are selective cytotoxic agents for pigmented cells. Cell. Biol. Int. Rep. 1986, 10, 239–247. [Google Scholar] [CrossRef]
- Van Herk, T.; Brussee, J.; Van den Nieuwendijk, A.M.; Van der Klein, P.A.; Ijzerman, A.P.; Stannek, C.; Burmeister, A.; Lorenzen, A. Pyrazole derivatives as partial agonists for the nicotinic acid receptor. J. Med. Chem. 2003, 46, 3945–3951. [Google Scholar]
- Dvorak, C.A.; Rudolph, D.A.; Ma, S.; Carruthers, N.I. Palladium-Catalyzed coupling of pyrazole triflates with arylboronic acids. J. Org. Chem. 2005, 70, 4188–4190. [Google Scholar] [CrossRef]
- Elguero, J. Comprehensive Heterocyclic Chemistry; Katritzky, A.R., Rees, C.W., Scriven, E.F.V., Eds.; Pergamon Press: Oxford, UK, 1996; pp. 1–75. [Google Scholar]
- Sugiura, S.; Ohno, S.; Ohtani, O.; Izumi, K.; Kitamikado, T.; Asai, H.; Kato, K. Syntheses and anti-inflammatory and hypnotic activity of 5-alkoxy-3-(N-substituted carbamoyl)-1-phenylpyrazoles. J. Med. Chem. 1997, 20, 80–85. [Google Scholar]
- Behr, L.C.; Fusco, R.; Jarboe, C.H. The Chemistry of Heterocyclic Compounds, Pyrazoles, Pyrazolines, Pyrazolidines, Indazoles and Condensed Rings; Interscience: New York, NY, USA, 1967; p. 1. [Google Scholar]
- Rosiere, C.E.; Grossman, M.I. An analog of histamine that stimulates gastric acid secretion without other actions of histamine. Science 1951, 113, 651. [Google Scholar]
- Bailey, D.M.; Hansen, P.E.; Hlavac, A.G.; Baizman, E.R.; Pearl, J.; Defelice, A.F.; Feigenson, M.E. 3,4-Diphenyl-1H-pyrazole-1-propanamine antidepressants. J. Med. Chem. 1985, 28, 256–260. [Google Scholar] [CrossRef]
- Mahajan, R.N.; Havaldar, F.H.; Fernandes, P.S. Syntheses and biological activity of heterocycles derived from 3-methoxy-1-phenyl-1H-pyrazole-5-carboxylate. J. Ind. Chem. Soc. 1991, 68, 245–249. [Google Scholar]
- Chauhan, P.M.S.; Singh, S.; Chatterjee, R.K. Antifilarial profile of substituted pyrazoles: A new class of antifilarial agents. Ind. J. Chem. Sect. B 1993, 32, 858–861. [Google Scholar]
- Srivastava, B.K.; Joharapurkar, A.; Raval, S.; Patel, J.Z.; Soni, R.; Raval, P.; Gite, A.; Goswami, A.; Sadhwani, N.; Gandhi, N.; et al. Diaryl dihydropyrazole-3-carboxamides with significant in vivo antiobesity activity related to CB1 receptor antagonism: Synthesis, biological evaluation, and molecular modeling in the homology model. J. Med. Chem. 2007, 50, 5951–5966. [Google Scholar] [CrossRef]
- Hashimoto, H.; Imamura, K.; Haruta, J.I.; Wakitani, K. 4-(4-Cycloalkyl/aryl-oxazol-5-yl)benzenesulfonamides as selective cyclooxygenase-2 inhibitors: Enhancement of the selectivity by introduction of a fluorine atom and identification of a potent, highly selective, and orally active COX-2 inhibitor JTE-522. J. Med. Chem. 2002, 45, 1511–1517. [Google Scholar] [CrossRef]
- Genin, M.J.; Biles, C.; Keiser, B.J.; Poppe, S.M.; Swaney, S.M.; Tarpley, W.G.; Yagi, Y.; Romero, D.L. Novel 1,5-diphenyl pyrazole non-nucleoside HIV-1. Reverse transcriptase inhibitors with enhanced activity versus the delaviridine-resistant P236L mutant: Lead identification and SAR of 3-and 4-substituted derivatives. J. Med. Chem. 2000, 43, 1034–1040. [Google Scholar]
- Kees, K.L.; Fitzgerald, J.J.; Steiner, K.E.; Mattes, J.F.; Mihan, B.; Tosi, T.; Mondoro, D.; McCaleb, M.L. Synthesis of pyrazolone derivatives. J. Med. Chem. 1996, 39, 3920–3928. [Google Scholar] [CrossRef]
- Ouyang, G.; Chen, Z.; Cai, X.J.; Song, B.A.; Bhadury, P.S.; Yang, S.; Jin, L.H.; Xue, W.; Hu, D.Y.; Zeng, S. Synthesis and antiviral activity of novel pyrazole derivatives containing oxime esters group. Bioorg. Med. Chem. 2008, 16, 9699–9707. [Google Scholar]
- Zohreh, N.; Alizadeh, A. Simple and efficient one-pot synthesis of N-phenyl-3,5-difunctionalized pyrazoles. Tetrahedron 2011, 67, 4595–4600. [Google Scholar] [CrossRef]
- Metrangolo, P.; Neukirch, H.; Pilati, T.; Resnati, G. Halogen bonding based recognition processes: A world parallel to hydrogen bonding. Acc. Chem. Res. 2005, 36, 386–395. [Google Scholar]
- Erdelyi, M. Halogen bonding in solution. Chem. Soc. Rev. 2012, 41, 3547–3557. [Google Scholar] [CrossRef]
- Murray, J.S.; Lane, P.; Clark, T.; Riley, K.E.; Politzer, P. Σ-holes, π-holes and electrostatically-driven interactions. J. Mol. Model. 2012, 18, 541–548. [Google Scholar] [CrossRef]
- Brycki, B.; Kowalczyk, I.; Zielinski, A.; Borowiak, T.; Wolska, I. Spectroscopic properties of N-n-hexyltetrachlorophthalimide and supramolecular interactions in its crystals. J. Mol. Struct. 2008, 874, 145–150. [Google Scholar] [CrossRef]
- Basavaiah, D.; Roy, S.; Das, U. Toward understanding the scope of Baylis-Hillman reaction: Synthesis of 3-(2-hydroxyphenyl)indolin-2-ones and polycyclic fused furans. Tetrahedron 2010, 66, 5612–5622. [Google Scholar] [CrossRef]
- Lemouchi, C.; Simonov, S.; Zorina, L.; Gautier, C.; Hudhomme, P.; Batail, P. Amino acid derivatives of perylenediimide and their N–H…O peptide bond dipoles-templated solid state assembly into stacks. Org. Biomol. Chem. 2011, 9, 8096–8101. [Google Scholar]
- Zhang, Y.J.; Luo, C.T.; Wang, Y.G.; Wang, Z. 4,5,6,7-Tetrachloro-N-(2,3,4-trifluorophenyl)phthalimide. Acta Cryst. Sect. E 2011, 67, 1604. [Google Scholar]
- Metrangolo, P.; Meyer, F.; Pilati, T.; Resnati, G.; Terraneo, G. Halogen bonding in supramolecular chemistry. Angew. Chem. Int. Ed. 2008, 47, 6114–6127. [Google Scholar]
- Sheldrick, G.M. A short history of SHELX. Acta Cryst. Sect. A 2008, 64, 112–122. [Google Scholar] [CrossRef]
© 2012 by the authors; licensee MDPI, Basel, Switzerland. This article is an open-access article distributed under the terms and conditions of the Creative Commons Attribution license (http://creativecommons.org/licenses/by/3.0/).