Abstract
Bis-fused donors composed of (thio)pyran-4-ylidene-1,3-dithiole and tetraselenafulvalene (1a, 2a) and their bis(methylthio) derivatives (1b, 2b) were synthesized. Cyclic voltamograms of all the donors consisted of four pairs of one-electron redox waves, and it was suggested that a positive charge of 1+• and 2+• distributed mainly on the (thio)pyran-4-ylidene-1,3-dithiole moiety. X-ray structure analysis revealed that (1b)PF6(C6H5Cl)0.5 and (2b)PF6(C6H5Cl) formed one-dimensional conducting stacks in which the donors were dimerized or tetramerized. In those salts, intramolecular charge disproportionation of the donors was suggested by X-ray structure analysis and density functional theory (DFT) calculation with UB3LYP/6-31G(d) basis function. A tight-binding band calculation suggested that these materials were band insulators. All the donors gave highly conducting TCNQ (7,7,8,8-tetracyanoquinodimethane) complexes and I3− salts (σrt = 0.3–19 S cm−1 on a compressed pellet) with very low activation energies of 0.017–0.040 eV, while single crystals of (1b)PF6(C6H5Cl)0.5 and (2b)PF6(C6H5Cl) exhibited semiconductive behavior with large activation energies (Ea = 0.16–0.22 eV).
1. Introduction
In the development of molecular metals, a bis-fused TTF, 2,5-bis(1,3-dithiol-2-ylidene)-1,3,4,6-tetrathiapentalene (BDT-TTP or simply TTP) and its derivatives have played an important role [1,2,3]. They have actually produced a large number of molecular conductors exhibiting metallic behavior down to liquid helium temperature. Stable metallic behavior of BDT-TTP conductors is due to effective side-by-side interaction through sulfur atoms in the BDT-TTP framework, as well as reduced on-site Coloumb repulsion in the dicationic state [2,3]. Analogous TTP donor containing pyran-4-ylidene or thiopyran-4-ylidene donors, PDT-TTP and TPDT-TTP, where PDT-TTP and TPDT-TTP are 2-(1,3-dithiol-2-ylidene)-5-(pyran-4-ylidene)-1,3,4,6-tetrathiapentalene and 2-(1,3-dithiol-2-ylidene)-5-(thiopyran-4-ylidene)-1,3,4,6-tetrathiapentalene, respectively, are of significant interest. Thus, they are promising π-electron frameworks to explore three-dimensional (3D) conductors, because the chalcogen atom in the (thio)pyran ring could play a role for realizing considerable interaction along the donor long axis. We have synthesized a number of (T)PDT-TTP derivatives and their selenium analogues, and have investigated structures and properties of their conducting materials [4,5,6,7]. Among them, (TM-TPDS)2AsF6, where TM-TPDS is 2-[4,5-bis(methlylthio)-1,3-diselenol-2-ylidene]-5-(thiopyran-4-ylidene)-1,3,4,6-tetrathiapentalene gave 3D donor array [6], which is designated as a “windmill” arrangement, although the band structure was still quasi-1D owing to smaller “side-to-edge” interaction. In this connection, exchange of sulfur atoms in the central tetrathiapentalene moiety with selenium atoms is a promising strategy to increase 3D character in the conducting materials. No tetraselenapentalene-type donor has been synthesized so far because of synthetic difficulty. We have recently reported the synthesis of diselenadithiapentalene (STP) donor, 2-(1,3-diselenol-2-ylidene)-5-(1,3-dithio-2-ylidene)-1,3-deselena-4,6-dithiapentalene (ST-STP) [8,9]. In this paper, we report herein the synthesis and properties of new STP donors containing a series of chalcogenopyran-4-ylidene moiety, 2-(1,3-diselenol-2-ylidene)-5-(pyran-4-ylidene)-1,3-deselena-4,6-dithiapentalene (PDS-STP, 1a), 2-(1,3-diselenol-2-ylidene)-5-(thiopyran-4-ylidene)-1,3-deselena-4,6-dithiapentalene (TPDS-STP, 2a), and their bis(methylthio) derivatives (TM-PDS-STP 1b and TM-TPDS-STP 2b) (Figure 1). Structures and electrical properties of conducting materials based on these STP donors are also reported.
Figure 1.
Molecular structures of BDT-TTP derivatives and their analogues.
Figure 1.
Molecular structures of BDT-TTP derivatives and their analogues.

2. Results and Discussion
2.1. Synthesis
The new donors were synthesized according to Scheme 1. The reaction of 1,3-dithiole-2-thione fused with TSF (3) and tetrahydropyran-4-one (4) or tetrahydrothiopyran-4-one (5) in the presence of triethyl phosphite in refluxing toluene gave tetrahydro analogues of 1 and 2 (6,7) in 30–56% yields. Dehydrogenation of 6 and 7 with a slight excess (2.8 equiv. mol) of 2,3-dichloro-5,6-dicyano-p-benzoquinone (DDQ) in refluxing xylene afforded the target molecules 1 and 2 in 51–76% yields. The newly synthesized STP donors were obtained as stable ocher powder.
Scheme 1.
Synthesis of 1 and 2.
Scheme 1.
Synthesis of 1 and 2.

2.2. Electrochemical Properties
Electrochemical properties of new donors were investigated by cyclic voltammetry. Their redox potentials are summarized in Table 1. Cyclic voltamograms of all the new donors consisted of four pairs of one-electron redox waves. The first redox potentials (E1) of 1 and 2 did not depend on the substituent on the TSF moiety, while the E1 values varied on the chalcogen atom in the chalcogenopyran-2-ylidene moiety. In addition, the values of 1a and 1b were lower by 0.05–0.06 V than that of ST-STP (0.00 V). These results indicated that a positive charge formed by the first oxidation distributed on the 2-(chalcogenopyran-4-ylidene)-1,3-dithiole moiety mainly, and TSF moiety preferably acted as a selenium-based substituent. The second redox potential of 1a was higher than that of 1b, suggesting that the TSF moiety contributed to the second oxidation. These results suggested that intramolecular charge disproportionantion might occur in the conducting solids of 1 and 2.
Table 1.
Redox potentials of 1 and 2 (V vs. Fc/Fc+ in benzonitrile containing 0.1 M Bu4NPF6).
| Donor | E1 | E2 | E3 | E4 | ΔE (= E2 − E1) |
|---|---|---|---|---|---|
| PDS-STP 1a | −0.06 | +0.26 | +0.45 | +0.67 | 0.32 |
| TM-PDS-STP 1b | −0.05 | +0.30 | +0.47 | +0.67 | 0.35 |
| TPDS-STP 2a | −0.10 | +0.22 | +0.52 | +0.72 | 0.32 |
| TM-TPDS-STP 2b | −0.09 | +0.23 | +0.53 | +0.73 | 0.32 |
| ST-STP | 0.00 | +0.30 | +0.56 | +0.74 | 0.30 |
The theoretical calculations of 1a and 2a were carried out using a density functional theory (DFT) B3LYP method with the 6-31G(d) basis set. Figure 2 shows the HOMOs of 1a and 2a. They distribute mainly to the chalcogenopyran-2-ylidene moiety and it is consistent with their redox property.
Figure 2.
The HOMO of 1a (left) and 2a (right). The energy levels are −4.50 eV for 1a and −4.52 eV for 2a.
Figure 2.
The HOMO of 1a (left) and 2a (right). The energy levels are −4.50 eV for 1a and −4.52 eV for 2a.

2.3. Molecular and Crystal Structures of a Neutral Molecule TM-PDS-STP (1b)
Single crystals of TM-PDS-STP (1b) were obtained by slow evaporation of the 1b solution containing carbon disulfide. Figure 3 shows ORTEP drawings of TM-PDS-STP. The molecule is almost planar except for the carbon atoms in methylthio groups, which are projected over inclined upper direction. As shown in Figure 4, the molecules formed pseudo stack along the a-axis and are arranged in a so-called θ-type fashion. The interplanar distance along the pseudo stack is 3.54 Å. There is short Se···Se contact (3.624(1) Å) shorter than sum of van der Waals radii (Se···Se = 3.80 Å) [10].
Figure 3.
ORTEP drawings of TM-PDS-STP. (a) Top view and (b) side view. Displacement ellipsoids are drawn at the 50% probability level.
Figure 3.
ORTEP drawings of TM-PDS-STP. (a) Top view and (b) side view. Displacement ellipsoids are drawn at the 50% probability level.

Figure 4.
(a) Crystal structure of TM-PDS-STP viewed along the a-axis. Blue broken lines represent short Se···Se contacts shorter than sum of van der Waals radii; (b) Molecular arrangement of TM-PDS-STP viewed along the molecular long axis.
Figure 4.
(a) Crystal structure of TM-PDS-STP viewed along the a-axis. Blue broken lines represent short Se···Se contacts shorter than sum of van der Waals radii; (b) Molecular arrangement of TM-PDS-STP viewed along the molecular long axis.

2.4. Preparation, Crystal and Band Structures of Radical Cation Salts
Radical cation salts of TM-PDS-STP (1b) and TM-TPDS-STP (2b) were grown by an electrocrystallization technique at a controlled current method [11] from 0.2 to 1.0 μA in the presence of the corresponding tetra-n-butylammonium salts as the supporting electrolyte in chlorobenzene (C6H5Cl) containing 5% ethanol at 35 °C. Crystallographic data for (TM-PDS-STP)PF6(C6H5Cl)0.5 and (TM-TPDS-STP)PF6(C6H5Cl) are summarized in Table 3 (Experimental section). All the salts crystallize in triclinic system, space group Pī.
2.4.1. (TM-PDS-STP)PF6(PhCl)0.5
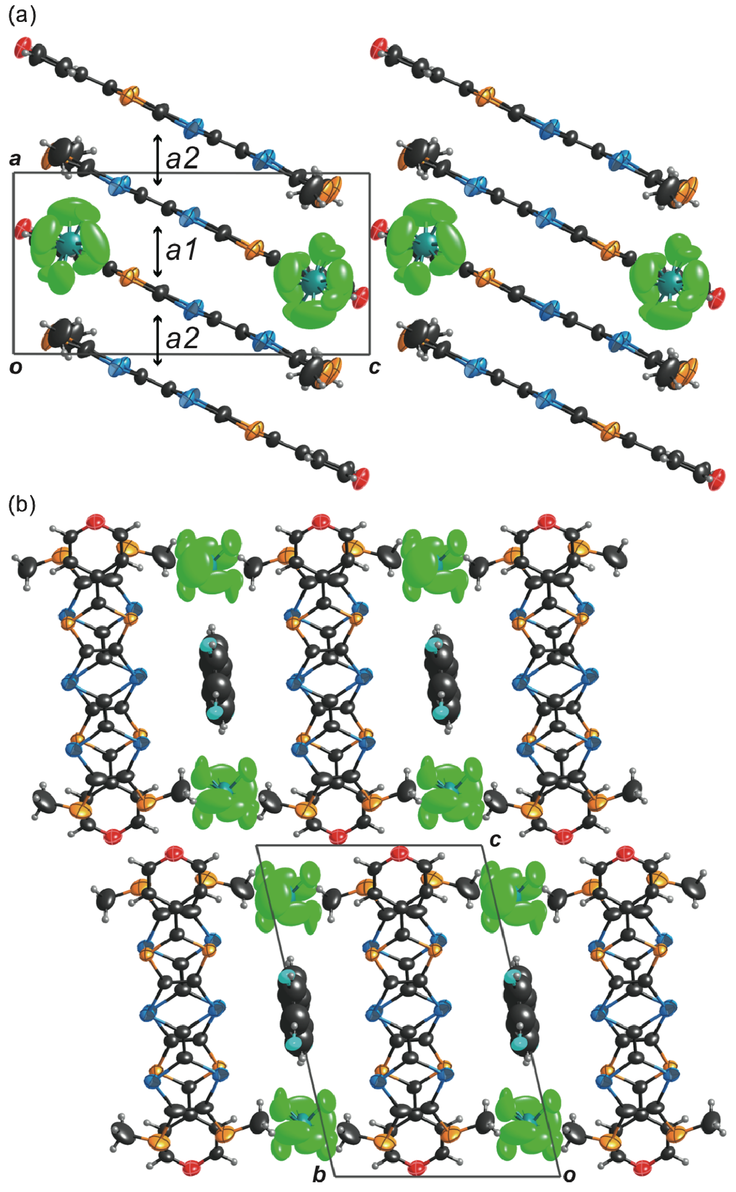
One donor molecule and anion were crystallographically independent, and were located on a general position. The PF6− anion showed disorder based on uni-axial rotation. The chlorobenzene was crystallographically unique and its chlorine atoms showed disorder at two positions. Moreover, the center of inversion exists in the benzene ring of the chlorobenzene, therefore, extreme disorder was observed. Figure 5 shows the ORTEP drawings of TM-PDS-STP molecule in (TM-PDS-STP)PF6(C6H5Cl)0.5. The donor molecule was almost planar; the deviations from the least-square plane are less than 0.45(2) Å except for the hydrogen atoms. The largest deviation (0.45(2) Å) is observed at the C14 position of the methylthio group. Both the methylthio groups were located the molecular plane, and projected outside of the molecular long axis in the plane composed of the donor skeleton. The crystal structure of (TM-PDS-STP)PF6(C6H5Cl)0.5 is shown in Figure 6. The molecules formed a face-to-face stack along the a-axis. The side-by-side interstack interactions were inhibited by the anions and disordered solvent molecules, which were located in the cavity formed by the donor molecules with large methylthio groups.
Figure 5.
ORTEP drawings of TM-PDS-STP molecule in (TM-PDS-STP)PF6(C6H5Cl)0.5. (a) Top view and (b) side view. Displacement ellipsoids are drawn at the 50% probability level.
Figure 5.
ORTEP drawings of TM-PDS-STP molecule in (TM-PDS-STP)PF6(C6H5Cl)0.5. (a) Top view and (b) side view. Displacement ellipsoids are drawn at the 50% probability level.

Figure 6.
(a) Crystal structure of (TM-PDS-STP)PF6(C6H5Cl)0.5 viewed along the b-axis. The solvent molecules are omitted for clarity. (b) Crystal structure of (TM-PDS-STP)PF6(C6H5Cl)0.5 viewed along the a-axis.
Figure 6.
(a) Crystal structure of (TM-PDS-STP)PF6(C6H5Cl)0.5 viewed along the b-axis. The solvent molecules are omitted for clarity. (b) Crystal structure of (TM-PDS-STP)PF6(C6H5Cl)0.5 viewed along the a-axis.

The donors are dimerized in the stack, and were overlapped in a head-to-tail manner with interplanar distances of 3.54 Å for a1 and 3.55 Å for a2, respectively. The slip distance along the molecular long axis for a1 (1.18 Å) is smaller than that for a2 (4.72 Å) as shown in Figure 7. Extended Hückel method is usually used for the calculation of the overlap integrals. This method does not contain Coulomb terms, that is, it is unsuitable when the calculation is carried out for the present charged species. The unrestricted DFT method using B3LYP functional with 6-31G(d) basis set was used for the charged donor (TM-PDS-STP)•+ and the frontier molecular orbitals were summarized in Supplementary Materials (Figure S1). The SOMO of (TM-PDS-STP)•+ distributes mainly to the TSF skeleton, while the HOMO-1 is dominantly localized on the (pyran-4-ylidene)-1,3-dithiole unit. The energy level of the SOMO (−7.66 eV) is lower than that of the HOMO-1 (−7.46 eV), suggesting that the utilization of the HOMO-1 could be favorable for the calculation of overlap integrals of this salt. There is a difference in the bond length of C=C bond, which connects pyran ring and 1,3-dithiole ring, between the neutral state of TM-PDS-STP (1.35(1) Å) and the cation radical state of TM-PDS-STP (1.40(2) Å). In contrast, the bond length of the central C=C in TSF moiety is almost the same between neutral (1.34(1) Å) and cation radical (1.33(1) Å) state. These results indicate the distribution of positive charge on the (pyran-4-ylidene)-1,3-dithiole unit. Therefore, the overlap integrals were calculated by considering the HOMO-1 of the DFT calculation. The overlap integrals a1 and a2 are 16.0 and 7.3 × 10−3 and the donors are electronically dimerized along the stacking direction (Figure 8). Although the side-by-side interaction was prohibited owing to the presence of the anion and the solvent, the values of the overlap integrals p1, p2, and p3 along the molecular long axis showed considerable magnitude due to the interactions among pyran units and thiomethyl groups. A tight-binding band calculation suggested that the salt is a band insulator.
Figure 7.
Molecular overlap modes for a1 and a2 of (TM-PDS-STP)PF6(C6H5Cl)0.5. The atoms and bonds of the depth molecules are faded out.
Figure 7.
Molecular overlap modes for a1 and a2 of (TM-PDS-STP)PF6(C6H5Cl)0.5. The atoms and bonds of the depth molecules are faded out.

Figure 8.
Donor sheet structure of (TM-PDS-STP)PF6(C6H5Cl)0.5 viewed along the molecular short axis. The calculated intermolecular overlaps between HOMO-1s (× 10−3) are a1 = 16.0, a2 = 7.3, p1 = 1.1, p2 = −2.2, and p3 = 0.62.
Figure 8.
Donor sheet structure of (TM-PDS-STP)PF6(C6H5Cl)0.5 viewed along the molecular short axis. The calculated intermolecular overlaps between HOMO-1s (× 10−3) are a1 = 16.0, a2 = 7.3, p1 = 1.1, p2 = −2.2, and p3 = 0.62.

2.4.2. (TM-TPDS-STP)PF6(PhCl)
Two donor molecules, PF6− anions, and chlorobenzene molecules were crystallographically independent, respectively, and the ratio of the donor, the anion, and the solvent is 1:1:1. One chlorobenzene molecule showed disorder and its chlorine atoms distribute to three positions with 1/3 of the occupancy. Figure 9 shows the ORTEP drawings of Molecule A and Molecule B in (TM-TPDS-STP)PF6(C6H5Cl). The molecular structure of Molecule A was almost planar. By contrast, the terminal 1,3-diselenole ring of Molecule B bent with dihedral angle of 9.7(3)°. Although the methyl groups of TM-PDS-STP were located on the molecular plane in (TM-PDS-STP)PF6(C6H5Cl)0.5, those of TM-TPDS-STP in (TM-TPDS-STP)PF6(C6H5Cl) deviated from a least-square plane of donor p system; these deviations are 1.28(1) Å for C13, 0.50(1) Å for C14, 1.93(1) Å for C27, and 2.05(1) Å for C28.
Figure 9.
ORTEP drawings of (a, b) Molecule A and (c, d) Molecule B of TM-TPDS-STP in (TM-TPDS-STP)PF6(C6H5Cl) (top view and side view). Displacement ellipsoids are drawn at the 50% probability level.
Figure 9.
ORTEP drawings of (a, b) Molecule A and (c, d) Molecule B of TM-TPDS-STP in (TM-TPDS-STP)PF6(C6H5Cl) (top view and side view). Displacement ellipsoids are drawn at the 50% probability level.

The crystal structure of (TM-TPDS-STP)PF6(C6H5Cl) is shown in Figure 10. Molecule A and B formed a face-to-face stack with an -A-A-B-B-type four-fold periodicity along the b–a axis, indicating the presence of three intrastack overlaps p1, p2, and p3 (Figure 11). The anions and chlorobenzene molecules were located between the donor molecules along the molecular short axis of TM-TPDS-STP, and they prevented side-by-side interaction between the donor molecules. The donor molecules A and B in this salt stacked in a head-to-tail manner with the interplanar distances 3.52 Å and 3.50 Å for the intermolecular interactions A-A (p1) and B-B (p3), and in a head-to-head manner with the interplanar distance 3.56 Å for A-B (p2) as shown in Figure 11. The slip distances of p1, p2, and p3 are 4.59, 1.75, and 1.95 Å, respectively.
In (TM-TPDS-STP)PF6(C6H5Cl), the DFT calculations at the UB3LYP/6-31G(d) level suggested that the HOMO-1 of Molecule A and B distributed to the (thiopyran-4-ylidene)-1,3-dithiole unit, and it is the same situation with the TM-PDS-STP salt as described above (Figure S2). Consequently, the overlap integrals were calculated by considering the HOMO-1 of the DFT calculation. The donors of the intermolecular interaction p2 stacked with head-to-head manner and the (thiopyran-4-ylidene)-1,3-dithiole units interacted effectively with each other (Figure 11 and Figure 12). Since the HOMO-1 distributed on the (thiopyran-4-ylidene)-1,3-dithiole unit of TM-TPDS-STP, the overlap integral p2 (20.2 × 10−3) is larger than those of p1 and p3 (15.7 and 12.6 × 10−3), in which the donors stacked in a head-to-tail manner. The differences among the overlap integrals p1, p2, and p3 led to the electronic tetramerization along the stacking direction. Since the thiopyran units of the interaction c1 were adjacent to each other, the overlap integrals c1 along the molecular long axis was relatively large. It was found that (TM-TPDS-STP)PF6(C6H5Cl) was a band insulator due to the electronic tetramerization and the D:A = 1:1 composition.
Figure 10.
(a) Crystal structure of (TM-TPDS-STP)PF6(C6H5Cl) viewed along the molecular short axis of TM-TPDS-STP. (b) Crystal structure of (TM-TPDS-STP)PF6(C6H5Cl) viewed along the b–a axis.
Figure 10.
(a) Crystal structure of (TM-TPDS-STP)PF6(C6H5Cl) viewed along the molecular short axis of TM-TPDS-STP. (b) Crystal structure of (TM-TPDS-STP)PF6(C6H5Cl) viewed along the b–a axis.

Figure 11.
Molecular overlap modes for p1, p2, and p3 of (TM-TPDS-STP)PF6(C6H5Cl). The atoms and bonds of the depth molecules are faded out.
Figure 11.
Molecular overlap modes for p1, p2, and p3 of (TM-TPDS-STP)PF6(C6H5Cl). The atoms and bonds of the depth molecules are faded out.

Figure 12.
Donor sheet structure of (TM-TPDS-STP)PF6(C6H5Cl) viewed along the molecular short axis. The calculated intermolecular overlaps between HOMO-1s (× 10−3) are p1 = 15.7, p2 = 20.2, p3 = 12.6, c1 = −2.0, and c2 = 0.0022.
Figure 12.
Donor sheet structure of (TM-TPDS-STP)PF6(C6H5Cl) viewed along the molecular short axis. The calculated intermolecular overlaps between HOMO-1s (× 10−3) are p1 = 15.7, p2 = 20.2, p3 = 12.6, c1 = −2.0, and c2 = 0.0022.

2.5. Electrical Properties of the Conducting Materials
Electrical properties of conducting materials based on 1 and 2 obtained so far are summarized in Table 2. The TCNQ complexes and the I3− salts were prepared by mixing of the donors with TCNQ or Bu4NI3 in hot chlorobenzene. Compressed pellets of all the TCNQ complexes and the I3− salts showed relatively high conductivity of σrt = 10−1–101 S cm−1. It is noted that electrical conductivity of the TCNQ complexes and the I3− salt of TPDS-STP reached up to 20 S cm−1 at room temperature even the measurement of conductivity was carried out on a compressed pellet. Although resistivity of all the materials exhibited semiconductive temperature dependence, activation energies (Ea) of TCNQ complexes of 1b, 2a, b and I3− salts of 1a and 2a were very small (0.017–0.040 eV). Empirically, a single crystal of these materials is expected to show metallic conducting behavior. On the other hand, room temperature conductivity of the PF6− and AsF6− salts of TM-PDS-STP and TM-TPDS-STP were not so high (σrt = 10−3–10−2 S cm−1). This result is consistent with those of X-ray structure analysis and band calculation of the PF6− salts, that is, they are band insulators due to dimerized (tetramerized) stack of donors with fully ionized oxidation states.
Table 2.
Electrical properties of conducting materials based on 1 and 2.
| Donor | Acceptor (Solvent) | D:A (:Solvent) | γ | σrt (S cm−1)a | Ea (eV) |
|---|---|---|---|---|---|
| PDS-STP 1a | TCNQ | 5:4 | 0.63 | 7.1 × 100 | 0.20 |
| I3− | 5:4 | 0.8 | 1.6 × 100 | 0.040 | |
| TM-PDS-STP 1b | TCNQ | 1:1 | 0.72 | 3.9 × 10–1 | 0.030 |
| I3− | 5:4 | 0.8 | 3.2 × 10–1 | 0.082 | |
| PF6− (C6H5Cl) | 1:1:0.5 | 1.0 | 1.8 × 10−3 b | 0.22 | |
| TPDS-STP 2a | TCNQ | 5:4 | 0.73 | 1.8 × 101 | 0.033 |
| I3− | 2:1 | 0.5 | 1.9 × 101 | 0.024 | |
| TM-TPDS-STP 2b | TCNQ | 3:2 | 0.45 | 9.1 × 100 | 0.017 |
| I3− | 5:4 | 0.8 | 3.1 × 100 | 0.070 | |
| PF6− (C6H5Cl) | 1:1:1 | 1.0 | 3.7 × 10−2 b | 0.16 | |
| AsF6− | 8.6 × 10−2 b | 0.13 |
a Measured by four-probe method on a compressed pellet; b Measured on a single crystal.
3. Experimental Section
3.1. General
1H NMR spectra were recorded on JEOL NM-SCM270 and JEOL NM-EX400 instrument. Spectra are reported (in δ) with referenced to Me4Si. Mixture of CS2 and C6D6 was used as a solvent. MS spectra were measured on Applied Biosystem MALDI TOFMS Voyager-DETM PRO. Melting points were determined with a Yanaco MP-J3. Cyclic voltammetry (CV) were recorded on ALS/chi 617B electrochemical analyzer. The CV cell consisted of Pt working electrode, Pt wire counter electrode, and an Ag/AgNO3 reference electrode. The measurements were carried out in benzonitrile solution of sample with a concentrate 0.1 M Bu4N+PF6− as a supporting electrolyte. All redox potentials were measured against Ag/Ag+ and converted to vs. Fc/Fc+. Electrical conductivity measurements were achieved using a Fuso-HECS 994 conductivity instrument in the temperature range 80–300 K. Electrical contacts were achieved with gold paste.
3.2. Synthesis
2-(1,3-diselenol-2-ylidene)-5-(tetrahydropyran-4-ylidene)-1,3-deselena-4,6-dithiapentalene (6a). Compound 3a (250 mg, 0.502 mmol) and tetrahydro-4H-pyran-4-one (4) (151 mg, 1.51 mmol) was stirred in toluene (6 mL) and triethyl phosphite (6 mL) at 110 °C under argon for 2 h. After the reaction mixture was cooled to room temperature, n-hexane was added. The resultant precipitate was filtered, washed with n-hexane, and then column chromatographed on silica gel with carbon disulfide as an eluent. After evaporation of the solvent, compound 6a (84 mg, 0.15 mmol) was obtained as brown powder in 30% yield. m.p. 223 °C (dec.); 1H NMR (CS2-C6D6 270 MHz): δ 2.05 (t, J = 5.6 Hz, 4H), 3.48 (t, J = 5.6 Hz, 4H), 6.98 (s, 2H); IR (KBr) v 2915, 1638, 1524, 1379, 1249, 1235, 1096, 1016 cm−1; LDI-TOF-MS Calcd. for C12H10OS2Se4: 553.68 (M+). Found: 551.67 with an isotropic pattern of these selenium atoms; Anal. Calcd. for C12H10OS2Se4: C, 26.20; H, 1.83. Found: C, 26.21; H, 1.85.
The other derivatives 6b, 7a, and 7b were obtained by the similar procedure mentioned above.
2-[4,5-bis(methylthio)-1,3-diselenol-2-ylidene]-5-(tetrahydropyran-4-ylidene)-1,3-deselena-4,6-dithiapentalene (6b). Obtained in 36% yield (49 mg, 0.076 mmol) from 3b (121 mg, 0.21 mmol) and tetrahydro-4H-pyran-4-one (4) (62 mg, 0.62 mmol) after column chromatography on silica gel with carbon disulfide. Dark brown powder; m.p. 229 °C (dec.); 1H NMR (CS2-C6D6 270 MHz): δ 2.08 (t, J = 5.6 Hz, 4H), 2.35 (s, 6H), 3.51 (t, J = 5.6 Hz, 4H); IR (KBr) v 2970, 2916, 2857, 1428, 1380, 1313, 1249, 1232, 1095, 1017 cm−1; LDI-TOF-MS calcd. for C14H14OS2Se4: 643.66 (M+). Found: 641.46 with an isotropic pattern of these selenium atoms; Anal. Calcd. for C14H14OS4Se4: C, 26.18; H, 2.20. Found: C, 26.15; H, 2.23.
2-(1,3-diselenol-2-ylidene)-5-(tetrahydrothiopyran-4-ylidene)-1,3-deselena-4,6-dithiapentalene (7a). Obtained in 39% yield (111 mg, 0.195 mmol) from 3a (250 mg, 0.502 mmol) and 4-oxothiane (5) (234 mg, 2.02 mmol) after column chromatography on silica gel with carbon disulfide. Dark green powder; m.p. 217 °C (dec.); 1H NMR (CS2-C6D6 270MHz)δ 2.31 (m, 4H), 2.47 (m, 4H), 6.96 (s, 2H); IR (KBr) v 2907, 1528, 1423, 1270, 1171, 1000 cm−1; LDI-TOF-MS Calcd. for C12H10S3Se4: 567.66 (M+). Found: 569.18 with an isotropic pattern of these selenium atoms; Anal. Calcd. for C12H10S3Se4: C, 25.45; H, 1.78. Found: C, 25.39; H, 1.80.
2-[4,5-bis(methylthio)-1,3-diselenol-2-ylidene]-5-(tetrahydrothiopyran-4-ylidene)-1,3-deselena-4,6-dithiapentalene (7b). Obtained in 56% yield (94 mg, 0.14 mmol) from 3b (150 mg, 0.254 mmol) and 4-oxothiane (5) (90 mg, 0.78 mmol) after column chromatography on silica gel with carbon disulfide. Dark green powder; m.p. 219 °C (dec.); 1H NMR (CS2-C6D6 270 MHz)δ 2.36 (s, 6H), 2.36 (m, 4H), 2.51 (m, 4H); IR (KBr) v 2913, 1638, 1421, 1271, 1171, 938 cm−1; LDI-TOF-MS Calcd. for C14H14S5Se4: 657.64 (M+). Found: 658.87 with an isotropic pattern of these selenium atoms; Anal. Calcd. for C14H14S5Se4: C, 25.54; H, 2.14. Found: C, 25.33; H, 2.09.
2-(1,3-diselenol-2-ylidene)-5-(pyran-4-ylidene)-1,3-diselena-4,6-dithiapentalene (1a). A solution of DDQ (51 mg, 0.22 mmol) in mixed xylene (24 mL) was added dropwise for 30 min to a stirred solution of 6a (50 mg, 0.091 mmol) in mixed xylene (30 mL) at reflux under argon. After additional 30 min, the reaction mixture was cooled down to room temperature. Then, n-hexane was added, and the resultant precipitate was filtered. Purification by column chromatography on silica gel with carbon disulfide as an eluent afforded compound 1a (28 mg, 0.051 mmol) was obtained as ocher powder in 55% yield. m.p. 204 °C; 1H NMR (CS2-C6D6 270 MHz) δ 5.31 (d, J = 3.6 Hz, 2H), 6.30 (d, J = 3.6 Hz, 2H), 6.98 (s, 2H); IR (KBr) v 1255, 1212, 1033, 901 cm−1; LDI-TOF-MS Calcd. for C12H6OS2Se4: 547.65 (M+). Found: 549.30 with an isotropic pattern of these selenium atoms; Anal. Calcd. for C12H6OS2Se4: C, 26.39; H, 1.11. Found: C, 26.17; H, 1.41.
The other derivatives 1b, 2a, and 2b were obtained by the similar procedure mentioned above.
2-[4,5-bis(methylthio)-1,3-diselenol-2-ylidene]-5-(pyran-4-ylidene)-1,3-deselena-4,6-dithiapentalene (1b). Obtained in 75% yield (33 mg, 0.052 mmol) from 6b (44 mg, 0.069 mmol) and DDQ (39 mg, 0.17 mmol) after column chromatography on silica gel with carbon disulfide. Ocher powder; m.p. 222 °C (dec.); 1H NMR (CS2-C6D6 270 MHz) δ 2.32 (s, 6H), 5.3 (d, J = 3.6 Hz, 2H), 6.33 (d, J = 3.6 Hz, 2H); IR (KBr) v 2913, 1663, 1429, 1254, 1034, 900 cm−1; LDI-TOF-MS Calcd. for C14H10OS4Se4: 639.63 (M+). Found: 639.02 with an isotropic pattern of these selenium atoms; Anal. Calcd. for C14H10OS4Se4: C, 26.18; H, 2.20. Found: C, 25.95; H, 1.90.
2-(1,3-diselenol-2-ylidene)-5-(thiopyran-4-ylidene)-1,3-diselena-4,6-dithiapentalene (2a). Obtained in 51% yield (56 mg, 0.099 mmol) from 7a (112 mg, 0.199 mmol) and DDQ (113 mg, 0.498 mmol) after column chromatography on silica gel with carbon disulfide. Ocher powder; m.p. 221 °C (dec.); 1H NMR (CS2-C6D6 270 MHz) δ 5.91 (s, 4H), 7.03 (s, 2H) IR (KBr) v 2920, 1637, 1542, 1509, 1421, 1038 cm−1; LDI-TOF-MS Calcd. for C12H6S3Se4: 563.63 (M+). Found: 563.25 with an isotropic pattern of these selenium atoms.
2-[4,5-bis(methylthio)-1,3-diselenol-2-ylidene]-5-(thiopyran-4-ylidene)-1,3-deselena-4,6-dithiapentalene (2b). Obtained in 86% yield (76 mg, 0.13 mmol) from 7b (100 mg, 0.152 mmol) and DDQ (86 mg, 0.38 mmol) after column chromatography on silica gel with carbon disulfide. Ocher powder; m.p. 222 °C (dec.); 1H NMR (CS2-C6D6 270 MHz) δ 2.32 (s, 6H), 5.91(s, 4H); IR (KBr) v 2913, 1543, 1491, 1422, 1294, 1090 cm−1; LDI-TOF-MS Calcd. for C14H10S5Se4: 655.61 (M+). Found: 654.57 with an isotropic pattern of these selenium atoms; Anal. Calcd. for C14H10S5Se4: C, 25.70; H, 1.54. Found: C, 25.41; H, 1.55.
3.3. General Procedure for Preparation of TCNQ Complexes and I3− Salts
Hot solutions of donor molecule and TCNQ or tetra-n-butylammonium triiodide in chlorobenzene were mixed, and the resultant precipitate was collected by filtration. The TCNQ complex was washed with carbon disulfide and acetonitrile, and dried in vacuo. The I3− salts were washed with carbon disulfide and methanol, and dried in vacuo. The stoichiometry of TCNQ complexes and the I3− salts was determined by elemental analysis.
3.4. General Procedure for Preparation of Cation Radical Salts
Cation radical salts of 1b and 2b were prepared by electrochemical oxidation in chlorobenzene (5% ethanol, v/v, 18 mL) at a controlled current from 0.2 up to 1.0 μA in the presence of the corresponding tetra-n-butylammonium salts at 50 °C for 1–3 weeks. The crystals obtained were washed with ethanol and were air-dried at room temperature.
3.5. X-ray Crystallographic Analysis
The diffraction data were collected on a Rigaku Mercury70 diffractometer using graphite monochromated Mo-Kα radiation. (λ = 0.71070 Å). The structures were solved by the direct method (SIR97 [12]) and refined by full-matrix least squares on F2 (SHELXL-97 [13]). Details concerning the crystal data collection and refinement parameters for TM-PDS-STP, (TM-PDS-STP)PF6(C6H5Cl)0.5, and (TM-TPDS-STP)PF6(C6H5Cl) are summarized in Table 3. CCDC-892512, CCDC-892513, and CCDC-892514 (for TM-PDS-STP, (TM-PDS-STP)(PF6)(C6H5Cl)0.5, and (TM-TPDS-STP)PF6(C6H5Cl)) contain the supplementary crystallographic data for this paper. These data can be obtained free of charge from the Cambridge Crystallographic Data Centre via www.ccdc.cam.ac.uk/data_request/cif.
Table 3.
Crystal data and structure refinement for TM-PDS-STP, (TM-PDS-STP)PF6(C6H5Cl)0.5, and (TM-TPDS-STP)PF6(C6H5Cl).
| Compound | TM-PDS-STP | (TM-PDS-STP)PF6(C6H5Cl)0.5 | (TM-TPDS-STP)PF6(C6H5Cl) |
| Formula | C14H10OS4Se4 | C16H16F6O2PS4Se4 | C20H15ClF6PS5Se4 |
| Formula weight | 638.30 | 829.34 | 911.89 |
| Crystal system | Monoclinic | Triclinic | Triclinic |
| Space group | P21/n | Pī | Pī |
| a (Å) | 5.230(1) | 7.917(3) | 12.666(3) |
| b (Å) | 11.006(2) | 10.582(3) | 14.299(4) |
| c (Å) | 31.718(6) | 15.979(5) | 16.289(5) |
| α (°) | 90 | 76.67(2) | 85.39(2) |
| β (°) | 93.903(6) | 89.92(2) | 88.219(19) |
| γ (°) | 90 | 89.12(2) | 79.79(2) |
| V (Å3) | 1821.4(6) | 1302.5(7) | 2894(1) |
| Z | 4 | 2 | 2 |
| λ (Å) | 0.71070 | 0.71070 | 0.71070 |
| Dcalc (mg m−3) | 2.328 | 2.115 | 2.093 |
| μ (mm−1) | 8.514 | 6.072 | 5.631 |
| Number of reflections collected | 16677 | 13884 | 31475 |
| Number of independent reflections | 4129 | 5841 | 12916 |
| Number of reflections with [ I > 2σ(I)] | 2787 | 2799 | 6484 |
| Number of parameters refined | 211 | 382 | 689 |
| R | 0.0601 | 0.0786 | 0.0749 |
3.6. Electronic Band Calculations
From the results of the crystal structure analysis, intermolecular overlap integrals were calculated by considering in the HOMO-1 of donor molecules obtained by the result of density functional theory (DFT) calculation at the UB3LYP/6-31G(d) level [14] using Gaussian 09 program package [15]. The electronic band dispersions and Fermi surfaces were calculated using the intermolecular transfer integrals under the tight-binding approximation [16].
4. Conclusions
Four kinds of new bis-fused donors composed of (thio)pyran-4-ylidene-1,3-dithiole and tetraselenafulvalene (1a, 2a) and their bis(methylthio) derivatives tetraselenafulvalene (1b, 2b) were successfully synthesized. The results of cyclic voltammetry indicated that a positive charge of 1+• and 2+• distributed mainly on the (thio)pyran-4-ylidene-1,3-dithiole moiety, probably due to more powerful donating ability of (thio)pyran-4-ylidene-1,3-dithiole than tetraselenafulvalene. Occurrence of such an intramolecular charge disproportionation in the radical cation salts (1b)PF6(C6H5Cl)0.5 and (2b)PF6(C6H5Cl) was also suggested by the results of X-ray structure analysis and DFT calculation. The expected observation of “windmill” type structure was not observed, probably due to intramolecular charge disproportionation of the donors as well as 1:1 composition of the donor to anion. High conductivity found in the TCNQ complexes and the I3– salts (σrt = 0.3–19 S cm−1 on a compressed pellet) with very low activation energies (0.017–0.040 eV) brings high expectation that 1 and 2 are promising donor components for development of new molecular conductors. We are currently investigating synthesis of the analogues of 1 and 2, in which selenium atoms are exchanged or added to the other positions of sulfurs, as well as preparation of molecular conductors of 1 and 2 with different anions.
Acknowledgments
This work is partially supported by a Grant-in-Aid for Scientific Research (Nos. 18GS0208, 20110006, and 23550155) from the Ministry of Education, Culture, Sports, Science and Technology, Japan, and Japan Society for the Promotion of Science, and by JST ALCA program. We are grateful to the Instrument Center of the Institute for Molecular Science for the X-ray structure analysis using the Rigaku AFC-8R Mercury CCD system.
References and Notes
- For a recent review of TTP-based organic conductors, see Misaki, Y. Tetrathiapentalene-based organic conductors. Sci. Technol. Adv. Mater. 2009, 10, 024301:1–024301:22. [Google Scholar]
- Misaki, Y.; Fujiwara, H.; Yamabe, T.; Mori, T.; Mori, H.; Tanaka, S. Structure and conducting properties of BDT-TTP salts. Chem Lett. 1994, 23, 1653–1656. [Google Scholar]
- Misaki, Y.; Tanaka, K.; Taniguchi, M.; Yamabe, T.; Mori, T. Structures and electrical properties of (EO-TTP)2AsF6. Chem. Lett. 1999, 28, 1249–1250. [Google Scholar]
- Misaki, Y.; Fujiwara, H.; Maruyama, T.; Taniguchi, M.; Yamabe, T.; Mori, T.; Mori, H.; Tanaka, S. Novel oxygen containing π-electron donors for organic metals: 2-(1,3-dithiol-2-ylidene)-5-(pyran-4-ylidene)-1,3,4,6-tetrathiapentalenes. Chem. Mater. 1999, 11, 2360–2368. [Google Scholar]
- Misaki, Y.; Fujiwara, H.; Yamabe, T. Novel bis-fused p-electron donors for organic metals: 2-(1,3-dithiol-2-ylidene)-5-(thiopyran-4-ylidene)-1,3,4,6-tetrathiapentalene. J. Org. Chem. 1996, 61, 3650–3656. [Google Scholar]
- Misaki, Y.; Kaibuki, T.; Taniguchi, M.; Tanaka, K.; Kawamoto, T.; Mori, T.; Nakamura, T. A Novel organic conductor with three-dimensional donor array: (TM-TPDS)2AsF6. Chem. Lett. 2000, 29, 1274–1275. [Google Scholar]
- Takahashi, K.; Nakayashiki, T.; Taniguchi, M.; Misaki, Y.; Tanaka, K. A novel organic conductor with two-dimensional molecular array by the "edge-to-edge" donor interaction. Chem. Lett. 2001, 30, 162–163. [Google Scholar]
- Ishizu, K.; Watanabe, M.; Tanahashi, T.; Misaki, Y.; Ashizawa, M.; Mori, T. Synthesis and properties of new TTP donors composed of TTF and TSF moieties. J. Phys. Confer. Ser. 2008, 132, 012021:1–012021:5. [Google Scholar]
- Ashizawa, M.; Ishizu, K.; Watanabe, M.; Tanahashi, T.; Shirahata, T.; Kawamoto, T.; Mori, T.; Misaki, Y. Novel bis-fused π-electron donor composed of tetrathiafulvalene and tetraselenafulvalene. Chem. Lett. 2010, 39, 1093–1095. [Google Scholar] [CrossRef]
- Bondi, A. van der Waals volumes and radii. J. Phys. Chem. 1964, 68, 441–451. [Google Scholar] [CrossRef]
- Anzai, H.; Delrieu, J.M.; Takasaki, S.; Nakatsuji, S.; Yamada, J. Crystal growth of organic charge-transfer complexes by electrocrystallization with controlled applied current. J. Cryst. Growth 1995, 154, 145–150. [Google Scholar] [CrossRef]
- Altomare, A.; Burla, M.; Camalli, M.; Cascarano, G.; Giacovazzo, C.; Guagliardi, A.; Moliterni, A.; Polidori, G.; Spagna, R. SIR97: a new tool for crystal structure determination and refinement. J. Appl. Cryst. 1999, 32, 115–119. [Google Scholar] [CrossRef]
- Sheldrick, G.M. SHELX-97, Program for the Refinement of Crystal Structures; University of Gottingen: Gottingen, Germany, 1996. [Google Scholar]
- Hehre, W.J.; Ditchfield, R.; Pople, J.A. Self—Consistent molecular orbital methods. XII. Further extensions of Gaussian—Type basis sets for use in molecular orbital studies of organic molecules. J. Chem. Phys. 1972, 56, 2257–2261. [Google Scholar] [CrossRef]
- Frisch, M.J.; Trucks, G.W.; Schlegel, H.B.; Scuseria, G.E.; Robb, M.A.; Cheeseman, J.R.; Scalmani, G.; Barone, V.; Mennucci, B.; Petersson, G.A.; et al. Gaussian 09, Revision C.01; Gaussian, Inc.: Wallingford, CT, USA, 2011. [Google Scholar]
- Mori, T.; Kobayashi, A.; Sasaki, Y.; Kobayashi, H.; Saito, G.; Inokuchi, H. The intermolecular interaction of tetrathiafulvalene and bis(ethylenedithio)tetrathiafulvalene in organic metals. Calculation of orbital overlaps and models of energy-band structures. Bull. Chem. Soc. Jpn. 1984, 57, 627–633. [Google Scholar] [CrossRef]
© 2012 by the authors; licensee MDPI, Basel, Switzerland. This article is an open-access article distributed under the terms and conditions of the Creative Commons Attribution license (http://creativecommons.org/licenses/by/3.0/).