Next Article in Journal
Effect of Mechanical Alloying Time on the Structural and Phase State of BN–C–Ti–Al Composites as Structural Prerequisites for Hydrogen Storage
Previous Article in Journal
Numerical Investigation of Thermal Diode-Based Elastocaloric Heat Pump Working with Different Crystalline Refrigerants and Thermoelectric Switches
Previous Article in Special Issue
Racemic and Enantiomeric Alkoxycyanobiphenyls Bearing Terminal Vicinal Fluorine Substituents: Synthesis and Mesogenic Behavior
 
 
Font Type:
Arial Georgia Verdana
Font Size:
Aa Aa Aa
Line Spacing:
Column Width:
Background:
Article

Electro-Optical Behavior of Nematic Liquid Crystals Doped with Mn-Doped ZnFe2O4 Ferrite Nanoparticles

1
Department of Physics, Žilina University, Univerzitná 1, 010 26 Žilina, Slovakia
2
Dr. K C Patel R & D Centre, Charotar University of Science and Technology, Changa, Anand 388421, Gujarat, India
3
Institute of Experimental Physics, Slovak Academy of Science, Watsonova 47, 040 01 Košice, Slovakia
*
Author to whom correspondence should be addressed.
Crystals 2026, 16(3), 154; https://doi.org/10.3390/cryst16030154
Submission received: 29 January 2026 / Accepted: 17 February 2026 / Published: 24 February 2026

Abstract

The electro-optical behavior of and electric-field-induced structural changes in nematic liquid crystals (6CHBT and 5CB) doped with a low concentration (1 × 10−4) of Mn-doped zinc ferrite nanoparticles were investigated. Light transmission and surface acoustic wave attenuation techniques were employed to monitor structural responses under increasing and decreasing electric field modes, as well as after pulsed field application. The influence of nanoparticle morphology (rods, needles, and clusters) and particle size on the field-induced structural modifications was systematically evaluated. Shifts in the threshold electric field were observed. The results obtained from both experimental approaches were compared in terms of suspension stability and demonstrate the potential of these ferronematic systems for applications in sensors, smart materials, and information storage devices.

1. Introduction

Transition metal ferrite nanoparticles have garnered significant interest because of their unique properties and their suitability for diverse applications such as ferrofluids, biomedicine, sensors, catalysis, and magnetic refrigeration [1,2,3,4]. An important class of these materials is represented by spinel ferrites with the general formula MFe2O4 (M = Zn, Mn, Co, Ni). Among them, ZnFe2O4 exhibits particularly distinctive features arising from the diamagnetic nature of Zn2+ ions, the magnetic contributions of iron ions (Fe2+ and Fe3+), and its high physical and chemical stability [5]. ZnFe2O4 nanoparticles are also characterized by unique electrical, magnetic, optical, thermal, and mechanical properties, which underpin their broad potential for technological applications [2,4,6,7,8]. Consequently, composite materials obtained by dispersing ZnFe2O4 nanoparticles in a liquid crystal (LC) host have attracted considerable interest as an effective approach to tailoring the intrinsic properties of liquid crystals for LC-based devices. In addition, nematic liquid crystal composites doped with metal oxide nanoparticles—such as nickel oxide (NiO), titanium dioxide (TiO2), zinc oxide (ZnO), and related systems—have been extensively investigated owing to their distinctive physical and chemical properties [9,10,11,12,13].
Nematic liquid crystals (NLCs), one of the most important classes of liquid crystalline materials, are characterized by a thermodynamically stable state of matter that exists between the crystalline solid and isotropic liquid phases and is distinguished by the long-range orientational order of the molecular axes along a preferred direction. The orientation of NLC molecules can be modified by external electric and magnetic fields due to their intrinsic electric and magnetic anisotropies [14,15,16,17,18]. One effective approach to expanding the functional capabilities of NLCs under external fields is the incorporation of dopants. Doped NLC systems offer promising routes for the development of novel materials based on the controlled arrangement of dispersed particles under applied fields.
Experimental parameters such as nanoparticle composition, concentration, shape, and size, as well as cell surface treatment and the magnitude of applied electric or magnetic fields, play a crucial role in determining the overall properties of these composites. Among various dopants, ferroelectric particles have been shown to exert a strong influence on the optical and dielectric properties of the NLC matrix [19,20,21]. Their incorporation can result in reduced driving voltages, enhanced reflection contrast, and increased sharpness of field-induced transitions. The properties of doped NLC composites often differ markedly from those of the host materials and may lead to enhanced or entirely new functionalities that are absent in pure NLC systems [22,23,24,25].
Recent studies on the dielectric and electro-optical properties of 7CB [26,27] and PCH5 [28] composites containing ZnFe2O4 nanoparticles at various concentrations dispersed in both nematic liquid crystals have demonstrated a uniform nanoparticle dispersion at low concentrations and a significant influence of zinc ferrite nanoparticles on the overall properties of the composites. The results confirmed that both the nanoparticle concentration in the NLCs and the applied electric field play a crucial role in determining the observed dielectric and electro-optical responses. A pronounced shift in the threshold voltage was observed in both types of composites.
With respect to the memory effect, only weak memory was detected in the pure NLCs, whereas a noticeable and concentration-dependent memory effect was observed in the 7CB/ZnFe2O4 composites. In summary, NLC systems doped with ZnFe2O4 nanoparticles are of considerable interest, as the modification of the host NLC properties broadens their potential applications in NLC-based devices.
Another important approach to utilizing zinc ferrite nanoparticles involves substitutional doping within the ZnFe2O4 lattice, which can occur at the Zn site, the Fe site, or both. Such modified ferrites have been investigated for a variety of applications, including gas sensors, electromagnetic wave absorbers, and electrode materials for capacitors and lithium-ion batteries [29,30]. Through these modifications, ZnFe2O4 can be regarded as a multifunctional material, making it particularly attractive as a dopant in nematic liquid crystal composites.
Nickel–zinc ferrite (Ni0.5Zn0.5Fe2O4) nanoparticles dispersed in chiral nematic liquid crystals have been shown to significantly influence several composite parameters, including dielectric properties, threshold voltage, and elastic constants [31]. In particular, the threshold voltage and splay elastic constant were substantially reduced, while the photoluminescence intensity increased upon the incorporation of an appropriate concentration of Ni0.5Zn0.5Fe2O4 nanoparticles. From a structural perspective, Ni0.5Zn0.5Fe2O4 is a mixed spinel, characterized by nonmagnetic Zn2+ ions occupying tetrahedral sites, magnetic Ni2+ ions located at octahedral sites, and iron ions distributed over both sites [32]. The strong interaction between the guest nickel–zinc ferrite nanoparticles and the host chiral NLC molecules suggests that this composite system is a promising candidate for optoelectronic applications.
Newly reported studies on the effects of CoFe2O4 nanoparticles on the properties of electro-optical liquid crystal cells based on nematic liquid crystal composites (5CB), subjected to electric fields with different bias voltage waveforms, have indicated that the incorporation of CoFe2O4 nanoparticles markedly alters both the electrical and optical properties of the NLC system [33]. These changes open new possibilities for the development of more sensitive sensors and display devices with enhanced performance. Furthermore, investigations into the influence of newly synthesized bismuth ferrite (BiFeO3) nanoparticles on the dielectric properties of nematic liquid crystals (MBBA) have demonstrated their potential for photovoltaic applications [34]. These studies revealed distinctive dielectric behavior, particularly at higher nanoparticle concentrations (≥0.3 wt%), leading to a significant enhancement in dielectric anisotropy due to the partial disruption of the nematic orientational order. The results further demonstrate that the careful tuning of nanoparticle size and concentration enables the substantial modification of the dielectric properties of NLC composites.
Mn2+ ions in Mn–Zn ferrite (MnZnFe2O4) nanoparticles, similarly to nickel ions in zinc ferrite, play a decisive role in determining the magnetic properties of these nanoparticles. The substitution of Mn2+ ions significantly influences the degree of inversion, the magnetic moment of MnZnFe2O4 particles, and the transition temperature between different magnetic states. The partial replacement of Zn by Mn, such as in Mn0.5Zn0.5Fe2O4, leads to an enhancement in ferromagnetic interactions without a significant change in crystallite size [35]. Studies of the optical, thermal, and electrical properties of Mn-doped zinc ferrites have revealed one, two, or even three distinct conduction regions depending on the Mn concentration, indicating that these materials can function as mixed ionic–electronic conductors [36]. The values of activation energy further suggest that charge transport is influenced by defects in the samples, including vacancies and mobile ions, which also affect the electrical and optical properties. Regarding dielectric behavior, initial Mn substitution at the Zn site results in a decrease in the dielectric constant, whereas further increases in Mn concentration lead to a slight rise. The dielectric properties of MnZnFe2O4 nanoparticles were found to be thermally stable up to 300 °C, making these materials promising candidates for thermally stable capacitors, as well as semiconductor devices.
In the present contribution, we investigate for the first time the electro-optical behavior and the corresponding electric-field-induced structural changes in nematic liquid crystal composites (5CB and 6CHBT) doped with Mn-doped zinc ferrite nanoparticles. This study builds upon our previous work [35], in which the effects of Mn-doped zinc ferrite nanoparticles under an applied magnetic field were examined. Structural changes are analyzed using both light transmission and surface acoustic wave attenuation measurements to obtain a comprehensive understanding of the behavior of the investigated NLC composites under an external electric field. The primary aim of this work is to assess the influence of Mn-doped zinc ferrite nanoparticles as a novel dopant on the structural and electro-optical properties of nematic liquid crystals, which have not been explored to date.

2. Materials and Methods

Mn0.5Zn0.5Fe2O4 nanoparticles with rod-like, clustered, and needle-like morphologies were synthesized using hydrothermal and solvothermal techniques. The detailed procedures for preparing the individual morphologies, including the purity of all chemical reagents used, have been described elsewhere [35]. Transmission electron microscopy (TEM) images of all nanoparticle types—rods, clusters, and needles (see Figure 1 and Figure 2)—were used to determine particle sizes through morphological analysis using ImageJ software (version 1.4) [35]. The average length of the rod-like nanoparticles was 1883.2 ± 600 nm, while that of the needle-like nanoparticles was 22.9 ± 0.4 nm. The corresponding diameters of the rods and needles were 357.2 ± 26 nm and 3.1 ± 0.04 nm, respectively. The average size of the clustered nanoparticles was determined to be 106.8 ± 1.3 nm.
The NLC composites were prepared by dispersing Mn0.5Zn0.5Fe2O4 nanoparticles of different morphologies into nematic liquid crystals at a final volume concentration of 1× 10−4. Two thermotropic nematic liquid crystals were used as host materials: 4-(trans-4′-n-hexylcyclohexyl) isothiocyanatobenzene (6CHBT) and 4-cyano-4′-pentylbiphenyl (5CB). Both materials were obtained from the Military University of Technology (MUT, Warsaw, Poland). Prior to filling the measuring cells, the individual NLC/MnZnFe2O4 composite samples were heated above their respective isotropic transition temperatures and subsequently subjected to ultrasonic stirring for 4 h to ensure homogeneous nanoparticle dispersion. All nanoparticles used in this study were uncoated powders.
The influence of MnZnFe2O4 nanoparticles with different morphologies, and consequently different sizes, on the optical properties of nematic liquid crystal composites (6CHBT and 5CB) was investigated primarily through light transmission measurements, focusing on electric-field-induced structural changes. For the optical experiments, cells with a thickness of 50 μm were used. The cells were coated with indium tin oxide (ITO) transparent conductive layers and alignment layers that were rubbed in a parallel direction relative to the electrodes.
The cells were filled with the NLC composite samples using the capillary method after mixing in the isotropic phase. A linearly polarized laser beam with a wavelength of 532 nm illuminated the glass surface of the cell at normal incidence. The intensity of the transmitted light passing through the NLC cell was detected using a photodetector connected to a computer, which monitored the light transmission as a function of the applied voltage or time. The light transmission was expressed as I/I0 for the configuration with parallel polarizers, where I0 represents the maximum intensity of the incident light transmitted through the NLC cell, and I denotes the instantaneous transmitted intensity under an applied electric field. No bias electric field was applied during the investigation of the suspensions. The detailed experimental configuration has been described elsewhere [37].
SAW attenuation measurements were employed as a complementary technique to evaluate the influence of MnZnFe2O4 nanoparticles with different morphologies on the electric-field-induced structural changes in the investigated nematic liquid crystal composites. The NLC cells for SAW measurements were fabricated directly at the center of a lithium niobate (LiNbO3) substrate used for SAW generation. The cell thickness, approximately 100 μm, was defined using a spacer strip.
The LiNbO3 substrate was additionally equipped with two interdigital transducers (IDTs) positioned at opposite ends. The first IDT generated SAW pulses (~1 μs) at a frequency of 10 MHz, while the second IDT detected the SAW signal after its interaction with the NLC layer. Both IDTs were operated using the generator and receiver units of a MATEC 7700 system. The SAW attenuation response was recorded using a MATEC Attenuation Recorder 2470A, which compared the received signal with a reference value.
The initial molecular arrangement of the NLC in the SAW measuring cell was assumed to be predominantly planar. This assumption is based on the use of optically polished surfaces for both the LiNbO3 delay line and the covering glass, which, due to anchoring effects, promote the planar alignment of NLC molecules. An electric field, identical to that applied in the light transmission measurements, was applied perpendicular to the cell surface. A detailed schematic of the experimental configuration has been reported elsewhere [37].

3. Results and Discussion

Light transmission (LT) measurements were performed on a series of nematic liquid crystal composites doped with Mn–Zn ferrite nanoparticles using the experimental arrangement described in the previous section. Figure 1 and Figure 2 illustrate the effect of an applied electric field (DC voltage) on LT changes in 5CB (Figure 1) and 6CHBT (Figure 2) composites containing Mn0.5Zn0.5Fe2O4 nanoparticles at the same concentration but with different morphologies. A nanoparticle concentration of 1 × 10−4 was selected as an appropriate value for comparing the influence of nanoparticle shape.
It is evident that both the magnitude and overall evolution of the LT response under the applied voltage depend on the nanoparticle morphology and the type of host NLC. In the case of 5CB-based composites, LT remains nearly constant up to approximately 3.5–5 V, depending on the nanoparticle shape, and then exhibits a sharp decrease corresponding to the threshold voltage. After reaching a minimum, a saturation state is observed only for composites doped with rod-like nanoparticles. In contrast, the LT responses of the other two composites display several unexpected humps, similar to the behavior observed in pure 5CB.
This behavior confirms that the properties of NLC composites containing dispersed Mn–Zn ferrite nanoparticles are strongly influenced by the characteristics of the host NLC. In particular, the presence of cluster-like and needle-like nanoparticles as dopants accentuates this effect. The LT behavior observed in composites doped with nanorods is comparable to that reported for NLC composites containing superionic nanoparticles [38] or SiO2 nanoparticles [37], even when dispersed in the same NLC host. In contrast, cluster-like and needle-like nanoparticles appear to affect structural changes, and consequently the LT response, in a distinctly different manner.
Although elongated nanoparticle shapes such as rods or needles might be expected to facilitate a more efficient reorientation of their dipole moments along the electric field direction compared to cluster-like nanoparticles, the experimental results indicate a more complex behavior. In particular, the differing responses of composites containing needle-like nanoparticles relative to those with nanorods may be attributed, at least in part, to the significantly smaller size of the needle-like nanoparticles compared to both rods and clusters.
The LT response observed for the 6CHBT-based composites (Figure 2) exhibits, in its main features, behavior similar to that of the 5CB-based composites. However, the pronounced drops in the LT signal following an initially nearly constant region occur at higher voltages, approximately in the range of 5–7 V, compared to the 5CB systems while still showing a clear dependence on nanoparticle morphology. After reaching the minimum LT value, the subsequent evolution of the LT response appears to be strongly influenced by the intrinsic properties of the pure 6CHBT host.
Among the investigated systems, the weakest influence of the host NLC and the most stable LT behavior were again observed for composites doped with rod-like nanoparticles. As previously noted, an important characteristic of the individual nanoparticle morphologies is their markedly different size. Given that the particle dimensions vary from approximately 23 nm for needle-like nanoparticles, through about 106 nm for clustered nanoparticles, up to nearly 1900 nm for rod-like nanoparticles, the effect of the applied electric field on the LT response is likely to be size-dependent.
Figure 1 and Figure 2 also illustrate the influence of the applied voltage on the LT response of both 5CB (Figure 1) and 6CHBT (Figure 2) composites in the decreasing voltage regime. In the case of 5CB-based composites, only a negligible memory effect was observed for all nanoparticle morphologies, despite the presence of slight hysteresis. In contrast, for 6CHBT-based composites doped with cluster-like nanoparticles, the memory effect reached approximately 12.5% of the maximum LT change, while for needle-like nanoparticles, it increased to nearly 50%. While the small memory effect observed in pure nematic liquid crystals is generally attributed to structural deformations, in Mn–Zn ferrite-doped system’s iron ions may play an additional role analogous to that of surfactant molecules. Specifically, iron present on the Mn and/or Zn surfaces can adsorb mobile ions in the NLC suspension due to its magnetic nature. As a result, the concentration of charged mobile ions is reduced in the composites. Because the MnZnFe2O4 nanoparticles differ in shape and size, the extent of mobile ion reduction varies among individual NLC composites. These residual LT responses are comparable to those reported for nematic liquid crystals (7CB) doped with zinc ferrite nanoparticles at certain concentrations under an applied electric field [26]. During repeated measurement cycles, the overall character of the LT response remained unchanged for all nanoparticle morphologies and both types of nematic liquid crystals. However, in the case of the 6CHBT composite doped with needle-like nanoparticles, the transmitted light intensity progressively decreased in subsequent cycles as a consequence of the memory effect.
For clarity, the influence of the applied electric field on the LT response of both 5CB and 6CHBT composites doped with MnZnFe2O4 nanoparticles of identical concentration but different morphologies, together with the corresponding pure NLCs, is summarized in Figure 3. It is evident that Mn–Zn ferrite nanoparticles shift the threshold electric field to higher voltages in both 5CB and 6CHBT compared to the pure NLCs. The magnitude of this shift depends on nanoparticle morphology, particle size, and the intrinsic properties of the host NLC. Among the 5CB-based composites, the largest increase in threshold voltage relative to the pure NLC was observed for samples doped with rod-like nanoparticles. Composites containing cluster-like and needle-like nanoparticles exhibited progressively smaller shifts in the threshold voltage, in that order. The shift in threshold voltage observed in the investigated NLC composites can be influenced by strong dipole–dipole interactions between MnZnFe2O4 nanoparticles and NLC molecules, which promote nanoparticle alignment along the nematic director, and by a higher degree of agglomeration that leads to increased electrical conductivity in these systems [26].
A similar increase in the threshold voltage was observed for the 6CHBT-based composites; however, in this case, the most pronounced shift occurred for samples doped with needle-like nanoparticles. Comparable threshold shifts in LT measurements have previously been reported for certain concentrations of zinc ferrite nanoparticles dispersed in 7CB [26]. In that study, the increased threshold voltage was attributed to the presence of ionic charge carriers, which are likely also responsible for the enhanced memory effects observed at higher nanoparticle concentrations.
While the rod or needle shapes of nanoparticles enable their magnetic moments to reorient in the magnetic field direction better than the cluster shape [35], the behavior of nanoparticles with different shapes in the electric field is quite different; it is influenced by nanoparticle dipole moments. As regards individual LT dependences, it is evident that only in the case of 5CB composites doped with rod-like particles can some quasi-stable behavior be registered after reaching the LT minimum. In other composites, LT responses follow the behavior of pure NLC.
Figure 4 presents LT time responses (switching dynamics) for 5CB (Figure 4a) and 6CHBT (Figure 4b) composites doped with Mn–Zn ferrite nanoparticles of rod-like, cluster-like, and needle-like morphologies, all at a concentration of Φ = 1 × 10−4, measured at an applied voltage of 9.5 V, as representative examples. The recorded LT time responses, similar to those obtained at other applied voltages, are largely consistent with the steady-state LT characteristics shown in Figure 3a,b. Specifically, the LT signals rapidly evolve through their transient stages and subsequently stabilize at their respective steady-state levels.
The LT responses recorded after switching off the applied voltage follow the trends observed in the decreasing voltage regime presented in Figure 1 and Figure 2. A clear difference in memory behavior was also observed between composites based on 5CB and those based on 6CHBT. While the 5CB composites exhibit only negligible memory effects, the 6CHBT composites display a pronounced memory effect. This discrepancy is likely related to differences in the internal molecular structure of the two host NLCs. As a consequence of the memory effect, the amplitudes of the LT switching jumps may be slightly reduced compared to those expected from the steady-state LT characteristics.
Additionally, a slight shift in the threshold voltage toward lower values was observed following rapid voltage changes, in contrast to measurements performed under a slower voltage ramp in the range of 0–9.5 V. Figure 4c shows selected LT time responses corresponding to relatively stable switching behavior. However, due to the use of lower applied voltages, the associated relaxation times are longer. The primary reason for the different relaxation times observed in the curves presented in Figure 4c, compared with those shown in Figure 4, is that the structural changes develop progressively depending on the applied voltage. Consequently, the response of the composites after the light is switched off depends on the final magnitude of the applied voltage [37]. This behavior of the NLC composites can be explained by assuming that, during driving up to a maximum of 4.5 and/or 6.0 V, only a fraction of the composite undergoes structural reorganization because the applied voltage is insufficient to induce complete reorientation. Irreversible changes, or changes requiring longer relaxation times, occur during subsequent increases in the driving voltage up to 9.5 V. As a result, memory effects and prolonged relaxation times become apparent. In the case of the 6CHBT composite doped with needle-like nanoparticles, the relaxation time increases from 3.9 s to 71.4 s, including the final memory effect.
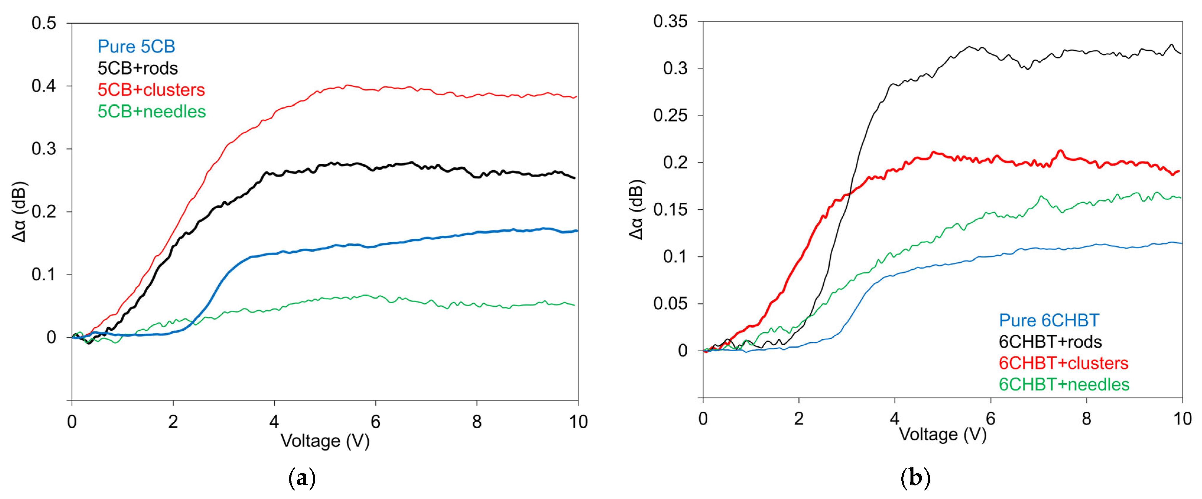
Figure 5 shows the effect of an applied electric field on the surface acoustic wave (SAW) attenuation, which reflects electric-field-induced structural changes, for both investigated nematic liquid crystal composites (5CB and 6CHBT) doped with Mn0.5Zn0.5Fe2O4 nanoparticles at the same concentration (Φ = 1 × 10−4) but with different morphologies (rod-like, needle-like, and cluster-like). In general, the observed SAW attenuation behavior is similar to that reported for other doped NLC systems under an applied electric field [37,38], exhibiting an initial weak linear increase, followed by a more rapid rise and finally a slower increase approaching saturation.
This behavior is also partly consistent with previous SAW investigations performed on the same composites under an applied magnetic field [35] and with capacitance measurements reported for zinc ferrite nanoparticles dispersed in NLCs [26]. However, the present results clearly demonstrate that both the morphology and size of the nanoparticles play a crucial role in determining the SAW attenuation response. The obtained data confirm that these factors influence not only the threshold voltage but also the subsequent evolution of the SAW attenuation.
The preferential parallel alignment of nanoparticle dipole moments with respect to the liquid crystal director suggests a tendency for the threshold electric field to shift toward lower values. For 5CB-based composites containing rod-like and cluster-like nanoparticles, a noticeable shift in the threshold voltage toward lower values compared to pure 5CB was observed. A similar trend was found for composites doped with needle-like nanoparticles; however, in this case, a substantial reduction in the SAW attenuation was detected relative to the pure 5CB system.
Comparable behavior was observed for the 6CHBT-based composites. An exception was found for composites doped with rod-like nanoparticles, where, despite exhibiting the most pronounced influence of nanoparticle doping on structural changes, the shift in the threshold voltage relative to the pure NLC was less pronounced than that observed for the other nanoparticle morphologies.
It is evident that, in most investigated composites—regardless of the host NLC type or nanoparticle morphology—the changes in SAW attenuation, and thus the associated structural modifications, are more pronounced than those in the corresponding pure NLCs. This observation confirms the active role of Mn–Zn ferrite nanoparticles as ferroelectrically responsive dopants. In addition, the attenuation changes (Δα) observed in 5CB-based composites are generally larger than those in 6CHBT-based composites, although the difference is less pronounced than that observed under an applied magnetic field. This behavior can be attributed to the differing intrinsic properties of the individual liquid crystals.
A comparison of the LT and SAW responses further confirms that the sensitivity of NLC composites to an applied electric field depends strongly on nanoparticle morphology and is also influenced by nanoparticle size. Moreover, the type of host NLC plays a significant role in determining the electric-field-induced response. The results demonstrate that individual nanoparticle shapes affect the structural and electro-optical behavior of composites based on 5CB and 6CHBT in different ways. Another non-negligible factor influencing both LT and SAW measurements is the wide range of nanoparticle sizes, spanning from several tens to several thousands of nanometers. It should also be noted that some discrepancies between the LT and SAW results may arise from the inherent differences between the two experimental techniques. While SAW measurements are primarily sensitive to structural changes in the NLC layer adjacent to the LiNbO3 piezoelectric substrate, LT measurements probe structural changes across the entire thickness of the NLC layer, albeit only within the cross-section of the laser beam.
Temperature-dependent SAW attenuation measurements performed over temperature ranges encompassing the nematic–isotropic phase transition [35] revealed that the transition temperature (TNI) of both NLC composites decreases relative to that of the pure NLCs. Table 1 summarizes the nematic–isotropic transition temperatures (TNI) for all investigated NLC composites. According to mean-field theory [39], the shift in the nematic–isotropic transition temperature is influenced by several nanoparticle parameters, including the nanoparticle volume fraction, the average nanoparticle volume, and the interaction potential between the nanoparticles and NLC molecules. In addition, TNI is expected to decrease with increasing average nanoparticle volume. In the present study, the nanoparticle volume fraction is identical for all composites. The average nanoparticle volume is expected to be the largest for rod-like nanoparticles, smaller for clustered nanoparticles, and the smallest for needle-like nanoparticles. Based on this theoretical framework, TNI should therefore decrease with increasing average nanoparticle volume. However, the experimental results reveal a different trend, which can be attributed to variations in molecular interactions arising from the presence of different nanoparticle morphologies and the use of two different host NLCs. Consequently, TNI > exhibits a dependence on both nanoparticle volume and the type of nematic liquid crystal. A similar shift in TNI toward lower temperatures has previously been reported for zinc ferrite nanoparticles dispersed in nematic liquid crystals [26].
A comparison of the effects of magnetic [35] and electric fields on the structural changes in the investigated NLC composites evaluated through SAW attenuation and LT measurements indicates, in agreement with previous studies on NLCs doped with other magnetic nanoparticles, that both types of external fields exert a significant influence on the structural organization of the NLCs. In particular, reductions in the threshold driving fields and modifications and, in some cases, improvements in optical properties were observed. These results clearly demonstrate that the orientation of NLC molecules in composites doped with MnZnFe2O4 nanoparticles can be effectively controlled using both electric and magnetic fields.

4. Conclusions

In this contribution, we presented a study of the role of MnZnFe2O4 nanoparticles in electro-optic behavior in NLCs, 6CHBT and 5CB, induced by electric fields and corresponding structural changes. Mn-doped zinc ferrite nanoparticles of different shapes (rods, needles and clusters) with different sizes but the same concentration (1 × 10−4) were prepared for investigation by LT and SAW measurements. Structural changes induced by the applied electric field in increasing/decreasing mode and after jumped changes were investigated using the measurements of the responses of both LT using a linearly polarized laser beam and SAW attenuation. The shift in the threshold field and transition temperature compared to pure NLCs was registered; however, depending on the nanoparticle shape, the different sizes of individual nanoparticles were an important aspect of the obtained results. The obtained results repeatedly showed the role of shape and size in the structural changes in NLC composites under an external field. The presented electro-optical results coincide well with previous results obtained on the same NLC doped with different nanoparticles. The doping of NLCs with MnZnFe2O4 nanoparticles in any case pointed to, due to the effective orientational coupling between the dipole moments of nanoparticles and NLC nanoparticles, the possibility to utilize these zinc ferrites as another active hosting dopant of active NLC suspensions.

Author Contributions

Conceptualization, P.B., P.K. and K.P.; methodology, P.B. and K.P.; software, M.V. and F.Č.; validation, P.B., P.K. and K.P.; formal analysis, M.T.; investigation, M.V., F.Č. and H.P.; resources, K.P., H.P. and V.L.; writing—original draft preparation, P.B., M.V. and K.P.; writing—review and editing, P.K. and M.T.; project administration, P.K. and V.L.; funding acquisition, P.K., P.B. and K.P. All authors have read and agreed to the published version of the manuscript.

Funding

This work was supported by the Slovak Academy of Sciences, in the framework of project VEGA 2/0061/24, VEGA 2/0028/25, and the Slovak Research and Development Agency project No. APVV-22-0060. Veronika Lacková thanks the EU Next Generation EU through the Recovery and Resilience Plan for Slovakia under the project No. 09I03-03-V04-00298.

Data Availability Statement

The raw data supporting the conclusions of this article will be made available by the authors on request.

Conflicts of Interest

The authors declare no conflicts of interest.

Abbreviations

The following abbreviations are used in this manuscript:
SAWSurface Acoustic Wave
LTLight Transmission
NLCNematic Liquid Crystal
ITOIndium Tin Oxide

References

  1. Kmita, A.; Pribulova, A.; Holtzer, M.; Futas, P.; Roczniak, A. Use of specific properties of zinc ferrite in innovative technologies. Arch. Metall. Mater. 2016, 61, 2141–2146. [Google Scholar] [CrossRef]
  2. Thirupathi, G.; Singh, R. Magnetic properties of zinc ferrite nanoparticles. IEEE Trans. Magn. 2012, 48, 3630–3633. [Google Scholar] [CrossRef]
  3. Lebourgeois, R.; Coillot, C. Mn–Zn ferrites for magnetic sensors in space applications. J. Appl. Phys. 2008, 103, 07E510. [Google Scholar] [CrossRef]
  4. Yaghmour, S.J.; Hafez, M.; Ali, K.; Elshirbeeny, W. Influence of zinc ferrite nanoparticles on the thermal, mechanical and magnetic properties of rubber nanocomposites. Polym. Compos. 2012, 33, 1672–1679. [Google Scholar] [CrossRef]
  5. Jia, Y.; Lee, B.W.; Liu, C. Magnetic ZnFe2O4 nanocubes: Synthesis and photocatalytic activity with visible light/H2O2. IEEE Trans. Magn. 2017, 53, 2800305. [Google Scholar]
  6. Bohra, M.; Alman, V.; Arras, R. Nanostructured ZnFe2O4: An exotic energy material. Nanomaterials 2021, 11, 1286. [Google Scholar] [CrossRef] [PubMed]
  7. Almessiere, M.; Slimani, Y.; Güngüneş, H.; Kostishyn, V.; Trukhanov, S.; Trukhanov, A.; Baykal, A. Impact of Eu3+ ion substitution on structural, magnetic and microwave traits of Ni–Cu–Zn spinel ferrites. Ceram. Int. 2020, 46, 11124–11131. [Google Scholar] [CrossRef]
  8. Routray, K.L.; Sanyal, D.; Behera, D. Dielectric, magnetic, ferroelectric and Mössbauer properties of bismuth-substituted nanosized cobalt ferrites synthesized by the glycine nitrate method. J. Appl. Phys. 2017, 122, 224104. [Google Scholar] [CrossRef]
  9. Shen, Y.; Dierking, I. Applied sciences perspectives in liquid crystal-aided technologies. Appl. Sci. 2019, 9, 2512. [Google Scholar] [CrossRef]
  10. Bisoyi, H.K.; Kumar, S. Liquid-crystal nanoscience: An emerging avenue of soft self-assembly. Chem. Soc. Rev. 2011, 40, 306–319. [Google Scholar] [CrossRef]
  11. Yadav, S.P.; Yadav, K.; Lahiri, J.; Parmar, A.S. Ferroelectric liquid crystal nanocomposites: Recent developments and future perspectives. Liq. Cryst. Rev. 2018, 6, 143–169. [Google Scholar] [CrossRef]
  12. Zhang, Y.; Liu, Q.; Mundoor, H.; Yuan, Y.; Smalyukh, I.I. Metal nanoparticle dispersion, alignment, and assembly in nematic liquid crystals for switchable plasmonic color filters and E-polarizers. ACS Nano 2015, 9, 3097–3108. [Google Scholar] [CrossRef]
  13. Jamwal, G.; Prakash, J.; Chandran, A.; Gangwar, J.; Biradar, A.M. Effect of nickel oxide nanoparticles on dielectric and optical properties of nematic liquid crystals. AIP Conf. Proc. 2015, 1675, 030065. [Google Scholar] [CrossRef]
  14. Bradley, K.; Gabriel, J.-P.; Gruner, G. Flexible nanotube electronics. Nano Lett. 2003, 3, 1353–1355. [Google Scholar] [CrossRef]
  15. Kuang, Z.; Kim, S.N.; Crookes-Goodson, W.J.; Farmer, B.L.; Naik, R.R. Biomimetic chemosensor: Designing peptide recognition elements for surface functionalization of carbon nanotube field-effect transistors. ACS Nano 2010, 4, 452–458. [Google Scholar] [CrossRef]
  16. Lagerwall, J.P.F.; Scalia, G. Liquid Crystals with Nano- and Microparticles; World Scientific: Singapore, 2017; Volume I. [Google Scholar]
  17. Quan, L. Liquid Crystals beyond Displays: Chemistry, Physics, and Applications; Wiley: Hoboken, NJ, USA, 2012. [Google Scholar]
  18. Iwan, A.; Boharewicz, B.; Tazbir, I.; Hamplová, V.; Bubnov, A. Effect of chiral photosensitive liquid crystalline dopants on the performance of organic solar cells. Solid State Electron. 2015, 104, 53–60. [Google Scholar] [CrossRef]
  19. Podoliak, N.; Buchnev, O.; Herrington, M.; Mavrona, E.; Kaczmarek, M.; Kanaras, A.G.; Stratakis, E.; Blach, J.-F.; Henninot, J.-F.; Warenghem, M. Elastic constants, viscosity and response time in nematic liquid crystals doped with ferroelectric nanoparticles. RSC Adv. 2014, 4, 46068–46074. [Google Scholar] [CrossRef]
  20. Li, F.; Buchnev, O.; Cheon, C.I.; Glushchenko, A.; Reshetnyak, V.; Reznikov, Y.; Sluckin, T.J.; West, J.L. Orientational coupling amplification in ferroelectric nematic colloids. Phys. Rev. Lett. 2006, 97, 147801. [Google Scholar] [CrossRef] [PubMed]
  21. Cook, G.; Reshetnyak, V.Y.; Ziolo, R.F.; Basun, S.A.; Banerjee, P.P.; Evans, D.R. Asymmetric Fréedericksz transition in symmetric liquid crystal cells doped with ferroelectric nanoparticles. Opt. Express 2010, 18, 17339–17345. [Google Scholar] [CrossRef] [PubMed]
  22. Abbasov, M.E.; Carlisle, G.O. Effects of carbon nanotubes on electro-optical properties of dye-doped nematic liquid crystals. J. Mater. Electron. 2012, 23, 712–717. [Google Scholar] [CrossRef]
  23. Shen, T.Z.; Hong, S.H.; Song, J.K. Electro-optical switching of graphene oxide liquid crystals with an extremely large Kerr coefficient. Nat. Mater. 2014, 13, 394–399. [Google Scholar] [CrossRef] [PubMed]
  24. Basu, R.; Iannacchione, G.S. Nematic anchoring on carbon nanotubes. Appl. Phys. Lett. 2009, 95, 173113. [Google Scholar] [CrossRef]
  25. Bubnov, A.; Iwan, A.; Cigl, M.; Boharewicz, B.; Tazbir, I.; Wójcik, K.; Sikora, A.; Hamplová, V. Photosensitive self-assembling materials as functional dopants for organic photovoltaic cells. RSC Adv. 2016, 6, 178–186. [Google Scholar] [CrossRef]
  26. Pandey, F.P.; Rastogi, A.; Manohar, R.; Dhar, R.; Singh, S. Dielectric and electro-optical properties of zinc ferrite nanoparticles dispersed nematic liquid crystal 7CB. Liq. Cryst. 2020, 47, 1025–1040. [Google Scholar] [CrossRef]
  27. Pandey, F.P.; Singh, S. Time-resolved fluorescence, Raman properties and zeta potential of zinc ferrite nanoparticle-dispersed nematic liquid crystals. J. Mol. Liq. 2020, 315, 113820. [Google Scholar] [CrossRef]
  28. Gaur, D.K.; Pandey, F.P.; Rastogi, A.; Parmar, A.S.; Manohar, R.; Singh, S. Investigation of dielectric, optical and zeta potential properties of zinc ferrite nanoparticle-dispersed nematic liquid crystals. Appl. Phys. A 2022, 128, 230. [Google Scholar] [CrossRef]
  29. Jiang, B.; Han, C.; Li, B.; He, Y.; Lin, Z. In situ crafting of ZnFe2O4 nanoparticles within a continuous carbon network as advanced anode materials. ACS Nano 2016, 10, 2728–2735. [Google Scholar] [CrossRef]
  30. Vadiyar, M.M.; Patil, S.K.; Bhise, S.C.; Ghule, A.V.; Han, S.-H.; Kolekar, S.S. Improved electrochemical performance of ZnFe2O4 nanoflake-based supercapacitor electrodes. Eur. J. Inorg. Chem. 2015, 2015, 5832–5838. [Google Scholar] [CrossRef]
  31. Jessy, P.J.; Bambole, V.; Deshmukh, R.R.; Patel, N. Reduced power consumption in nickel–zinc ferrite nanoparticle-doped blue phase liquid crystal devices. J. Mol. Liq. 2019, 281, 480–489. [Google Scholar] [CrossRef]
  32. Jessy, P.J.; Radha, S.; Patel, N. Improved dielectric behaviour of ferronematic nanocomposites for display applications. Liq. Cryst. 2018, 46, 772–786. [Google Scholar] [CrossRef]
  33. Barnash, Y.; Jovanović, S.; Jovanović, Z.; Kamanina, N. Electrical features of liquid crystal compositions doped with cobalt ferrite. Inorganics 2025, 13, 107. [Google Scholar] [CrossRef]
  34. Beigmohammadi, M.; Sadigh, M.K.; Bonab, J.P. Effect of bismuth ferrite nanoparticle doping on dielectric properties of nematic liquid crystals. Liq. Cryst. 2025, 52, 539–548. [Google Scholar] [CrossRef]
  35. Bury, P.; Veveričík, M.; Černobila, F.; Patel, H.; Upadhyay, R.V.; Parekh, K.; Lacková, V.; Rajnak, M.; Šafařík, I.; Oganesyan, K.; et al. Effect of Mn-doped ZnFe2O4 ferrites on magneto-optical behavior in nematic liquid crystals. Materials 2025, 18, 5660. [Google Scholar] [CrossRef] [PubMed]
  36. Cheema, H.; Yadav, V.; Maurya, R.S.; Yadav, V.; Kumar, A.; Sharma, N.; Alvi, P.A.; Kumar, U. Structural, optical and electrical properties of Mn-doped ZnFe2O4 synthesized using the sol–gel method. J. Mater. Sci. 2021, 56, 23578–23600. [Google Scholar]
  37. Veveričík, M.; Bury, P.; Černobila, F.; Tomašovičová, N.; Lacková, V.; Miakota, D.; Kónyová, K.; Timko, M.; Kopčanský, P.; Jeng, S.-C.; et al. Influence of silica nanoparticles on nematic liquid crystal structural and electro-optical properties. Eur. Phys. J. B 2025, 98, 209. [Google Scholar] [CrossRef]
  38. Bury, P.; Veveričík, M.; Kopčanský, P.; Timko, M.; Studenyak, I.P.; Pogodin, A.I. Influence of X7GeS5I (X = Ag, Cu) superionic nanoparticles on structural changes in nematic liquid crystals. Crystals 2021, 11, 413. [Google Scholar] [CrossRef]
  39. Gorkunov, M.V.; Osipov, M.A. Mean-field theory of a nematic liquid crystal doped with anisotropic nanoparticles. Soft Matter. 2011, 7, 4348–4356. [Google Scholar] [CrossRef]
Figure 1. Dependence of light transmission on applied voltage for 5CB doped with Mn Zn ferrite nanoparticles in rod (a), cluster (b), and needle (c) shapes measured in increasing (blue curve) and decreasing (red curves) regimes. Inside are TEM images of nanoparticles.
Figure 1. Dependence of light transmission on applied voltage for 5CB doped with Mn Zn ferrite nanoparticles in rod (a), cluster (b), and needle (c) shapes measured in increasing (blue curve) and decreasing (red curves) regimes. Inside are TEM images of nanoparticles.
Crystals 16 00154 g001
Figure 2. Dependence of LT on dc voltage for 6CHBT composites with Mn Zn ferrites in rod (a), cluster (b), and needle (c) shapes measured in increasing (blue curve) and decreasing (red curves) regimes. Inside are TEM images of nanoparticles.
Figure 2. Dependence of LT on dc voltage for 6CHBT composites with Mn Zn ferrites in rod (a), cluster (b), and needle (c) shapes measured in increasing (blue curve) and decreasing (red curves) regimes. Inside are TEM images of nanoparticles.
Crystals 16 00154 g002
Figure 3. Summarization of light LT dependences on dc voltage for 5CB (a) and 6CHBT (b) composites doped with Mn Zn ferrite nanoparticles in rod, cluster and needle shapes, including pure NLCs.
Figure 3. Summarization of light LT dependences on dc voltage for 5CB (a) and 6CHBT (b) composites doped with Mn Zn ferrite nanoparticles in rod, cluster and needle shapes, including pure NLCs.
Crystals 16 00154 g003
Figure 4. LT time responses for 5CB (a) and 6CHBT (b) composites doped with Mn Zn ferrite nanoparticles in rod, cluster and needle shapes measured at 9.5 V as representative results of switching processes and selected LT time responses representing potential stable switching processes (c).
Figure 4. LT time responses for 5CB (a) and 6CHBT (b) composites doped with Mn Zn ferrite nanoparticles in rod, cluster and needle shapes measured at 9.5 V as representative results of switching processes and selected LT time responses representing potential stable switching processes (c).
Crystals 16 00154 g004
Figure 5. Dependence of SAW attenuation on dc voltage for 5CB (a) and 6CHBT (b) doped with Mn Zn ferrite in rod, cluster and needle shapes, including pure NLCs.
Figure 5. Dependence of SAW attenuation on dc voltage for 5CB (a) and 6CHBT (b) doped with Mn Zn ferrite in rod, cluster and needle shapes, including pure NLCs.
Crystals 16 00154 g005
Table 1. Summarization of transition temperatures (TNI) for investigated NLC composites.
Table 1. Summarization of transition temperatures (TNI) for investigated NLC composites.
Sample5CB+rods+needles+clusters
TNI (°C)3432.329.233.8
Sample6CHBT+rods+needles+clusters
TNI (°C)42.141.940.936.8
Sample type and related TNI.
Disclaimer/Publisher’s Note: The statements, opinions and data contained in all publications are solely those of the individual author(s) and contributor(s) and not of MDPI and/or the editor(s). MDPI and/or the editor(s) disclaim responsibility for any injury to people or property resulting from any ideas, methods, instructions or products referred to in the content.

Share and Cite

MDPI and ACS Style

Veveričík, M.; Bury, P.; Černobila, F.; Patel, H.; Parekh, K.; Lacková, V.; Timko, M.; Kopčanský, P. Electro-Optical Behavior of Nematic Liquid Crystals Doped with Mn-Doped ZnFe2O4 Ferrite Nanoparticles. Crystals 2026, 16, 154. https://doi.org/10.3390/cryst16030154

AMA Style

Veveričík M, Bury P, Černobila F, Patel H, Parekh K, Lacková V, Timko M, Kopčanský P. Electro-Optical Behavior of Nematic Liquid Crystals Doped with Mn-Doped ZnFe2O4 Ferrite Nanoparticles. Crystals. 2026; 16(3):154. https://doi.org/10.3390/cryst16030154

Chicago/Turabian Style

Veveričík, Marek, Peter Bury, František Černobila, Hima Patel, Kinnari Parekh, Veronika Lacková, Milan Timko, and Peter Kopčanský. 2026. "Electro-Optical Behavior of Nematic Liquid Crystals Doped with Mn-Doped ZnFe2O4 Ferrite Nanoparticles" Crystals 16, no. 3: 154. https://doi.org/10.3390/cryst16030154

APA Style

Veveričík, M., Bury, P., Černobila, F., Patel, H., Parekh, K., Lacková, V., Timko, M., & Kopčanský, P. (2026). Electro-Optical Behavior of Nematic Liquid Crystals Doped with Mn-Doped ZnFe2O4 Ferrite Nanoparticles. Crystals, 16(3), 154. https://doi.org/10.3390/cryst16030154

Note that from the first issue of 2016, this journal uses article numbers instead of page numbers. See further details here.

Article Metrics

Back to TopTop