Next Article in Journal
The Effect of Gradient Cooling Behavior on the Microstructure and Mechanical Properties of Al-2at.% Nd Alloy in a Vacuum Environment
Previous Article in Journal
Chromite and Its Thin Kosmochlor and Cr-Omphacite Cortex in Amphibolite from the Myanmar Jadeite Deposits
 
 
Font Type:
Arial Georgia Verdana
Font Size:
Aa Aa Aa
Line Spacing:
Column Width:
Background:
Article

Use of Hybrid Flame Retardants in Chemically Foamed rPET Blends

by
Veronika Anna Szabó
1,
Sándor Kálmán Jakab
1,
András Kovács
2,
Tamara Zsuzsanna Böcz
3 and
Gábor Dogossy
4,*
1
Department of Materials Science and Engineering, Audi Hungaria Faculty of Vehicle Engineering, Széchenyi István University, Egyetem tér 1, H-9026 Győr, Hungary
2
Institute of Materials Engineering, University of Pannonia, P.O. Box 158, H-8201 Veszprém, Hungary
3
Department of Social Studies and Sociology, Apáczai Csere János Faculty of Humanities, Education and Social Sciences, Széchenyi István University, Liszt Ferenc u. 42., H-9022 Győr, Hungary
4
Department of Vehicle Manufacturing and Engineering, Audi Hungária Faculty of Vehicle Engineering, Széchenyi István University, Egyetem tér 1, H-9026 Győr, Hungary
*
Author to whom correspondence should be addressed.
Crystals 2025, 15(1), 80; https://doi.org/10.3390/cryst15010080
Submission received: 17 December 2024 / Revised: 7 January 2025 / Accepted: 10 January 2025 / Published: 15 January 2025
(This article belongs to the Section Macromolecular Crystals)

Abstract

The foamed structure of recycled polyethylene-terephthalate (rPET) is a promising solution for industrial applications; however, the remedy for its inherent melt-dripping property is still a challenging topic. In our research, we were able to improve the flame retardancy of the endothermic–exothermic hybrid rPET foam by adding a different mixture of flame retardants to the formula. Three different kinds of halogen-free flame retardant agents were used: ammonium polyphosphate-based Exolit AP 422 (AP), organic aluminum phosphate in the form of Exolit OP 1240 (OP), and Budit 342 containing melamine polyphosphate (MPP). The hybrid flame retardant mixture, by combining the swelling and charring mechanism, increased the flame retardancy of the samples. The sample made with 15 phr OP and 5 phr MPP displayed outstanding performance, where five samples were capable of self-extinguishing in 5 s, while only slightly decreasing the tensile and flexural strength properties and simultaneously increasing the Young and flexural modulus compared to the reference sample. The addition of MPP reduced the porosity in many cases, while preventing cell coalescence. Our results prove that the hybrid flame retardant agent frameworks efficiently increase the flame retardancy of rPET foams, facilitating their application in industrial sectors such as the aerospace, packaging, renewable energy, and automotive industries to realize sustainability goals. The utilization of halogen-free flame retardants is beneficial for better air quality, reducing toxic gas and smoke emissions.

1. Introduction

In recent decades, global plastic production has exponentially increased, reaching 413.8 million tons by 2023, representing a 3.34% increase compared to the previous year [1]. Polyethylene terephthalate (PET) is one of the most widely used polymers in the packaging industry due to its low density and outstanding gas barrier properties [2], with additional high impact and moderate chemical resistance [3]. However, the decomposition time of PET exceeds 500 years, raising environmental concerns [4]. Simultaneously, recycling rates have shown only moderate growth over the past decade, emphasizing the need for a more efficient recycling processes [5]. The increased amount of PET waste contributes to global environmental problems, particularly due to its potential impact on the marine ecosystems as well as on human health [6]. Therefore, their reclamation is a pressing ecological concern. The mechanical recycling of PET is the simplest method for reducing waste; however, the process breaks the polymer chains, thus weakening its structure. Chain extenders could solve this problem, as supported by other research [7,8]. To make recycled PET an attractive choice for industrial usage, foaming could be used [9]. Polymer foams are two-phase systems where uniformly distributed gas bubbles are embedded into the polymer matrix with noticeable size differences. Any thermoplastic polymer and certain thermosets can be foamed. Foaming technologies consist of three separate groups: mechanical, physical, and chemical. During chemical foaming, gas can be produced with the addition of a foaming agent which disintegrates while, depending on its properties, emitting gases (e.g., CO, CO2, N2, and NH3) [10]. Chemical foaming agents are organic or inorganic solid compounds, which disintegrate at high temperatures within the melted polymer. The decomposed parts act as nucleating agents, and around them gas bubbles are formed, expand, and create cells. These cells are separate, easily distinguishable, and create a closed-cell structure with thick walls. Cell density increases towards the core of the product, creating a foamed structure [11].
Among the various foaming techniques, mixing polymer granules with foaming materials, particularly with a thermal reaction-based (endotherm/exotherm) mixture, known as a chemical blowing agent, can be employed during injection molding [12].
To achieve suitable foaming, the volume of the injection molded part can be increased by using the breathing mold technique [13]. During this process, the polymer mixed with the foaming agent is injected into the mold cavity, where a compact surface layer of the part is formed during cooling. Subsequently, the mold minimally opens, and the space within the mold increases while the pressure decreases. The polymer melt has not yet solidified in the center of the manufactured body; therefore, the cells in the core have room to expand.
The combined utilization of endothermic and exothermic foaming agents is a novel method [14,15]. It enables a more homogeneous cell distribution and an increased cell count due to the agents’ unique interaction. During this hybrid foaming, the exothermic blowing agent generates heat while the endothermic component absorbs it. With these two agents evenly well-dispersed within the polymer matrix, they can balance each other, hence the formation of a better, improved foam structure. The foaming process is further optimized by the endothermic foaming agent, which can act as a nucleating agent like talc, allowing for a better and more cost-effective foam production [16].
For both the foaming and the recycling of PET, chain scission presents a major challenge in the chemical foaming process. Lukács and her colleagues [17] explored the combined effect of using a chain extender and flame retardant on physically foamed injection-molded products. Their research was successful in achieving higher foam porosity, which was reasoned to be caused by the hindered chain scission. The addition of the chain extender (Joncryl ADR 4468) compensated for the loss in molecular weight and improved foaming. The compensation of chain scission caused by the recycling process is essential when it comes to industrial applications. Taking this research as a basis, we have also carried out a number of experiments to counter chain scission by adding a chain extender to our formulas.
In our research [18], we used endothermic–exothermic hybrid foaming on recycled polyethylene terephthalate (rPET) to analyze the mechanical and morphological properties of the formed foams. In our experiments, we observed that because of hybrid foaming, the cell distribution became more homogeneous, and the cell count significantly increased, which contributed to improving the foam’s density reduction. We found that the use of purely endothermic foaming agents resulted in less homogeneous samples with reduced porosity and less uniform cell structure. In contrast, even in small amounts (0.5% addition), the exothermic foaming agent contributed to more uniform and better cell distribution. However, it is important to note that a further increase in the exothermic foaming agent content negatively impacted the porosity of the samples. Our results show that higher porosity does not necessarily degrade mechanical resistance if the cell structure is homogeneous. The sample containing 3% endothermic and 1% exothermic foaming agents stood out with the highest porosity (16.6%) with the following mechanical properties: Young’s modulus was measured as 1.49 ± 0.1 GPa, the maximum tensile stress was 28.94 ± 1.33 MPa, and the Charpy impact strength was 3.51 ± 0.46 kJ/m2. Based on these results, this ratio was selected to continue our research. In this current study, we selected the best performing sample from our previous research to continue with the material development.
Halogenated flame retardants have long been widely used as additives to enhance the fire retardancy of polymers, particularly for electronic and construction applications. However, in recent years, their health and environmental risks have become known; therefore, regulations have tightened on their applications. These new regulations place greater emphasis on the development and the use of halogen-free flame retardants. During the combustion of halogenated flame retardants, toxic, halogen-based gases are released, contributing to respiratory diseases and carcinogenic effects. Alternatives such as phosphorus- and nitrogen-based flame retardants have gained prominence, due to their lower toxicity levels and results showcasing that, in some cases, through effective synergistic mechanisms, these materials can also achieve the required fire retardancy level. These materials form a protective layer on the surface of polymers during thermal decomposition, preventing flame spread [19].
Two types of intumescent flame retardants are the most popular: ammonium polyphosphate (APP) as an additive and expandable graphite (EG) as a filler [20]. Both extinguish flame by making the polymer swell. By combining these flame-retardant agents, their complex mechanisms are capable of providing better heat and flame resistance for the material while also helping to reduce smoke generation. Loewenthala et al. [21] experimented with improving the fire resistance of polyurethane foams. In their research, they applied intumescent flame-retardant coatings. The three-component coatings that they used were EG, APP, and alginate in varying concentrations. Their tests showed that the 10% by weight three-layer coating significantly reduced the heat release rate and smoke generation while increasing mechanical strength, which proved particularly promising for the fire safety of PU foams used in the aerospace industry.
Li et al. [22] focused on the flame-retardant systems of rigid polyurethane foams by combining various hybrid flame retardants, such as phosphorus-, nitrogen-, and silicone-based materials, to enhance their fire resistance and reduce smoke generation. Their experiments showed that the heat release rate (HRR) could be reduced by up to 47.8% through hybrid flame retardation. Additionally, smoke generation was significantly reduced, with the total smoke release rate (TSR) being 46.2% lower in samples using the new flame-retardant system.
Vakili and their colleagues [23] used phosphorus- and nitrogen-based polyols in polyurethane foams to improve heat and flame resistance. Their experiments found that the combined additives resulted in significant performance improvements. Based on the UL 94 tests, these foams achieved a V-1 rating. During the tests, the samples with 1.5 mass % polyol displayed increased degradation temperature, losing 50% of their mass at 611 °C compared to the pure polyurethane foam (333.85 °C).
In continuation of our research [24], we conducted experiments to improve the flame resistance of the rPET foam that was developed. As a flame-retardant additive, ICH Fl ret 01904 (ICC-Chemol, Budapest, Hungary) was used, which is a dispersion of an 85% bromine organic compound in ethylene copolymer. The bromine compound was a key component in increasing flame retardancy. Its mechanism is based on the decomposition of bromine-containing additives under heat, releasing bromine radicals. These radicals react with the free radicals that maintain the burning process, such as hydrogen and hydrocarbon radicals, preventing further oxidation and spread of the flames. With this additive, the polymer materials can possess higher fire resistance.
The introduction of the flame retardant (FR) affected the density of the samples and increased their viscosity. The density of the 5% and 20% FR samples was measured to be 1.175 and 1.178 g/cm3, respectively. For example, at 5% FR, the viscosity increased from 127.8 Pa·s to 629.8 Pa·s. As the FR content increased, the viscosity increased, reaching 780.8 Pa·s at 20% FR. The Charpy impact strength increased at higher FR concentrations but remained lower than that of the non-foamed sample, demonstrating the trade-off between fire resistance and mechanical performance. In the UL 94 test, the samples with 5% flame retardant self-extinguished at an average rate of 25.84 s, while the samples with 20% flame retardant self-extinguished at an average rate of 1.03 s and achieved V-0 burning grade; although, this sample contains a halogenated flame retardant agent, which has to be replaced with an alternative in future research, due to the aforementioned restrictions on their use [25].
In this article, we focus on the treatment of our self-developed PET foams [16] with halogen-free flame retardants, paying particular attention to testing hybrid flame retardants as well. Mechanical and morphological studies were conducted to investigate the effect of combined flame retardants on the foam formation within the polymer matrix. We hypothesize that the combination of hybrid flame retardants and halogen-free alternatives are capable of achieving a V-0 fire retardancy rating without damaging the closed-cell foam structure. This is a promising solution to improve the fire retardancy of recycled PET foams, thus contributing to the increased industrial applicability of the materials.

2. Materials and Methods

2.1. Materials

The blue crystallized rPET granules used for the research were provided by Fehérvári Group Zrt. (Budapest, Hungary) (intrinsic viscosity (IV) of 0.8 dL/g). The chain-extender additive used was CESA Extend NCA0025531-ZA, supplied by Clariant (Muttenz, Switzerland), which contains the Joncryl ADR 4368 epoxy-based styrene–acrylic multifunctional oligomeric reagent. DuPont Elvaloy PTW was used as an impact modifier to improve the toughness of the samples.
A hybrid chemical foaming system consisting of two chemical blowing agents (CBAs) was used, with both CBAs being provided by Tramaco (Tornesch, Germany). The first one was the Tracel IM 7200 endothermic compound with a gas yield of 120 mL/g, a blowing agent content of 70%, and a decomposition temperature of 220 °C. The second blowing agent was the Tracel IM 3170 MS exothermic compound, with a 50 mL/g gas yield and a decomposition temperature of 170 °C.
The first flame retardant tested in this study was Exolit AP 422, a melamine-free ammonium polyphosphate (AP) supplied by Clariant (Muttenz, Switzerland). This flame retardant has low water solubility (0.1 g/100 mL) and consists of environmentally friendly components. Its decomposition temperature is approximately 290 °C, and its pH is 6.0. Its average particle size is 17 µm. Exolit AP 422 is particularly suitable for industrial applications where improved fire resistance and decent mechanical properties are required simultaneously.
The second flame retardant that was investigated here was an Exolit OP 1240 (OP), an organic aluminum phosphinate-based, halogen-free flame retardant, which was also supplied by Clariant (Muttenz, Switzerland). Its decomposition temperature is approximately 350 °C. The material has a pH value of 6.0 and low water solubility (less than 0.1 g/100 mL). It has an average particle size of 25–50 µm, which allows for homogeneous distribution in plastics.
The third flame retardant used was Budit 342, a melamine polyphosphate (MPP)-based halogen-free FR obtained from Budenheim (Budenheim, Germany). Its phosphorus pentoxide content is ~30%, while its nitrogen content is 43%. The decomposition temperature of this flame retardant is estimated to be 325 °C. It has an average particle size of 24 µm, which allows for homogeneous distribution in plastics. It exerts its flame-retardant property by coating the material in a charring layer, preventing further burning.
The reference sample in the present study was an rPET foam with a hybrid foaming system containing 1 phr exothermic and 3 phr endothermic foaming agents. Furthermore, it was dosed with a 2 phr chain extender and 10 phr impact modifier. In addition to the previously described components, flame retardants were introduced in varying proportions, as summarized in Table 1. By systematically adjusting the ratios, potential synergistic or antagonistic interactions could be observed, offering insights into the complex dynamics between the three types of flame retardants and their influence on the final properties of the rPET foams. The initial ratio was based on suggestions of the provider of the flame retardants, and this was expanded with variations.

2.2. Manufacturing Process

As a first step, dry mixtures of the desired components were prepared by drying at 120 °C for 5 h prior to processing. Dumbbell-shaped specimens were prepared using an Arburg Allrounder Advance 420C Golden Edition injection molding machine (Arburg, Loßburg, Germany). The manufacturing was carried out using the injection molding parameters listed in Table 2. After the filling of the cavity, the mold was opened to 0.5 mm, to allow for expansion during the cooling cycle. The image of the finished samples can be seen in Figure 1.

2.3. Characterization

The internal structures of the samples were examined using industrial computed tomography (CT) equipment. The PET-based samples were scanned using a Nikon XT H 225 ST CT scanner at a resolution of approximately 6 μm (Nikon, Tokyo, Japan). The average time per scan was 24 min, and 1500 projections were captured in two frames per projection mode. The voltage and current used for scanning were 165 kV and 65 µA, respectively. The VG Studio Max 2022/2220 software pack was used for analysis and visualization. The CT scan generates a detailed 3D image of the sample, allowing for the identification and measurement of the cell structures within. By subtracting the volume of these cells from the total volume of the sample, the remaining solid material’s volume is obtained. The sample’s density is then calculated by dividing the mass of the material by this adjusted volume, providing a precise assessment that reflects the presence of internal porosity.
During the mechanical tests, five test specimens from each sample were examined, and their results were averaged. The tensile tests were carried out using an Instron 5582 (Norwood, MA, USA) universal testing machine with a gripped length of 100 mm. The test speed was set at 1 mm/min to determine the elastic modulus and at 5 mm/min for measuring the tensile strength [26]. Flexural tests were performed with the same universal testing machine that was used for the tensile tests to determine the flexural strength and flexural modulus values of the samples. The tests were carried out with a crosshead speed of 5 mm/min and a support span of 64 mm [27].
The UL 94 flammability tests were performed on the foam samples. During the test, the self-extinguishing time and flame propagation speed were measured using specimens with a cross-section of 4 × 10 mm in both horizontal and vertical arrangements, in accordance with the ISO 9772 and 9773 standards [28,29].
On certain samples, thermal properties were measured with Differential Scanning Calorimetry (DSC) using a Netzsch DSC 200 F3 machine (Netzsch, Selb, Germany) and with Thermogravimetry (TG) utilizing a Netzsch TG 209 F1 machine (Netzsch, Selb, Germany). For both cases, the heating occurred in a neutral atmosphere (N2) and with one heating cycle, in the case of DSC from 30 to 270 °C with 5 °C/min speed and in the case of TG from 30 to 600 °C with 10 °C/min. For DSC, the ISO 11357-1 standard [30] was used, while for TG, the ISO 11358 [31] was used. The degree of crystallinity was calculated based on the following formula (Equation (1)):
X c ( % ) = Δ H m Δ H m P E T     ω P L A
where Δ H m is the measured melting enthalpy, and Δ H m P E T is the melting enthalpy of 100% crystalline PET, which is 140 J/g [32], while ωPET is the proportion of PET within the samples, which is 73.59% for the samples with a flame retardant.

3. Results and Discussion

3.1. CT Scans

The cell diameters in relation to the porosity of the samples are shown in Figure 2. Based on our measurements, we have calculated the R squared values to determine the strength of the relationship between porosity and cell diameter. The R squared value is 0.0222, meaning that the relationship between porosity and cell diameter is weak. Generally, the addition of a flame retardant agent decreased the average cell diameter to below 200 μm, except for the OP10MPP5 sample. The porosity values showcase great variety across the different flame retardant agents. The samples containing pure AP displayed better porosity compared to the pure OP samples; however, the addition of MPP decreased porosity significantly for both. Notably, the presence of MPP did not affect the average cell diameter for rPET foams mixed with ammonium polyphosphate. The majority of the specimens made with pure OP displayed larger cell diameters compared to their AP counterparts. The 5 phr MPP and 5 phr OP combination did not achieve the average cell diameter of the 10 phr OP ones. With an increase in organic aluminum phosphonate content and the inclusion of melamine polyphosphate, the cell diameters of the specimens increased while the porosity was reduced. At 10 phr, there was a 32% decrease in porosity when used with MPP; at 15 phr, it was a 13% decrease, which suggests that the increase in OP can compensate for the negative effect of MPP on cell density. From an analysis of the diagram, it is apparent that the average cell diameter is not always in linear correlation with porosity. The best example of this is the OP10MPP5 sample, where the largest cell diameters are paired with the second-lowest porosity. For the analysis of samples, the average cell diameter is an indicator, but a few large cells can affect porosity significantly while barely changing the average cell diameter because of their large count (over a thousand). The AP20 sample is such an example: among 3505 cells, there were only 4 large cells; yet, they possess the largest porosity and average cell diameters.
Given the variation in these results, it is hard to provide an overall explanation. The foaming process is deeply dependent on the polymer viscosity, the foaming agent, and the processing parameters, additives, nucleating agents, etc. [33,34,35]. One certain behavior is that the addition of MPP could possibly affect the nucleation of gas bubbles. Suethao et al. [36] reasoned that if the nucleating temperature of the nucleating agent is around the glass transition temperature, a graded (not uniform) foam structure can form, allowing for the creation of larger cells. Given that MPP could be classified as a nucleating agent in this case, and with its large particle size decreasing viscosity and chain mobility, one could argue that it causes lower porosity. Deshmukh et al. [37] investigated the effect of different talc sizes added to polypropylene and came to the conclusion that larger particle sizes lower the degree of nucleation. AP is a fine-particle flame retardant and could promote better porosity.
The CT scans of the samples can be seen in Figure 3. The production of each mixture yielded an integral foam structure in the form of specimens with a compact surface layer and a foamed structure that are manufactured when injected into the tempered mold, similar to others [38]. It can be observed that when moving closer to the core, the cell diameters increase. When utilizing the AP flame retardant, the foamed core and the compact surface structure changes and an interlayer appears, where heterogeneous cells form, and the compact surface layer thins out. Because of this, the product’s mechanical properties are worsened. Despite the fact that samples made with the AP flame retardant have lower average cell diameter compared to OP samples, the scans show many coalescence cells (marked as dark pink units in Figure 3); so, it can be seen that the usage of AP in many cases results in a damaged closed-cell structure (Figure 3a,c). The mixing with MPP repaired the cells’ structure, but the porosity reduction is apparent across all samples. It seems that the AP flame retardant is incompatible with the rPET material, which is a major issue for foaming in general, resulting in cell coalescence [39]. If we take the OP specimens, we can see that, with the 20 phr OP along with the high cell density (181 db/mm3), a well-organized cell is observable. The 10 phr samples possess similarly large cell diameters (158 μm), but solid parts in the core are also present. The high porosity compared to the other OP samples is due to the thin layer between the cells that is formed from the remaining material. For specimens made with 5 phr OP and above, the added MPP reduced the porosity (Figure 3k,l). In Figure 3k, it is clear that the low porosity of the large cell diameters is paired with an unorganized cell structure; on the left side of the scan, an area is formed with a larger cell density made up of larger cell diameters; between the core and the compact surface, the cells are scattered around. In this case, the addition of MPP impaired the organized cell structure. The OP15MPP5 (Figure 3l) specimen showed moderate porosity of 8.68%, and, despite the fact that it had above average cell diameters compared to other specimens, the CT scan reveals that there are no coalescent cells. The closed-cell structure was not damaged, since the largest cell was still below 1 mm (Figure 2). For the most part, the addition of MPP reduced porosity when compared to samples made with a similar flame retardant agent ratio. The reason for that is that MPP has the largest particle size, 24 μm, which affects viscosity. Due to the additive, the mobility of molecular chains decreases, which has a direct effect on cell formation, and since MPP most likely increased viscosity, the gas bubbles could not expand properly; hence, the cells could not coalesce. Tiwary et al. [40] experienced similar behavior with PLA foaming, using boron nitride as a nucleating agent, which decreased viscosity in exchange for larger and more stable cells.
In the CT scans, it is visible that by using MPP, a high number of cells that coalesce is less common (based on cell diameter analysis); so, the appearance of large unwanted voids can be avoided in the samples. In contrast, samples without MPP had a more damaged internal cell structure, like the AP20 sample (Figure 4). Regarding the AP20 sample, the high cell density area in the core coalesced, and the cell expansion process escalated to such a degree that the entire core cell structure ruptured, and a giant gas-filled void formed in the middle of the sample, which affects its mechanical properties and flame retardancy.

3.2. Mechanical Tests

Tensile and flexural mechanical tests were conducted to determine how the different flame retardant agents and their combination affect the rPET foam’s resistance to a quasi-static mechanical load.
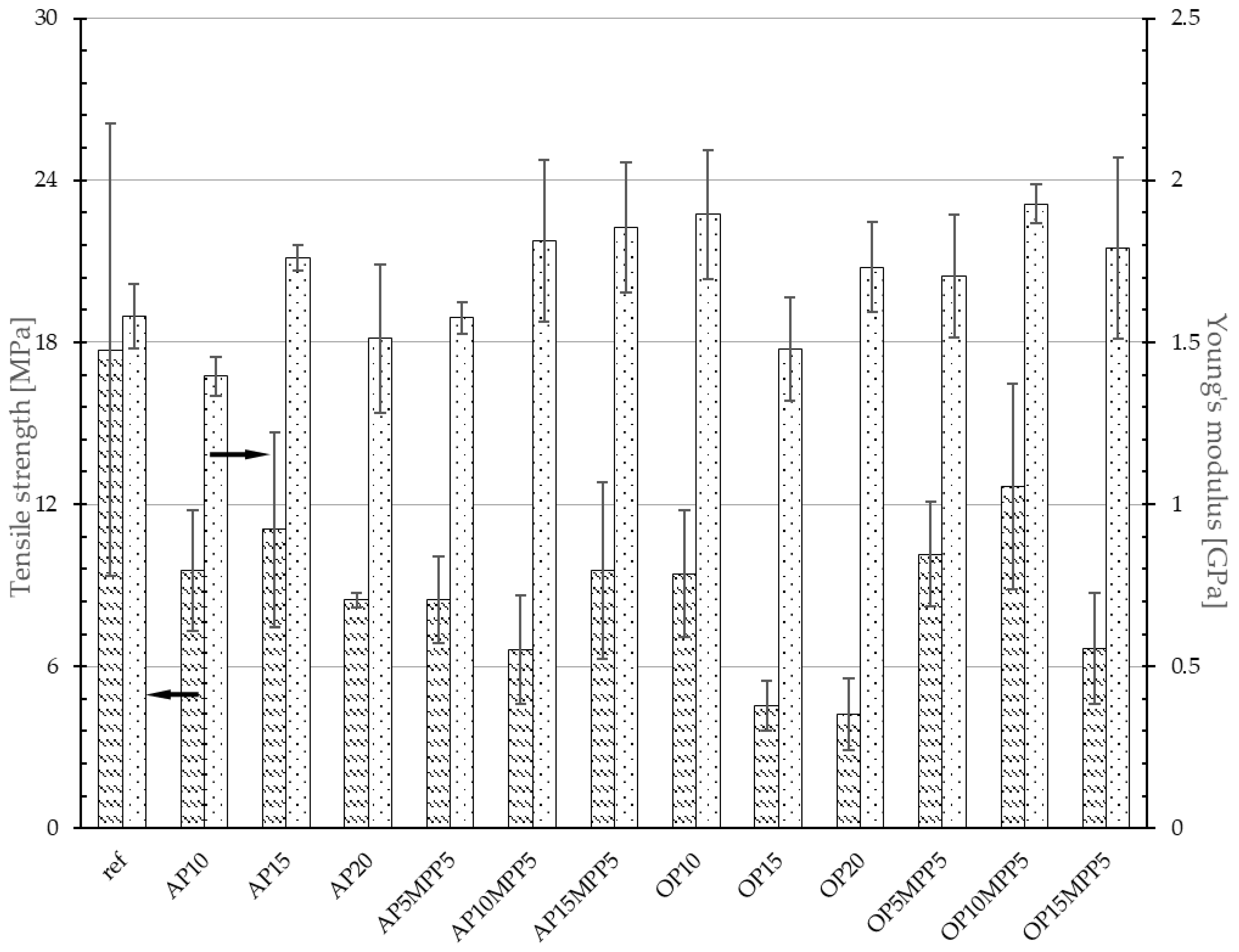
Figure 5 summarizes the tensile test results with right column being the young’s modulus and left column being the tensile strength, indicated by the arrows. Across the board, the addition of a flame retardant agent decreased the reference rPET foams’ resistance against pulling, regardless of the type of the agent. Comparing the tensile strength of specimens manufactured with AP and OP, it is clear that the AP ones perform better than the OP samples. These results contradict the predicted tensile properties based on porosity. Even with high porosity, acceptable tensile strength was achieved. Although the cells in the middle of the samples merged, the AP20 sample was also capable of resisting tensile load to the same degree as all the other AP specimens. The specimen’s resistance was influenced primarily by the compact surface layer, rather than the inner cell structure.
With respect to the samples containing pure OP flame retardant, the increase in the flame retardant agent ratio decreased the base material’s tensile strength. Contrary to this, the utilization of MPP with any ratio of flame retardant agent content was capable of counteracting the decrease, while the application of the AP flame retardant substance shows a weakening trend, compared to pure AP. The addition of MPP resulted in a better structure of the cell formation with the prevention of cell coalescence. The smaller, better dispersed cells effectively decreased the inner stress concentrations in the material. As a result, the fine-structured foam has less and smaller weak points, which facilitated a more even distribution of the tensile loads within the structure. With this, the formation of stress points around the larger voids was minimized, contributing to the improvement in tensile strength.
In the case of Young’s modulus, almost all combinations increased the stiffness of the material. The lowest modulus value was achieved by the AP10 sample (1.39 GPa). The utilization of MPP increased the Young’s modulus value of all the AP samples. The AP+MPP flame retardant combination resulted in an increase in stiffness compared to the reference, which increased by 0.2 GPa with 15 phr AP and 5 phr MPP.
When using OP10 and OP20, the increase in stiffness is larger when compared to AP10 and AP20. Due to its irregular cell structure, some parts of the OP15 samples were capable of elastic deformation. When the combination of OP and MPP was used, lower modulus values were obtained when set side by side with AP and MPP combinations. The exception being the OP10MPP5 sample, where the cell density is varied, which is dominant on the left and right side and increased the Young’s modulus values.
The decrease in tensile strength and the variation among different mixtures of flame retardants has been reported by others. Ustuntag et al. [41] experimented with the addition of 20 wt.% Exolit OP 1312 to a thermoplastic polyurethane and waste leather (5wt.%) mixture and measured a decrease in tensile strength from 26.9 to 6.7 MPa. Sut et al. [42] was capable of maintaining the tensile strength of the thermoplastic polyurethane by adding MPP and aluminum diethyl phosphinate, separately, and with the addition of melamine cyanurate. Both of them claim great synergy between melamine polyphosphate and aluminum phosphinate in terms of flame retardation. The literature on the combination of foaming and flame retardation with our complex formula, however, presents a knowledge gap, especially in terms of the mechanical properties.
In Figure 6, the flexural strength and flexural modulus values are shown, left column is the strength and right column is the modulus, indicated by the arrows. Examining the samples containing the AP type flame retardant, it is observable that even the smallest concentration decreases the flexural strength, and the most severe decrease was measured with 20 phr. The presence of MPP within the AP + MPP combination further decreased the flexural strength. Comparing the AP10 and AP10MPP5 samples, the added MPP decreased the flexural strength by 24.8%. The AP15MPP5 sample had a closer flexural strength to the pure AP10 and AP15 specimens.
The samples containing the OP flame retardant agent had a lower flexural modulus than the AP ones. Investigating the specimens with a OP15 and OP20 flame retardant agent mixture, a drastic drop was measured. For the OP5MPP5, OP10MPP5, and OP15MPP5 samples, the introduction of MPP lowered the flexural strength less severely when compared to the reference. With the addition of MPP, we obtain slightly higher flexural strength results. Bin Li and Miaojun Xu [43] reported a similar decrease in flexural strength when investigating the flame retardant on PP and drew an almost linear decrease with increased flame retardant content, from 61.4 MPa to ~54 MPa.
The flexural modulus values with the addition of AP decreased from 2.2 to 1.9 GPa. The increase in the AP ratio resulted in the decrease in the flexural modulus; the biggest drops observed were in the case of the 10 phr samples, while for the AP15 and AP20 samples, this was less severe. By adding MPP to AP5, the modulus was below the reference (1.95 GPa) and then increased with the increase in the AP ratio, at 10 phr it was 2 GPa, and at 15 phr, it grew above the reference’s value to 2.62 GPa.
The flexural modulus of OP samples was greater with the 10 and 20 phr ratios compared to the AP-containing samples. This can be attributed to the thicker compact layer, as showcased in Figure 3. The 20 phr OP specimens’ flexural modulus was above the reference. The addition of MPP to the OP resulted in increased flexural modulus, similar to the tensile modulus, with the exception of the OP15 samples. The OP5MPP5 and OP10MPP5 samples’ flexural modulus was around 2 GPa, while for the OP15 sample with 5 phr MPP, the flexural modulus increased to 2.4 GPa.

3.3. Flammability Tests

UL94 flammability tests were conducted to analyze the samples’ resistance to burning. First, all the samples were examined in the horizontal position. Then, the samples which were capable of self-extinguishing were subjected to the vertical UL94 flammability test. During the test, a Bunsen burner was used with an average flame length of 40mm. We used methane (CH4) with the burner, flowing at approximately 105 mL/minute. The maximum temperatures reached during testing were between 900 and 1000 degrees Celsius.
None of the rPET foams manufactured with the AP flame retardant agent complied with the V-2 criteria, meaning that self-extinguishing was not observed within 30 s when the samples were in the vertical arrangement. Therefore, their flame spread was examined, as shown in Figure 7. The AP20, AP5MPP5, and AP10MPP5 specimens’ flame spread was determined to be 0 mm/s, because self-extinguishing was observed during the horizontal UL94 test, as opposed to the vertical orientation, where the specimens completely burned.
The AP10 specimens possess a noticeable deviation range, which hints that each individual specimen reacted differently to fire. The reason behind this can be found in the different cell density of the specimens, and the measurement results mirror this. It is a possibility that the bigger porosity contributed to the faster spread of the flame, since there are less solid parts present in the material, which increases the burning speed. The AP15MPP5 sample had the lowest porosity, and the speed of flame spread was unmeasurable. The AP samples have significantly underperformed in flame retardancy compared to the OP samples. Consequently, the industrial applicability of the AP samples is limited.
The presence of MPP reduced the porosity of the samples, assisting in the slowing of the flame spread speed. Conversely, it was observed in the case of the AP5MPP5 sample that the addition of a charring layer is not sufficient to counterbalance the effect of gases introduced during the foaming process. However, to achieve self-extinguishing, the combination of at least 10 phr AP and 5 phr MPP halogen-free flame retardant material is required, and even then, it only occurs in the horizontal layout and not in the vertical.
The samples containing the OP-type flame retardant agent were capable of self-extinguishing in the horizontal layout during the measurement, so the UL94 vertical tests could be conducted to compare self-extinguishing times (Figure 8). During the test, the OP10 sample was incapable of self-extinguishing; therefore, it is not presented in Figure 8.
The OP15MPP5 and OP20 mixtures displayed self-extinguishing times below 5 s with five samples; therefore, these combinations are clear to be graded to V0 in accordance with the UL94 standard. We cannot draw any connection between the porosity and self-extinguishing time of the samples, as the porosity of OP15 is similar to the OP20 and the OP15MPP5 samples, while its self-extinguishing time is five times longer. The added MPP is capable of improving the self-extinguishing time of all the mixtures with a similar OP flame retardant agent concentration. It is our belief that this is the result of the combined effects of the charring and the swelling flame retardant agents, hence why the OP15MPP5 hybrid flame retardant sample had the fastest self-extinguishing material.
Based on the UL 94 grading (Table 3), the AP and OP mixtures showcase different behaviors in the case of fire. The AP10, AP15, AP20, and AP + MPP samples equally obtained the HB grade, meaning they burn slowly in the horizontal layout, but did not pass the criteria of the vertical burning test. From the samples made with OP, only the OP10 obtained HB grading; the OP15, OP5MPP5, and OP10MPP5 samples were graded as V-1, meaning these materials self-extinguished within 30 s in a vertical layout without dripping. The best results were measured with the OP20 and OP15MPP5 samples, earning the V-0 qualification, as they self-extinguished within 10 s without dripping.

3.4. Thermal Properties

The DSC analysis was conducted on the reference sample and the two V-0-graded samples (OP20 and OP15MPP5). The glass transition temperature (Tg) was reduced with the addition of flame retardants (70.2 °C, 68.5 °C, and 69.1 °C for the REF, OP20, and OP15MPP5 samples, respectively) but not significantly. Amita A. Gaonkar et al. [32] determined PET and rPET Tg values of 74 and 67.4 °C, meaning that recycling reduced this value, but in our case, it seems that the chain extender slightly compensated for it.
The Xc value was initially 21.12% for the REF, which was increased to 29.87% and 31.94% for the OP20 and OP15MPP5 samples. This means that the added flame retardant propagated crystallization [44].
The TG results only showed a great difference in the onset temperature, the beginning of the decomposition, while each sample decomposed in one step. The onset temperatures were 401.6 °C, 392.4 °C, and 390.1 °C for the REF, OP20, and OP15MPP5 samples, respectively, meaning the addition of the flame retardant agent facilitated decomposition, which comes as no surprise, as their decomposition temperature was around 325–350 °C.

4. Conclusions

During this research, we were able to prove that the recycled polyethylene terephthalate (rPET) foam’s flame retardancy can be significantly improved by utilizing halogen-free flame retardant agents. The foaming of rPET is a complex process due to chain scission. With the addition of different additives (chain extender and impact modifier), the degradation of rPET can be reversed.
This paper is aimed at improving the flame retardancy of hybrid chemical-foamed rPET. Three different halogen-free flame retardant agents were used: ammonium polyphosphate (Exolit AP 422, AP), organic aluminum phosphate (Exolit OP 1240, OP), and melamine polyphosphate (Budit 342, MPP). By utilizing the combination of the swelling and the charring mechanisms within the hybrid system, we were able to improve the flame retardancy of the samples, while also prioritizing the maintenance of their mechanical attributes. The high heat resistance of AP and OP, in addition to the charring layer of MPP, resulted in effective flame resistance for rPET foams. During this research, we concluded that the combination of OP and MPP are the most promising. The OP15MPP5 mixture obtained the UL94 V-0 grade, which is the best out of all the samples. This means that both of the flame retardancy mechanisms worked, while retaining the closed-cell structure. The DSC results showed that the addition of OP decreases the glass transition temperature and the onset temperature for decomposition. The OP-based materials have high heat resistance, and the MPP facilitated more structured cell formations, reducing the cell coalescence. These results suggest that the halogen-free flame retardant mixtures offer long-term, sustainable, and safe alternatives to their halogenated counterparts.
In summary, our research points out that the utilization of hybrid flame retardant mixtures offers an innovative solution for the industrial applications of recycled PET foams, especially in areas where low density and high flame retardancy are required. As a continuation of this research, we will examine the applicability of the material within the automotive industry. We believe that it is crucial to determine the malleability of the foam when it comes to the production of complex parts.

Author Contributions

Conceptualization, V.A.S.; methodology, V.A.S.; validation, S.K.J. and V.A.S.; formal analysis, V.A.S.; investigation, A.K. and V.A.S.; writing—original draft preparation, V.A.S.; writing—review and editing, T.Z.B. and G.D.; supervision, G.D. All authors have read and agreed to the published version of the manuscript.

Funding

This research received no external funding.

Data Availability Statement

Data will be made available upon request.

Acknowledgments

The authors would like to express their sincere gratitude to Tobias Moss (Chemische Fabrik Budenheim KG) for his invaluable professional advice. Additionally, they are thankful to Ferenc Ronkay at Jász-Plasztik Kft. for his support in the manufacturing process.

Conflicts of Interest

The authors declare no conflicts of interest.

References

  1. Global-Production-of-Plastics-Since. 1950. Available online: https://www.statista.com/statistics/282732/global-production-of-plastics-since-1950/ (accessed on 12 July 2024).
  2. Jaime, S.B.M.; Alves, R.M.V.; Bócoli, P.F.J. Moisture and oxygen barrier properties of glass, PET and HDPE bottles for pharmaceutical products. J. Drug Deliv. Sci. Technol. 2022, 68, 103330. [Google Scholar] [CrossRef]
  3. Nisticò, R. Polyethylene terephthalate (PET) in the packaging industry. Polym. Test. 2020, 90, 106707. [Google Scholar] [CrossRef]
  4. Lang, W.T.; Mehta, S.A.; Thomas, M.M.; Openshaw, D.; Westgate, E.; Bagnato, G. Chemical recycling of polyethylene terephthalate, an industrial and sustainable opportunity for Northwest of England. J. Environ. Chem. Eng. 2023, 11, 110585. [Google Scholar] [CrossRef]
  5. Vogt, B.D.; Stokes, K.K.; Kumar, S.K. Why is recycling of postconsumer plastics so challenging? ACS Appl. Polym. Mater. 2021, 3, 4325–4346. [Google Scholar] [CrossRef]
  6. Wright, S.L.; Kelly, F.J. Plastic and human health: A micro issue? Environ. Sci. Technol. 2017, 51, 6634–6647. [Google Scholar] [CrossRef]
  7. Vozniak, A.; Hosseinnezhad, R.; Vozniak, I.; Galeski, A. PET mechanical recycling: A new principle for chain extender introduction. Sustain. Mater. Technol. 2024, 40, e00886. [Google Scholar] [CrossRef]
  8. Ongthip, L.; Chaiwutthinan, P.; Chuayjuljit, S.; Boonmahitthisud, A. Effects of chain extender types and contents on the properties of modified recycled polyethylene terephthalate. J. Appl. Polym. Sci. 2024, 141, e55971. [Google Scholar] [CrossRef]
  9. Chen, Y.; Das, R. A review on manufacture of polymeric foam cores for sandwich structures of complex shape in automotive applications. J. Sandw. Struct. Mater. 2022, 24, 789–819. [Google Scholar] [CrossRef]
  10. Wypych, G. Handbook of Foaming and Blowing Agents, 2nd ed.; ChemTec Publishing: Toronto, ON, Canada, 2022; p. 299. [Google Scholar]
  11. Dogossy, G. Polimer Habok. In Fejezetek Nemfémes Anyagok Legújabb Járműipari Kutatási Területeiből; Zsoldos, I., Ed.; Universitas Győr: Győr, Hungary, 2015; pp. 212–265. [Google Scholar]
  12. Czvikovszky, T.; Nagy, P.; Gaál, J. A Polimertechnika Alapjai; Műegyetemi Ki-adó: Budapest, Hungary, 2000; p. 453. [Google Scholar]
  13. Akkoyun, M.; Badem, İ.; Öztoksoy, M.E.; Aslan, Y. Polypropylene/Chemical Blowing Agent Foams: Effect of the Injection Speed and Core Back Distance on Microstructure and Mechanical Properties. Int. J. Eng. Res. Dev. 2020, 12, 638–647. [Google Scholar] [CrossRef]
  14. Valipour, M.; Saeb, M.R.; Sadati Tilebon, S.M.; Ataeefard, M. Reactive extrusion foaming of poly(lactic acid): Tailoring foam properties through controlling in-process chemical reactions. Iran. Polym. J. 2024, 33, 1031–1046. [Google Scholar] [CrossRef]
  15. Bledzki, A.K.; Faruk, O. Effects of the chemical foaming agents, injection parameters, and melt-flow index on the microstructure and mechanical properties of microcellular injection-molded wood-fiber/polypropylene composites. J. Appl. Polym. Sci. 2005, 97, 1090–1096. [Google Scholar] [CrossRef]
  16. Li, Q.; Matuana, L.M. Foam extrusion of high density polyethylene/wood-flour composites using chemical foaming agents. J. Appl. Polym. Sci. 2003, 88, 3139–3150. [Google Scholar] [CrossRef]
  17. Lukács, N.; Ronkay, F.; Molnár, B.; Marosfői, B.; Bocz, K. Characterisation of flame retarded recycled PET foams produced by batch foaming. Polym. Test. 2023, 124, 108104. [Google Scholar] [CrossRef]
  18. Szabó, V.A.; Fekete, G.; Dogossy, G. Endothermic–Exothermic Hybrid Foaming of Recycled PET Blends. J. Compos. Sci. 2024, 8, 383. [Google Scholar] [CrossRef]
  19. Rakotomalala, M.; Wagner, S.; Döring, M. Recent Developments in Halogen Free Flame Retardants for Epoxy Resins for Electrical and Electronic Applications. Materials 2010, 3, 4300–4327. [Google Scholar] [CrossRef]
  20. Mohd Sabee, M.M.S.; Itam, Z.; Beddu, S.; Zahari, N.M.; Mohd Kamal, N.L.; Mohamad, D.; Zulkepli, N.A.; Shafiq, M.D.; Abdul Hamid, Z.A. Flame Retardant Coatings: Additives, Binders, and Fillers. Polymers 2022, 14, 2911. [Google Scholar] [CrossRef]
  21. Loewenthal, O.; Doley, P.; Wang, C.; Yeoh, G.H.; Kabir, I.I. Investigating Intumescent Flame-Retardant Additives in Polyurethane Foam to Improve the Flame Resistance and Sustainability of Aircraft Cabin Materials. Fire 2024, 7, 351. [Google Scholar] [CrossRef]
  22. Li, G.; Duan, B.; Leng, G.; Xiu, X.; Wang, S.; Li, S.; Zhao, W.; Liu, J.; Qu, J. Preparation of Nitrogen-Phosphorus-Silicon Synergistic Intumescent Flame Retardant and Its Effect on the Flame Retardancy of Waterborne Polyurethane. J. Appl. Polym. Sci. 2024, 142, e56508. [Google Scholar] [CrossRef]
  23. Vakili, M.; Nikje, M.M.A.; Hajibeygi, M. The effects of a phosphorus/nitrogen-containing diphenol on the flammability, thermal stability, and mechanical properties of rigid polyurethane foam. Colloid Polym. Sci. 2024, 302, 79–90. [Google Scholar] [CrossRef]
  24. Szabó, V.A.; Dogossy, G. Investigation of Flame Retardant rPET Foam. Period. Polytech. Mech. Eng. 2020, 64, 81–87. [Google Scholar] [CrossRef]
  25. Anna, S.V. Szerkezeti Hab Alkalmazása az Építőiparban; Új Nemzeti Kiválóság Program, Tanulmánykötet 2018–2019; Széchenyi István Egyetem: Győr, Hungary, 2019. [Google Scholar]
  26. ISO 527; Plastics—Determination of Tensile Properties. ISO: Geneva, Switzerland, 2019.
  27. ISO 178; Plastics—Determination of Flexural Properties. ISO: Geneva, Switzerland, 2019.
  28. ISO 9772; Cellular Plastics—Determination of Horizontal Burning Characteristics of Small Specimens Exposed to a Small Flame Ignition Source. ISO: New York, NY, USA, 2020.
  29. ISO 9773; Plastics—Determination of Burning Behaviour of Thin Flexible Vertical Specimens in Contact with a Small Flame Ignition Source. ISO: New York, NY, USA, 2024.
  30. ISO 11357-1; Plastics—Differential Scanning Calorimetry (DSC)—Part 1: General Principles. ISO: Geneva, Switzerland, 2023.
  31. ISO 11358-1; Plastics—Thermogravimetry (TG) of Polymers—Part 1: General Principles. ISO: Geneva, Switzerland, 2022.
  32. Gaonkar, A.A.; Murudkar, V.V.; Deshpande, V.D. Comparison of Crystallization Kinetics of Polyethylene Terephthalate (PET) and Reorganized PET. Thermochim. Acta 2020, 683, 178472. [Google Scholar] [CrossRef]
  33. Reglero Ruiz, J.A.; Vincent, M.; Agassant, J.-F.; Sadik, T.; Pillon, C.; Carrot, C. Polymer foaming with chemical blowing agents: Experiment and modeling. Polym. Eng. Sci. 2015, 55, 2018–2029. [Google Scholar] [CrossRef]
  34. Jin, F.-L.; Zhao, M.; Park, M.; Park, S.-J. Recent Trends of Foaming in Polymer Processing: A Review. Polymers 2019, 11, 953. [Google Scholar] [CrossRef]
  35. Gonçalves, L.F.F.F.; Reis, R.L.; Fernandes, E.M. Forefront Research of Foaming Strategies on Biodegradable Polymers and Their Composites by Thermal or Melt-Based Processing Technologies: Advances and Perspectives. Polymers 2024, 16, 1286. [Google Scholar] [CrossRef]
  36. Suethao, S.; Shah, D.U.; Smitthipong, W. Recent Progress in Processing Functionally Graded Polymer Foams. Materials 2020, 13, 4060. [Google Scholar] [CrossRef]
  37. Deshmukh, K.; Kangda, A.; Mahajan, P.; Chopra, S.; Kumar, A.; Peshwe, D. Influence of Talc Particle Size on Nucleating Efficiency of Commercial Isotactic Polypropylene (iPP). J. Res. Eng. Appl. Sci. 2018, 3, 1–5. [Google Scholar] [CrossRef]
  38. Hössinger-Kalteis, A.; Reiter, M.; Jerabek, M.; Major, Z. Development and investigation of the applicability of computed tomography data-based modelling technique for polymeric high-density foams. Cell. Polym. 2022, 41, 80–99. [Google Scholar] [CrossRef]
  39. Di Maio, E.; Kiran, E. Foaming of polymers with supercritical fluids and perspectives on the current knowledge gaps and challenges. J. Supercrit. Fluids 2018, 134, 157–166. [Google Scholar] [CrossRef]
  40. Tiwary, P.; Park, C.B.; Kontopoulou, M. Transition from microcellular to nanocellular PLA foams by controlling viscosity, branching, and crystallization. Eur. Polym. J. 2017, 91, 283–296. [Google Scholar] [CrossRef]
  41. Ustuntag, S.; Cakir, N.; Erdem, A.; Ozmen, O.; Dogan, M. Production and Characterization of Flame Retardant Leather Waste Filled Thermoplastic Polyurethane. ACS Omega 2024, 9, 9475–9485. [Google Scholar] [CrossRef]
  42. Sut, A.; Metzsch-Zilligen, E.; Großhauser, M.; Pfaendner, R.; Schartel, B. Synergy between melamine cyanurate, melamine polyphosphate, and aluminum diethylphosphinate in flame-retarded thermoplastic polyurethane. Polym. Test. 2019, 74, 196–204. [Google Scholar] [CrossRef]
  43. Li, B.; Xu, M. Effect of a novel charring–foaming agent on flame retardancy and thermal degradation of intumescent flame retardant polypropylene. Polym. Degrad. Stab. 2006, 91, 1380–1386. [Google Scholar] [CrossRef]
  44. Salaün, F.; Lemort, G.; Butstraen, C.; Devaux, E.; Capon, G. Influence of silica nanoparticles combined with zinc phosphinate on flame retardant properties of PET. Polym. Adv. Technol. 2017, 28, 1919–1928. [Google Scholar] [CrossRef]
Figure 1. Image of the finished samples.
Figure 1. Image of the finished samples.
Crystals 15 00080 g001
Figure 2. Average cell diameters of the voids as a function of porosity.
Figure 2. Average cell diameters of the voids as a function of porosity.
Crystals 15 00080 g002
Figure 3. CT scans of foamed samples: (a) AP10, (b) AP15, (c) AP20, (d) AP5MPP5, (e) AP10MPP5, (f) AP15MPP5, (g) OP10, (h) OP15, (i) OP20, (j) OP5MPP5, (k) OP10MPP, and (l) OP15MPP5.
Figure 3. CT scans of foamed samples: (a) AP10, (b) AP15, (c) AP20, (d) AP5MPP5, (e) AP10MPP5, (f) AP15MPP5, (g) OP10, (h) OP15, (i) OP20, (j) OP5MPP5, (k) OP10MPP, and (l) OP15MPP5.
Crystals 15 00080 g003
Figure 4. 3D CT image of foamed AP20 sample.
Figure 4. 3D CT image of foamed AP20 sample.
Crystals 15 00080 g004
Figure 5. Tensile properties of the samples.
Figure 5. Tensile properties of the samples.
Crystals 15 00080 g005
Figure 6. Flexural properties of the samples.
Figure 6. Flexural properties of the samples.
Crystals 15 00080 g006
Figure 7. Porosity as a function of the flame propagation rate for samples based on AP-type flame retardants.
Figure 7. Porosity as a function of the flame propagation rate for samples based on AP-type flame retardants.
Crystals 15 00080 g007
Figure 8. Porosity as a function of self-extinguishing time for samples containing OP-type flame retardants.
Figure 8. Porosity as a function of self-extinguishing time for samples containing OP-type flame retardants.
Crystals 15 00080 g008
Table 1. Composition and designation of the tested samples (unit: phr).
Table 1. Composition and designation of the tested samples (unit: phr).
Clariant Exolit AP 422Clariant Exolit OP 1240Budenheim Budit 342
ref000
AP101000
AP151500
AP202000
AP5MPP5505
AP10MPP51005
AP15MPP51505
OP100100
OP150150
OP200200
OP5MPP5055
OP10MPP50105
OP15MPP50155
Table 2. Injection molding parameters.
Table 2. Injection molding parameters.
DescriptionUnitValue
Clamping forcekN150
Nozzle temperature°C260
Injection pressurebar650
Injection speedcm3/s30
Holding pressurebar150–50–20
Holding pressure times2–1
Intermediate mold openingmm0.5
Residual cooling times20
Mold temperature°C35
Table 3. UL 94 classification of flame retardant samples.
Table 3. UL 94 classification of flame retardant samples.
SampleUL 94 Rating
AP10HB
AP15HB
AP20HB
AP5MPP5HB
AP10MPP5HB
AP15MPP5HB
OP10HB
OP15V-1
OP20V-0
OP5MPP5V-1
OP10MPP5V-1
OP15MPP5V-0
Disclaimer/Publisher’s Note: The statements, opinions and data contained in all publications are solely those of the individual author(s) and contributor(s) and not of MDPI and/or the editor(s). MDPI and/or the editor(s) disclaim responsibility for any injury to people or property resulting from any ideas, methods, instructions or products referred to in the content.

Share and Cite

MDPI and ACS Style

Szabó, V.A.; Jakab, S.K.; Kovács, A.; Böcz, T.Z.; Dogossy, G. Use of Hybrid Flame Retardants in Chemically Foamed rPET Blends. Crystals 2025, 15, 80. https://doi.org/10.3390/cryst15010080

AMA Style

Szabó VA, Jakab SK, Kovács A, Böcz TZ, Dogossy G. Use of Hybrid Flame Retardants in Chemically Foamed rPET Blends. Crystals. 2025; 15(1):80. https://doi.org/10.3390/cryst15010080

Chicago/Turabian Style

Szabó, Veronika Anna, Sándor Kálmán Jakab, András Kovács, Tamara Zsuzsanna Böcz, and Gábor Dogossy. 2025. "Use of Hybrid Flame Retardants in Chemically Foamed rPET Blends" Crystals 15, no. 1: 80. https://doi.org/10.3390/cryst15010080

APA Style

Szabó, V. A., Jakab, S. K., Kovács, A., Böcz, T. Z., & Dogossy, G. (2025). Use of Hybrid Flame Retardants in Chemically Foamed rPET Blends. Crystals, 15(1), 80. https://doi.org/10.3390/cryst15010080

Note that from the first issue of 2016, this journal uses article numbers instead of page numbers. See further details here.

Article Metrics

Back to TopTop