The Role of Hydrogen Bond Interactions in Crystal Formation of Pyrrolo-Azines Alcohols
Abstract
1. Introduction
2. Materials and Methods
3. Results
3.1. Crystal Growth
3.2. X-Ray Crystallography
3.3. Hirshfeld Analysis
3.4. DFT Calculations
4. Discussion
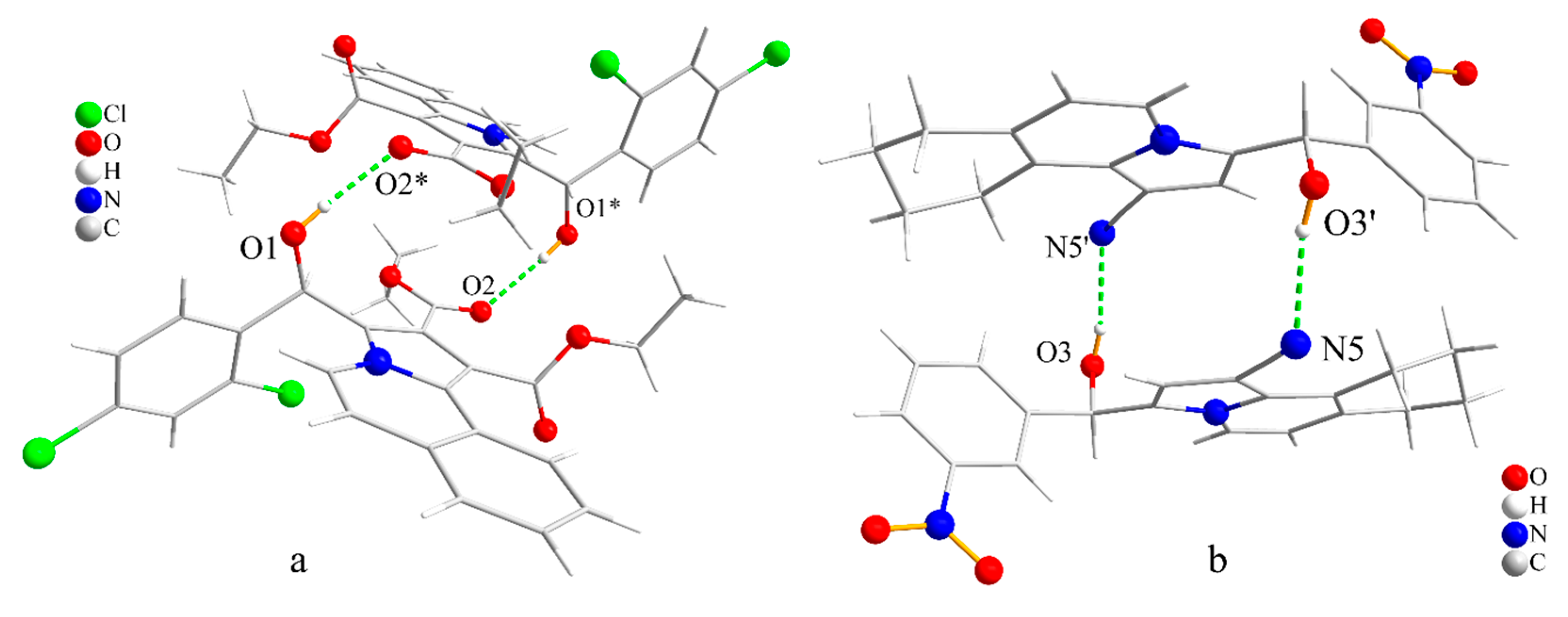
4.1. X-Ray Crystallography
4.2. Hirshfeld Analysis
4.3. DFT Calculations
5. Conclusions
Supplementary Materials
Author Contributions
Funding
Data Availability Statement
Acknowledgments
Conflicts of Interest
References
- Dumitrascu, F.; Georgescu, F.; Georgescu, E.; Caira, M.R. Pyrroloquinolines, imidazoquinolines, and pyrroloquinazolines with a bridgehead nitrogen. Adv. Heterocycl. Chem. 2019, 129, 155–244. [Google Scholar] [CrossRef]
- Dumitrascu, F.; Georgescu, E.; Georgescu, F. N-Bridgehead Pyrrolodiazines (1998–2023). Adv. Heterocycl. Chem. 2024; in press. [Google Scholar] [CrossRef]
- Singh, G.S.; Mmatli, E.E. Recent progress in synthesis and bioactivity studies of indolizines. Eur. J. Med. Chem. 2011, 46, 5237–5257. [Google Scholar] [CrossRef] [PubMed]
- Mitsoiu, V.-P.-M.; Antonaki, A.-M.N.; Douka, M.D.; Litinas, K.E. An overview on the synthesis of lamellarins and related compounds with biological interest. Molecules 2024, 29, 4032. [Google Scholar] [CrossRef] [PubMed]
- Wei, M.; Chen, J.; Song, Y.; Monserrat, J.P.; Zhang, Y.; Shen, L. Progress on synthesis and structure-activity relationships of lamellarins over the past decade. Eur. J. Med. Chem. 2024, 269, 116294. [Google Scholar] [CrossRef]
- Ivan, B.C.; Barbuceanu, S.-F.; Hotnog, C.M.; Olaru, O.T.; Anghel, A.I.; Ancuceanu, R.V.; Mihaila, M.A.; Brasoveanu, L.I.; Shova, S.; Draghici, C.; et al. Synthesis, characterization and cytotoxic evaluation of new pyrrolo [1,2-b]pyridazines obtained via mesoionic oxazolo-pyridazinones. Int. J. Mol. Sci. 2023, 24, 11642. [Google Scholar] [CrossRef]
- Xiang, H.-Y.; Chen, J.-Y.; Huan, X.-J.; Chen, Y.; Gao, Z.-B.; Ding, J.; Miao, Z.-H.; Yang, C.-H. Identification of 2-substituted pyrrolo [1,2-b]pyridazine derivatives as new PARP-1 inhibitors. Bioorg. Med. Chem. Lett. 2021, 31, 127710. [Google Scholar] [CrossRef]
- Nevskaya, A.A.; Purgatorio, R.; Borisova, T.N.; Varlamov, A.V.; Anikina, L.V.; Obydennik, A.Y.; Nevskaya, E.Y.; Niso, M.; Colabufo, N.A.; Carrieri, A.; et al. Nature-inspired 1-phenylpyrrolo [2,1-a]isoquinoline scaffold for novel antiproliferative agents circumventing P-glycoprotein-dependent multidrug resistance. Pharmaceuticals 2024, 17, 539. [Google Scholar] [CrossRef]
- Ziccarelli, I.; Amuso, R.; Mancuso, R.; Maggiore, A.; Lamberti, G.; Vitale, P.; Malorano, V.; Veltri, L.; Gabriele, B. Synthesis and photochemical characterization of indolizine fluorophores obtained by a multicomponent palladium iodide−catalyzed oxidative aminocarbonylation approach. Eur. J. Org. Chem. 2024, 27, e202400013. [Google Scholar] [CrossRef]
- Dumitrascu, F.; Caira, M.R.; Draghici, B.; Caproiu, M.T.; Dumitrescu, D.G. A novel approach for the synthesis of highly fluorescent pyrrolo [1,2-b]pyridazines. Synlett 2008, 2008, 813–816. [Google Scholar] [CrossRef]
- Kim, T.; Kim, J. Color-Tunable Indolizine-Based Fluorophores and Fluorescent pH Sensor. Molecules 2022, 27, 12. [Google Scholar] [CrossRef]
- Popa, M.M.; Georgescu, E.; Draghici, C.; Georgescu, F.; Dumitrescu, D.; Dumitrascu, F. Coumarin substituted pyrrolo-fused heterocyclic systems by 1,3-dipolar cycloadditon reactions. Monatsh. Chem. 2015, 146, 2029–2040. [Google Scholar] [CrossRef]
- Caira, M.R.; Popa, M.M.; Draghici, C.; Barbu, L.; Dumitrescu, D.; Dumitrascu, F. 7,8,9,10-Tetrahydropyrrolo [2,1-a]isoquinolines in the search for new indolizine derivatives. Tetrahedron Lett. 2014, 55, 5635–5638. [Google Scholar] [CrossRef]
- Dumitrascu, F.; Georgescu, E.; Georgescu, F.; Popa, M.M.; Dumitrescu, D. Synthesis of Pyrrolo [2,1-a]isoquinolines by multicomponent 1,3-dipolar cycloaddition. Molecules 2013, 18, 2635–2645. [Google Scholar] [CrossRef]
- Georgescu, E.; Georgescu, F.; Popa, M.M.; Draghici, C.; Tarko, L.; Dumitrascu, F. Efficient One-Pot, Three-Component Synthesis of a Library of Pyrrolo [1,2-c]pyrimidine Derivatives. ACS Comb. Sci. 2012, 14, 101–107. [Google Scholar] [CrossRef]
- Cristea, M.; Raduca, M.; Shova, S.; Draghici, C.; Neacsu, V.A.; Maganu, M.; Albota, L.; Dumitrescu, D.; Dumitrascu, F. Synthesis, crystal structure and photoluminescent properties of novel 9-cyano-pyrrolo [1,2-a][1,10]phenanthrolines. Crystals 2024, 14, 67. [Google Scholar] [CrossRef]
- Liga, S.; Paul, C.; Peter, F. Flavonoids: Overview of biosynthesis, biological activity, and current extraction techniques. Plants 2023, 12, 2732. [Google Scholar] [CrossRef]
- Over, B.; Wetzel, S.; Grutter, C.; Nakai, Y.; Renner, S.; Rauh, D.; Walsmann, H. Natural-product-derived fragments for fragment-based ligand discovery. Nat. Chem. 2013, 5, 21–28. [Google Scholar] [CrossRef]
- Aakeroy, C.B.; Seddon, K.R. The hydrogen bond and crystal engineering. Chem. Soc. Rev. 1993, 22, 397–407. [Google Scholar] [CrossRef]
- Cramer, J.; Sager, C.P.; Ernst, J. Hydroxyl Groups in synthetic and natural-product-derived therapeutics: A perspective on a common functional group. J. Med. Chem. 2019, 62, 8915–8930. [Google Scholar] [CrossRef]
- Su, D.-D.; Barboiu, M. Hydrogen-bonded water-wires/clusters −Toward natural selectivity of artificial water channels. Coord. Chem. Rev. 2024, 515, 215973. [Google Scholar] [CrossRef]
- Coulocheri, S.A.; Pigis, D.G.; Papavassiliou, A.K.; Papavassiliou, A.G. Hydrogen bonds in protein–DNA complexes: Where geometry meets plasticity. Biochimie 2007, 89, 1291–1303. [Google Scholar] [CrossRef] [PubMed]
- Vennelakanti, V.V.; Qi, H.W.; MehMood, R.; Kulik, H.J. When are two hydrogen bonds better than one? Accurate first-principles models explain the balance of hydrogen bond donors and acceptors found in proteins. Chem. Sci. 2021, 12, 1147–1162. [Google Scholar] [CrossRef] [PubMed]
- Miki, Y.; Hiroishi, Y.; Hachiken, H.; Takemura, S. Acid-catalyzed reactions of 1- and 3-(α-hydroxybenzyl)indolizines. J. Heterocycl. Chem. 1991, 28, 45–48. [Google Scholar] [CrossRef]
- Zhang, D.; Su, Z.; He, Q.; Wu, Z.; Zhou, Y.; Pan, C.; Liu, X.; Feng, X. Diversified Transformations of Tetrahydroindolizines to Construct Chiral 3-Arylindolizines and Dicarbofunctionalized 1,5-Diketones. J. Am. Chem. Soc. 2020, 142, 15975–15985. [Google Scholar] [CrossRef]
- Dolmanov, O.V.; Bourhis, L.J.; Gildea, R.J.; Howard, J.A.K.; Puschmann, H. OLEX2: A complete structure solution, refinement and analysis program. J. Appl. Crystallogr. 2009, 42, 339. [Google Scholar] [CrossRef]
- Sheldrick, G.M. A short history of SHELX. Acta Crystallogr. Sect. A Found. Crystallogr. 2008, 64, 112. [Google Scholar] [CrossRef]
- Sheldrick, G.M. SHELXT—Integrated space-group and crystal-structure determination. Acta Crystallogr. Sect. A Found. Crystallogr. 2015, 71, 3. [Google Scholar] [CrossRef]
- Liu, Y.; Wang, L.; Zhao, L.; Zhang, Y.; Li, Z.-T.; Huang, F. Multiple hydrogen bonding driven supramolecular architectures and their biomedical applications. Chem. Soc. Rev. 2024, 53, 1592–1623. [Google Scholar] [CrossRef]
- Spackman, M.A.; Jayatilaka, D. Hirshfeld surface analysis. CrystEngComm 2009, 11, 19–32. [Google Scholar] [CrossRef]
- Spackman, P.R.; Turner, M.J.; McKinnon, J.J.; Wolff, S.K.; Grimwood, D.J.; Jayatilaka, D.; Spackman, M.A. CrystalExplorer: A program for Hirshfeld surface analysis, visualization and quantitative analysis of molecular crystals. J. Appl. Crystallogr. 2021, 54, 1006–1011. [Google Scholar] [CrossRef]
- Frisch, M.J.; Trucks, G.W.; Schlegel, H.B.; Scuseria, G.E.; Robb, M.A.; Cheeseman, J.R.; Scalmani, G.; Barone, V.; Petersson, G.A.; Nakatsuji, H.; et al. Gaussian 16, Revision A.03; Gaussian, Inc.: Wallingford, CT, USA, 2016. [Google Scholar]
- Becke, A.D. A new mixing of Hartree–Fock and local density-functional theories. J. Chem. Phys. 1993, 98, 1372–1377. [Google Scholar] [CrossRef]
- Yanai, T.; Tew, D.; Handy, N. A new hybrid exchange–correlation functional using the Coulomb-attenuating method (CAM-B3LYP). Chem. Phys. Lett. 2004, 393, 51–57. [Google Scholar] [CrossRef]
- Grimme, S.; Antony, J.; Ehrlich, S.; Krieg, H. A consistent and accurate ab initio parameterization of density functional dispersion correction (DFT-D) for the 94 elements H-Pu. J. Chem. Phys. 2010, 132, 154104. [Google Scholar] [CrossRef]
- Tawada, Y.; Tsuneda, T.; Yanagisawa, S.; Yanai, T.; Hirao, K. A long-range-corrected time-dependent density functional theory. J. Chem. Phys. 2004, 120, 8425–8433. [Google Scholar] [CrossRef] [PubMed]
- Boese, A.D. Density functional theory and hydrogen bonds: Are we there yet? ChemPhysChem 2015, 16, 978–985. [Google Scholar] [CrossRef]
- Tsuzuki, S.; Uchimaru, T. Accuracy of intermolecular interaction energies, particularly of those of hetero-atom containing molecules obtained by DFT calculations with Grimme’s D2, D3 and D3BJ dispersion corrections/37/Role of exact exchange and empirical dispersion in DFT based three body non covalent interactions. Phys. Chem. Chem. Phys. 2020, 22, 22508–22519. [Google Scholar] [CrossRef]
- Ransil, B.J. Studies in molecular structure. IV. Potential curve for the interaction of two helium atoms in single-configuration LCAO MO SCF approximation. J. Chem. Phys. 1961, 34, 2109–2118. [Google Scholar] [CrossRef]
- Boys, S.F.; Bernardi, F. The calculation of small molecular interactions by the differences of separate total energies. Some procedures with reduced errors. Mol. Phys. 1970, 19, 553–566. [Google Scholar] [CrossRef]
- First, J.T.; Slocum, J.D.; Webb, L.J. Quantifying the effects of hydrogen bonding on nitrile frequencies in GFP: Beyond solvent exposure. J. Phys. Chem. B 2018, 122, 6733–6743. [Google Scholar] [CrossRef]
- Gavezotti, A. Hydrogen bond strength and bond geometry in cyclic dimers of crystalline carboxylic acids. Acta Cryst. 2008, B64, 401–403. [Google Scholar] [CrossRef]
- Bondi, A. van der Waals Volumes and Radii. J. Phys. Chem. 1964, 68, 441–451. [Google Scholar] [CrossRef]
- Mathews, D.M.; Sheets, R.W. Effect of surface adsorption on the determination by Infrared spectroscopy of hydrogen bond energies in carboxylic acid dimers. J. Chem. Soc. A 1969, 2203–2206. [Google Scholar] [CrossRef]
- Desiraju, J.; Steiner, T. The Weak Hydrogen Bond in Structural Chemistry and Biology; Oxford University Press: Oxford, UK; New York, NY, USA, 2001. [Google Scholar] [CrossRef]
- Johnson, E.W.; Nash, L.K. The vapor phase association of acetic and trimethylacetic acids. J. Am. Chem. Soc. 1950, 72, 547–556. [Google Scholar] [CrossRef]
- Pross, A.W.; van Zeggeren, F. Hydrogen-bond energies of acetic and n-butyric acids in the vapour phase by infra-red spectroscopy. Spectrochim. Acta 1960, 16, 563–569. [Google Scholar] [CrossRef]
- Hintze, P.E.; Aloisio, S.; Vaida, V. Electronic spectroscopy of organic acid dimers. Chem. Phys. Lett. 2001, 343, 159–165. [Google Scholar] [CrossRef]












| Compound | 1 | 2 | 3A | 3B | 4 | 5 |
|---|---|---|---|---|---|---|
| Formula | ![]() | ![]() | ![]() | ![]() | ![]() | |
| CCDC No. | 2406852 | 2406853 | 2406854 | 2406855 | 2406856 | 2406857 |
| Empirical formula | C17H22N2O5 | C21H17BrN2O3 | C27H27NO5 | C27H27NO5 | C25H21Cl2NO5 | C20H17N3O3 |
| Formula weight | 334.36 | 425.27 | 445.49 | 445.49 | 486.33 | 347.36 |
| Temperature/K | 293(2) | 293(2) | 293(2) | 293(2) | 293(2) | 160.00(10) |
| Crystal system | monoclinic | triclinic | monoclinic | triclinic | triclinic | monoclinic |
| Space group | P21/c | P-1 | P21/c | P-1 | P-1 | C2/c |
| a/Å | 8.8876(5) | 8.3116(5) | 9.4337(8) | 10.0519(8) | 8.8989(3) | 21.988(3) |
| b/Å | 9.4076(5) | 9.6349(9) | 11.7570(11) | 11.4464(10) | 10.0904(4) | 14.771(2) |
| c/Å | 21.6068(14) | 12.3873(8) | 21.510(2) | 11.4996(9) | 12.9124(5) | 15.662(2) |
| α/° | 90 | 89.768(7) | 90 | 72.018(8) | 98.447(3) | 90 |
| β/° | 100.146(6) | 86.326(5) | 94.695(8) | 80.535(6) | 92.114(3) | 40.541(13) |
| γ/° | 90 | 70.903(7) | 90 | 71.772(8) | 91.975(3) | 90 |
| Volume/Å3 | 1778.32(18) | 935.32(13) | 2377.7(4) | 1191.96(18) | 1145.16(7) | 3306.4(10) |
| Z | 4 | 2 | 4 | 2 | 2 | 8 |
| Crystallization Solvent | MeCN | MeCN + CH2Cl2 | EtOH | MeCN + CH2Cl2 | MeNO2 + CH2Cl2 | MeCN + CH2Cl2 |
| No. | O-H···A | dO-H | dO-H···A | vdWO-H···A | %vdWO-H···A | <O-H···A | dO/N···A | vdWO/N···A | %vdWO/N···A |
|---|---|---|---|---|---|---|---|---|---|
| 1 | O-H···O=C | 0.820 | 1.995 | 2.72 | 73.35 | 171.33 | 2.808 | 3.04 | 92.37 |
| 2 | O-H···O=C | 0.820 | 2.040 | 2.72 | 75.00 | 176.88 | 2.859 | 3.04 | 94.05 |
| 3A | O-H···O=C | 0.820 | 2.084 | 2.72 | 76.62 | 167.59 | 2.890 | 3.04 | 95.07 |
| 3B | O-H···O=C | 0.820 | 1.944 | 2.72 | 71.47 | 175.58 | 2.762 | 3.04 | 90.86 |
| 4 | O-H···O=C | 0.820 | 2.001 | 2.72 | 73.57 | 175.91 | 2.819 | 3.04 | 92.73 |
| 5 | O-H···N≡C | 0.840 | 2.103 | 2.74 | 76.75 | 169.66 | 2.933 | 3.07 | 95.54 |
| 1 | 2 | 3A | 3B | 4 | 5 |
|---|---|---|---|---|---|
![]() | ![]() | ![]() | ![]() | ![]() | ![]() |
![]() | ![]() | ![]() | ![]() | ![]() | ![]() |
![]() | ![]() | ![]() | ![]() | ![]() | ![]() Red arrow: red spots H-bond |
| No. | H-Bonded Dimer | Eint (B3LYP) | Eint (CAM-B3LYP) | Eint (CAM-B3LYP-D3) |
|---|---|---|---|---|
| 1 | ![]() | −5.22 | −6.03 | −8.23 |
| 2 | ![]() | −0.59 | −3.47 | −13.38 |
| 3A | ![]() | −3.11 | −5.76 | −14.99 |
| 3B | ![]() | −3.98 | −6.13 | −13.65 |
| 4 | ![]() | −2.80 | −5.62 | −14.66 |
| 5 | ![]() | −3.55 | −5.31 | −11.19 |
Disclaimer/Publisher’s Note: The statements, opinions and data contained in all publications are solely those of the individual author(s) and contributor(s) and not of MDPI and/or the editor(s). MDPI and/or the editor(s) disclaim responsibility for any injury to people or property resulting from any ideas, methods, instructions or products referred to in the content. |
© 2025 by the authors. Licensee MDPI, Basel, Switzerland. This article is an open access article distributed under the terms and conditions of the Creative Commons Attribution (CC BY) license (https://creativecommons.org/licenses/by/4.0/).
Share and Cite
Popa, M.M.; Răducă, M.; Man, I.C.; Dumitrascu, F. The Role of Hydrogen Bond Interactions in Crystal Formation of Pyrrolo-Azines Alcohols. Crystals 2025, 15, 78. https://doi.org/10.3390/cryst15010078
Popa MM, Răducă M, Man IC, Dumitrascu F. The Role of Hydrogen Bond Interactions in Crystal Formation of Pyrrolo-Azines Alcohols. Crystals. 2025; 15(1):78. https://doi.org/10.3390/cryst15010078
Chicago/Turabian StylePopa, Marcel Mirel, Mihai Răducă, Isabela C. Man, and Florea Dumitrascu. 2025. "The Role of Hydrogen Bond Interactions in Crystal Formation of Pyrrolo-Azines Alcohols" Crystals 15, no. 1: 78. https://doi.org/10.3390/cryst15010078
APA StylePopa, M. M., Răducă, M., Man, I. C., & Dumitrascu, F. (2025). The Role of Hydrogen Bond Interactions in Crystal Formation of Pyrrolo-Azines Alcohols. Crystals, 15(1), 78. https://doi.org/10.3390/cryst15010078






























