Numerical Simulation of Surface Thermal Analysis and Cooling Optimization of Continuous Casting Rolls
Abstract
1. Introduction
2. Establishment of Continuous Casting Roll Model and Parameter Setting
2.1. Geometric Model Establishment
2.2. Mesh
2.3. Mathematical Models and Equations
2.4. Boundary Conditions and Material Parameters
3. Analysis of Continuous Casting Roll Flow Thermal Force Coupling
3.1. Numerical Analysis of Cooling Water
3.2. Numerical Analysis of Continuous Casting Roll Temperature
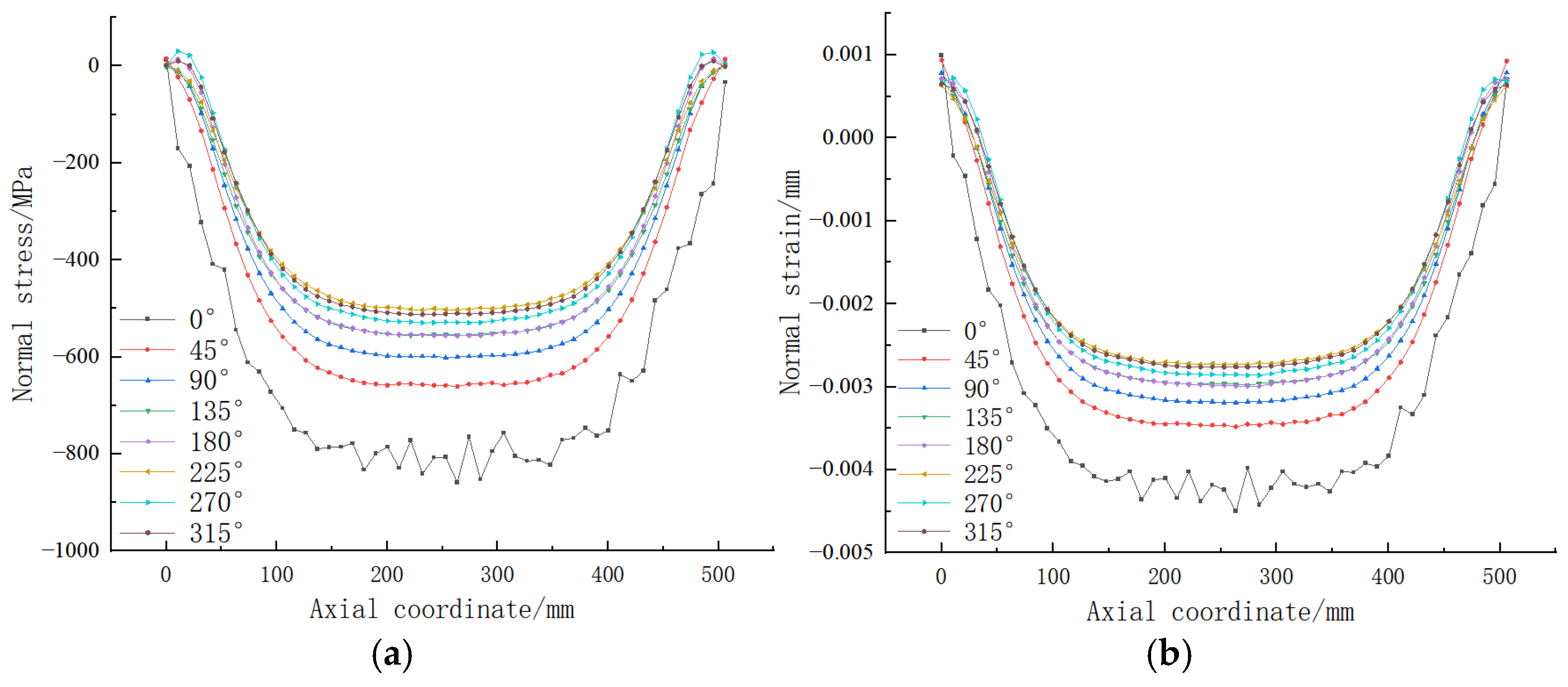
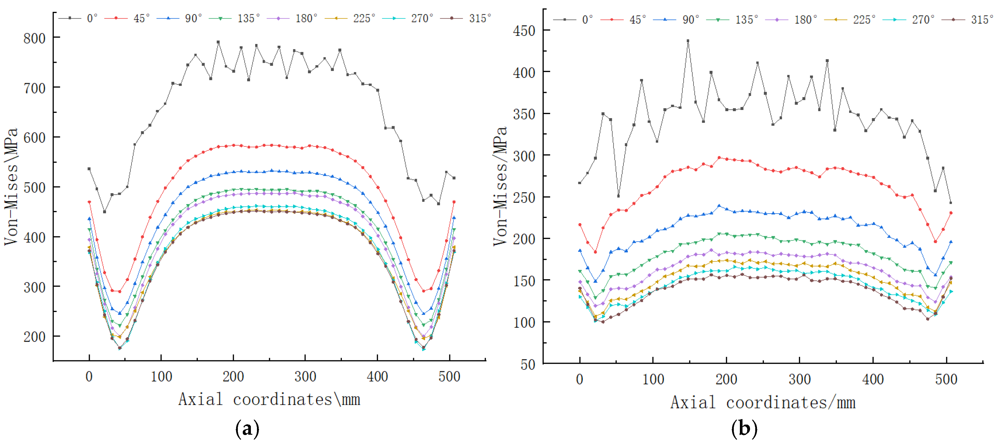
3.3. Numerical Analysis of Stress–Strain of Continuous Casting Rollers
4. Damage Morphology of Roller Surface
5. Optimization Design of Cooling Channel Structure for Continuous Casting Rolls
5.1. Structural Optimization Model and Grid Division
5.2. Analysis of Flow Field Inside of the Cooling Roller Conveyor
5.3. Analysis of Temperature Field of Cooling Roller
5.4. Stress Field Analysis of Cooling Roller
6. Optimization of Structural Parameters for Cooling Channels of Continuous Casting Rolls
6.1. Structural Parameter Optimization Criteria
6.2. Numerical Simulation Under Different Water Hole Distribution Conditions
7. Conclusions
- (1)
- For a standard continuous casting roll in contact with a billet at 1173.15 K, during normal operation, the surface temperature of the roll rises to 700 K–800 K. At this point, the maximum equivalent force on the surface can reach 890 MPa. The temperature difference across the surface of the roll during one rotation can be as large as 250 K, indicating poor cooling performance in conventional continuous casting rollers.
- (2)
- In the intermediate section of the continuous casting roller, near the end face and the middle region, significant point-like adhesive wear and large surface spalling were observed. Cracks were especially prominent at 50 mm near the end face. Simulation results indicate a point of zero normal stress at 50 mm near the end face, where the roll experiences normal stress in the opposite direction, making it more prone to cracking.
- (3)
- The optimized cooling channel design for the continuous casting roll demonstrates excellent cooling performance. The best cooling effect was achieved when the circumferential distribution consisted of 10 channels, each with a diameter of 10 mm. In this configuration, the maximum surface temperature of the roll was reduced to 591.48 K, and the maximum stress was 558.67 MPa. This design effectively reduces sudden temperature and stress fluctuations, leading to a more uniform distribution of stress and temperature across the surface.
Author Contributions
Funding
Data Availability Statement
Conflicts of Interest
References
- Luk’yanov, S.I.; Luk’yanov, D.S.; Logunova, O.S.; Nikiforov, G.V.; Krasil’nikov, S.S. Distribution of electric drives of pulling rollers on the continuous casting machine: Simulation and experiment. Int. J. Adv. Manuf. Technol. 2018, 95, 375–386. [Google Scholar] [CrossRef]
- Zhang, L.W.; Wang, Z.L.; Xu, C.J.; Li, S.L.; Ai, X.G.; Li, J. A vertical continuous casting machine for large blooms. Ironmak. Steelmak. 2019, 46, 742–746. [Google Scholar] [CrossRef]
- Sengupta, J.; Thomas, B.G.; Wells, M.A. The use of water cooling during the continuous casting of steel and aluminum alloys. Metall. Mater. Trans. A 2005, 36, 187–204. [Google Scholar] [CrossRef]
- Mintz, B. Understanding the low temperature end of the hot ductility trough in steels. Mater. Sci. Technol. 2008, 24, 112–120. [Google Scholar] [CrossRef]
- Kislitsa, V.V.; Maksaev, E.N.; Boiko, A.S.; Soldatov, E.A.; Vorozheva, E.L. Increasing productivity of casting and rolling complex. Metallurgist 2022, 66, 368–375. [Google Scholar] [CrossRef]
- Huespe, A.E.; Cardona, A.; Fachinotti, V. Thermomechanical model of a continuous casting process. Comput. Methods Appl. Mech. Eng. 2000, 182, 439–455. [Google Scholar] [CrossRef]
- Holl, H.J.; Simon, G. Transport of heat and material properties in continuous casting of steel. J. Phys. Conf. Ser. 2021, 1909, 012060. [Google Scholar] [CrossRef]
- Liu, Z.; Li, G.; Liu, H.; Jiang, G.; Liu, J. Temperature field and thermal stress field of continuous casting roller bearing. Comput. Model. New Technol. 2014, 18, 503–509. [Google Scholar]
- Liu, J.; Gui, H.; Zhang, P.; Zhang, C.; Liu, H. Investigation into the Rolling Process of 20CrNiMo/Incoloy 825 Composite Materials. Crystals 2024, 14, 969. [Google Scholar] [CrossRef]
- Pourfathi, A.; Tavakoli, R. Thermal optimization of secondary cooling systems in the continuous steel casting process. Int. J. Therm. Sci. 2023, 183, 107860. [Google Scholar] [CrossRef]
- Louhenkilpi, S.; Mäkinen, M.; Vapalahti, S.; Räisänen, T.; Laine, J. 3D steady state and transient simulation tools for heat transfer and solidification in continuous casting. Mater. Sci. Eng. A 2005, 413, 135–138. [Google Scholar] [CrossRef]
- Liu, C.; Dong, Y.; Wang, H.; Xie, J.; Pang, S.; Chen, X. The cooling techniques on the continuous casting process. IOP Conf. Ser. Earth Environ. Sci. 2021, 770, 012015. [Google Scholar]
- Xing, M.; Liu, Y.; Lu, J.; Huang, X.; Wang, X.; Xue, J.; Du, F. Fracture Criterion Calibration and Finite Element Simulation in SUS304 Stainless Steel. Materials 2024, 17, 5711. [Google Scholar] [CrossRef] [PubMed]
- Dong, B.; Xia, Y.; Ni, Z.; Cai, X.; Lin, S. Weld Pool Flow Characteristics in Double-Wire Arc Welding of Aluminum Alloys: Research by Numerical Simulations. Crystals 2024, 14, 2073–4352. [Google Scholar] [CrossRef]
- Sedmak, A.; Grbović, A.; Gubeljak, N.; Sedmak, S.; Budimir, N. Numerical Simulation of Fatigue Crack Growth and Fracture in Welded Joints Using XFEM—A Review of Case Studies. Materials 2024, 17, 5531. [Google Scholar] [CrossRef]
- Yang, E.; Ding, T.; Ren, T. The temperature field characteristics and amorphous formation ability during the continuous casting process of Zr-based bulk metallic glass. Heliyon 2024, 10, e37626. [Google Scholar] [CrossRef]
- Saini, D.K.; Bafna, N.; Jha, P.K. Effect of sheet thickness on the solidification and quality of Al-Mg2Si composite sheet fabricated by continuous casting. J. Manuf. Process. 2024, 131, 27–37. [Google Scholar] [CrossRef]
- Tyulenev, E.N.; Glebov, V.P.; Kononykhin, G.N.; Rogotovsky, A.N.; Shipel’nikov, A.A.; Bobyleva, N.A. Study of the Influence of Turbo Stops on Peculiarities of Bath Hydrodynamics in 50-Ton Tundish Ladles of Continuous Casting Machines. Steel Transl. 2024, 54, 77–83. [Google Scholar] [CrossRef]
- Stolyarov, A.M.; Buneyeva, Y.A.; Potapova, M.V. Interrelation of CCM (Steel Billet Continuous Casting Machine) Tube Steel Casting Parameters and Hot-Rolled Plate Quality. Solid State Phenom. 2021, 316, 479–483. [Google Scholar] [CrossRef]
- Aboutalebi, M.R.; Hasan, M.; Guthrie, R.I.L. Thermal modelling and stress analysis in the continuous casting of arbitrary sections. Steel Res. 1994, 65, 225–233. [Google Scholar] [CrossRef]
- Thomas, B.G. Review on modeling and simulation of continuous casting. Steel Res. Int. 2018, 89, 1700312. [Google Scholar] [CrossRef]
- Janik, M.; Dyja, H.; Berski, S.; Banaszek, G. Two-dimensional thermomechanical analysis of continuous casting process. J. Mater. Process. Technol. 2004, 153, 578–582. [Google Scholar] [CrossRef]
- Tessari, J.I.; Furlani, M.R.; de Jesus, H.S.; Vieira, E.A. Study on the effect of the application of metallic alloys on continuous casting machine segment drive roller surface. Technol. Metall. Mater. Min. 2024, 21, e2983. [Google Scholar] [CrossRef]
- Zhou, Q.; Yin, Y.; Zhang, J. Numerical simulation research and application of convex roll for efficient soft reduction of continuous casting slab. Metall. Mater. Trans. B 2022, 53, 4029–4047. [Google Scholar] [CrossRef]
- Nian, Y.; Zhang, L.; Zhang, C.; Ali, N.; Chu, J.; Li, J.; Liu, X. Application status and development trend of continuous casting reduction technology: A review. Processes 2022, 10, 2669. [Google Scholar] [CrossRef]
- Sotnik, S.V. Development of automated control system for continuous casting. Radio Electron. Comput. Sci. Control. 2024, 2, 181. [Google Scholar] [CrossRef]
- Depiver, J.A.; Mallik, S.; Amalu, E.H. Thermal fatigue life of ball grid array (BGA) solder joints made from different alloy compositions. Eng. Fail. Anal. 2021, 125, 105447. [Google Scholar] [CrossRef]
- Li, F.; Li, J.; Ji, W.; Zhang, X.; Liu, H.; Chen, X.; Jin, Z. Development of efficient continuous casting roller technology. Continuous Casting. 2011, S1, 250–254. [Google Scholar]
- Zhang, X.; Sun, J. Stress analysis of prestressed structure straightening roller in continuous casting machine. J. Yanshan Univ. 1999, 3, 276–279. [Google Scholar]
- Hang, X.; Cai, Q.; Qiu, Y. Analysis of Temperature and Stress Fields of Ring Cold Continuous Casting Rolls. China Equip. Eng. 2024, 15, 98–100. [Google Scholar]
- Ji, C.; Li, G.; Wu, C.; Zhu, M. Design and application of CSC-roll for heavy reduction of the bloom continuous casting process. Metall. Mater. Trans. B 2019, 50, 110–122. [Google Scholar] [CrossRef]
- Liu, Y.; Peng, Y.; Qu, X. Mechanism of and Key Technologies for Copper Bonding in the Hot Rolling of SCR Continuous Casting and Rolling. Appl. Sci. 2021, 11, 11023. [Google Scholar] [CrossRef]



























| Geometry | Left Roller Sleeve | Middle Roller Sleeve | Right Roller Sleeve | Water Inlet/Outlet | End Face Bearing Support Section | Bearing Support Section |
|---|---|---|---|---|---|---|
| Diameter/(mm) | 230 | 230 | 230 | 38 | 100 | 120 |
| Length/(mm) | 704 | 506 | 828 | 2 250 | 193.5 | 106 |
| 42CrMo | |||||||||
|---|---|---|---|---|---|---|---|---|---|
| Main Components | C | Si | Mn | S | N | Cr | Ni | Cu | Mo |
| 0.38~0.45% | 0.8% | 1.1% | ≤0.035% | 0.12% | 0.90~1.20% | 4.0% | ≤0.30% | 0.3% | |
| Density | 7.85 | Poisson’s Ratio | 0.28–0.3 | ||||||
| Elastic Modulus | 155 GPa | Coefficient of thermal conductivity | 45–50 W/mK | ||||||
| Coefficient of Linear Expansion | 14.1 × /K | Specific heat at constant pressure | 460 J/(kg·K) | ||||||
| Casting Roll 1 | Casting Roll 2 | Casting Roll 3 | ||||
|---|---|---|---|---|---|---|
| Return Water Temperature/K | Temperature Difference/K | Return Water Temperature/K | Temperature Difference/K | Return Water Temperature/K | Temperature Difference/K | |
| 1 | 311.1 | 14.3 | 311.8 | 15.7 | 313.5 | 15.1 |
| 2 | 313.5 | 17.1 | 312.5 | 16.4 | 312.8 | 17.4 |
| 3 | 306.2 | 9.4 | 305.7 | 9.5 | 310.5 | 15.6 |
| Number of Circumferential Channels | Maximum Circumferential Temperature/K | Minimum Circumferential Temperature/K | Maximum Circumferential Stress/MPa | Minimum Circumferential Stress/MPa | Normal Stress Difference of Continuous Casting Roller/MPa | Normal Strain Difference of Continuous Casting Roller/mm |
|---|---|---|---|---|---|---|
| 4 | 628.30 | 361.907 | 574.49 | 154.53 | 915.24 | 0.003201 |
| 6 | 596.15 | 379.489 | 572.52 | 155.99 | 917.43 | 0.003234 |
| 8 | 621.95 | 381.345 | 570.48 | 156.98 | 936.84 | 0.003237 |
| 10 | 591.48 | 367.107 | 558.67 | 154.96 | 874.32 | 0.003005 |
| Number of Circumferential Channels | Maximum Circumferential Temperature/K | Minimum Circumferential Temperature/K | Maximum Circumferential Stress/MPa | Minimum Circumferential Stress/MPa | Normal Stress Difference of Continuous Casting Roller/MPa | Normal Strain Difference of Continuous Casting Roller/mm |
|---|---|---|---|---|---|---|
| 8 | 615.89 | 371.453 | 591.11 | 158.74 | 904.26 | 0.003054 |
| 10 | 591.48 | 367.107 | 558.67 | 154.96 | 874.32 | 0.003005 |
| 12 | 623.95 | 362.548 | 584.25 | 159.73 | 919.45 | 0.003187 |
Disclaimer/Publisher’s Note: The statements, opinions and data contained in all publications are solely those of the individual author(s) and contributor(s) and not of MDPI and/or the editor(s). MDPI and/or the editor(s) disclaim responsibility for any injury to people or property resulting from any ideas, methods, instructions or products referred to in the content. |
© 2024 by the authors. Licensee MDPI, Basel, Switzerland. This article is an open access article distributed under the terms and conditions of the Creative Commons Attribution (CC BY) license (https://creativecommons.org/licenses/by/4.0/).
Share and Cite
Cheng, G.; Yin, N.; Zheng, Q.; Qiu, Y.; Chen, J. Numerical Simulation of Surface Thermal Analysis and Cooling Optimization of Continuous Casting Rolls. Crystals 2025, 15, 41. https://doi.org/10.3390/cryst15010041
Cheng G, Yin N, Zheng Q, Qiu Y, Chen J. Numerical Simulation of Surface Thermal Analysis and Cooling Optimization of Continuous Casting Rolls. Crystals. 2025; 15(1):41. https://doi.org/10.3390/cryst15010041
Chicago/Turabian StyleCheng, Guangwei, Ningxia Yin, Qiaoxin Zheng, Yuming Qiu, and Junqi Chen. 2025. "Numerical Simulation of Surface Thermal Analysis and Cooling Optimization of Continuous Casting Rolls" Crystals 15, no. 1: 41. https://doi.org/10.3390/cryst15010041
APA StyleCheng, G., Yin, N., Zheng, Q., Qiu, Y., & Chen, J. (2025). Numerical Simulation of Surface Thermal Analysis and Cooling Optimization of Continuous Casting Rolls. Crystals, 15(1), 41. https://doi.org/10.3390/cryst15010041
