A Visual Representation for Accurate Local Basis Set Construction and Optimization: A Case Study of SrTiO3 with Hybrid DFT Functionals
Abstract
1. Introduction
2. Local Basis Set Selection
3. Methodology
3.1. DFT Functionals
3.2. DFT Calculation Input Parameters
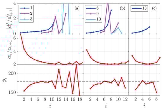
4. Visual Representation and the Local Basis Set Construction Method
5. Simulation Results and Discussion
5.1. Basic STO Properties Calculated with B3LYP, PBE0, HSE06
5.2. Basic STO Properties Calculated with Adjusted Exact HF Exchange and SCANx Functionals
5.3. Vibrational Properties of STO
| Parameters | SCANx (A) | HSEx (A) | PBEx (A) | Exp | |||||||||
|---|---|---|---|---|---|---|---|---|---|---|---|---|---|
| BS1 | BS2 | BS3 | BS4 | BS1 | BS2 | BS3 | BS4 | BS1 | BS2 | BS3 | BS4 | ||
| A, % | |||||||||||||
| (SG 221) | |||||||||||||
| , Å | a | ||||||||||||
| B, GPa | 202 | 203 | 200 | 207 | 198 | 202 | 196 | 204 | 191 | 196 | 191 | 198 | b |
| (, ), | 112 | 64 | 44 | 88 | 48 | 32 | soft c | ||||||
| (, ), | 24 | 10 | 61 | 79 | 53 | 72 | soft c | ||||||
| , eV | d | ||||||||||||
| , eV | d | ||||||||||||
| (SG 140) | |||||||||||||
| , Å | a | ||||||||||||
| , Å | a | ||||||||||||
| , e | |||||||||||||
| , ° | , e | ||||||||||||
| (), | 16 | 17 | 33 | 44 | 18 | 10 | 22 | 49 | 29 | 7 | 14 | 35 | c, f |
| (), | 40 | 88 | 55 | 33 | 39 | 78 | 42 | 47 | 64 | 90 | 56 | 31 | c, f |
| (), | 114 | 81 | 59 | 74 | g | ||||||||
| (), | 121 | 85 | 68 | 76 | g | ||||||||
| , eV | d | ||||||||||||
| , meV | |||||||||||||
6. Conclusions
Supplementary Materials
Author Contributions
Funding
Data Availability Statement
Acknowledgments
Conflicts of Interest
Abbreviations
| AFD | Antiferrodistortive |
| BS | Basis set |
| DFT | Density functional theory |
| FE | Ferroelectric |
| HF | Hartree–Fock |
| LCAO | Linear combination of atomic orbitals |
| SG | Space group |
| STO |
References and Note
- Bussmann-Holder, A.; Kremer, R.K.; Roleder, K.; Salje, E.K.H. SrTiO3: Thoroughly investigated but still good for surprises. Condens. Matter 2024, 9, 3. [Google Scholar] [CrossRef]
- De Souza, R.A.; Fleig, J.; Merkle, R.; Maier, J. SrTiO3: A model electroceramic. Int. J. Mater. Res. 2003, 94, 218–225. [Google Scholar] [CrossRef]
- Shi, X.L.; Wu, H.; Liu, Q.; Zhou, W.; Lu, S.; Shao, Z.; Dargusch, M.; Chen, Z.G. SrTiO3-based thermoelectrics: Progress and challenges. Nano Energy 2020, 78, 105195. [Google Scholar] [CrossRef]
- Yin, X.B.; Tan, Z.H.; Yang, R.; Guo, X. Single crystalline SrTiO3 as memristive model system: From materials science to neurological and psychological functions. J. Electroceram. 2017, 39, 210–222. [Google Scholar] [CrossRef]
- Xu, Y.; Liang, Y.; He, Q.; Xu, R.; Chen, D.; Xu, X.; Hu, H. Review of doping SrTiO3 for photocatalytic applications. Bull. Mater. Sci. 2023, 46, 6. [Google Scholar] [CrossRef]
- Adachi, M.; Akishige, Y.; Asahi, T.; Deguchi, K.; Gesi, K.; Hasebe, K.; Hikita, T.; Ikeda, T.; Iwata, Y.; Komukae, M.; et al. Ferroelectrics and related substances. Oxides. In Landolt-Börnstein—Group III Condensed Matter; Shiozaki, Y., Nakamura, E., Mitsui, T., Eds.; Springer: Berlin/Heidelberg, Germany, 2001; Volume 36A1. [Google Scholar] [CrossRef]
- Evarestov, R.A.; Blokhin, E.; Gryaznov, D.; Kotomin, E.A.; Maier, J. Phonon calculations in cubic and tetragonal phases of SrTiO3: A comparative LCAO and plane-wave study. Phys. Rev. B 2011, 83, 134108. [Google Scholar] [CrossRef]
- Müller, K.A.; Burkard, H. SrTiO3: An intrinsic quantum paraelectric below 4 K. Phys. Rev. B 1979, 19, 3593–3602. [Google Scholar] [CrossRef]
- Trepakov, V.; Dejneka, A.; Markovin, P.; Lynnyk, A.; Jastrabik, L. A ‘soft electronic band’ and the negative thermooptic effect in strontium titanate. New J. Phys. 2009, 11, 083024. [Google Scholar] [CrossRef]
- Rössle, M.; Wang, C.N.; Marsik, P.; Yazdi-Rizi, M.; Kim, K.W.; Dubroka, A.; Marozau, I.; Schneider, C.W.; Humlíček, J.; Baeriswyl, D.; et al. Optical probe of ferroelectric order in bulk and thin-film perovskite titanates. Phys. Rev. B 2013, 88, 104110. [Google Scholar] [CrossRef]
- Gogoi, P.K.; Schmidt, D. Temperature-dependent dielectric function of bulk SrTiO3: Urbach tail, band edges, and excitonic effects. Phys. Rev. B 2016, 93, 075204. [Google Scholar] [CrossRef]
- Piskunov, S.; Heifets, E.; Eglitis, R.; Borstel, G. Bulk properties and electronic structure of SrTiO3, BaTiO3, PbTiO3 perovskites: An ab initio HF/DFT study. Comput. Mater. Sci. 2004, 29, 165–178. [Google Scholar] [CrossRef]
- Begum, V.; Gruner, M.E.; Pentcheva, R. Role of the exchange-correlation functional on the structural, electronic, and optical properties of cubic and tetragonal SrTiO3 including many-body effects. Phys. Rev. Mater. 2019, 3, 065004. [Google Scholar] [CrossRef]
- Wahl, R.; Vogtenhuber, D.; Kresse, G. SrTiO3 and BaTiO3 revisited using the projector augmented wave method: Performance of hybrid and semilocal functionals. Phys. Rev. B 2008, 78, 104116. [Google Scholar] [CrossRef]
- Winczewski, S.; Dziedzic, J.; Miruszewski, T.; Rybicki, J.; Gazda, M. Properties of oxygen vacancy and hydrogen interstitial defects in strontium titanate: DFT + Ud,p calculations. J. Phys. Chem. C 2022, 126, 18439–18465. [Google Scholar] [CrossRef]
- Ricca, C.; Timrov, I.; Cococcioni, M.; Marzari, N.; Aschauer, U. Self-consistent DFT + U + V study of oxygen vacancies in SrTiO3. Phys. Rev. Res. 2020, 2, 023313. [Google Scholar] [CrossRef]
- Derkaoui, I.; Achehboune, M.; Eglitis, R.I.; Popov, A.I.; Boukhoubza, I.; Basyooni-M. Kabatas, M.A.; Rezzouk, A. Influence of the Hubbard U correction on the electronic properties and chemical bands of the cubic () phase of SrTiO3 using GGA/PBE and LDA/CA-PZ approximations. Molecules 2024, 29, 3081. [Google Scholar] [CrossRef] [PubMed]
- Cappellini, G.; Bouette-Russo, S.; Amadon, B.; Noguera, C.; Finocchi, F. Structural properties and quasiparticle energies of cubic SrO, MgO and SrTiO3. J. Phys. Condens. Matter 2000, 12, 3671. [Google Scholar] [CrossRef]
- Kotani, T.; van Schilfgaarde, M.; Faleev, S.V.; Chantis, A. Quasiparticle self-consistent GW method: A short summary. J. Phys. Condens. Matter 2007, 19, 365236. [Google Scholar] [CrossRef] [PubMed]
- Benrekia, A.; Benkhettou, N.; Nassour, A.; Driz, M.; Sahnoun, M.; Lebègue, S. Structural, electronic and optical properties of cubic SrTiO3 and KTaO3: Ab initio and GW calculations. Phys. B Condens. Matter 2012, 407, 2632–2636. [Google Scholar] [CrossRef]
- Friedrich, C.; Blügel, S.; Schindlmayr, A. Efficient implementation of the GW approximation within the all-electron FLAPW method. Phys. Rev. B 2010, 81, 125102. [Google Scholar] [CrossRef]
- Sponza, L.; Véniard, V.; Sottile, F.; Giorgetti, C.; Reining, L. Role of localized electrons in electron-hole interaction: The case of SrTiO3. Phys. Rev. B 2013, 87, 235102. [Google Scholar] [CrossRef]
- Hamann, D.R.; Vanderbilt, D. Maximally localized Wannier functions for GW quasiparticles. Phys. Rev. B 2009, 79, 045109. [Google Scholar] [CrossRef]
- Bhandari, C.; van Schilfgaarde, M.; Kotani, T.; Lambrecht, W.R.L. All-electron quasiparticle self-consistent GW band structures for SrTiO3 including lattice polarization corrections in different phases. Phys. Rev. Mater. 2018, 2, 013807. [Google Scholar] [CrossRef]
- Homepage of the Theoretical Modeling Team at ISSP. Available online: https://teor.cfi.lu.lv/ (accessed on 2 July 2024).
- Furness, J.W.; Kaplan, A.D.; Ning, J.; Perdew, J.P.; Sun, J. Accurate and numerically efficient r2SCAN meta-generalized gradient approximation. J. Phys. Chem. Lett. 2020, 11, 8208–8215. [Google Scholar] [CrossRef] [PubMed]
- Bursch, M.; Neugebauer, H.; Ehlert, S.; Grimme, S. Dispersion corrected r2SCAN based global hybrid functionals: r2SCANh, r2SCAN0, and r2SCAN50. J. Chem. Phys. 2022, 156, 134105. [Google Scholar] [CrossRef] [PubMed]
- CRYSTAL Homepage. Available online: https://www.crystal.unito.it (accessed on 2 July 2024).
- Basis Set Exchange Library. Available online: https://www.basissetexchange.org (accessed on 2 July 2024).
- Peintinger, M.F.; Oliveira, D.V.; Bredow, T. Consistent Gaussian basis sets of triple-zeta valence with polarization quality for solid-state calculations. J. Comput. Chem. 2013, 34, 451–459. [Google Scholar] [CrossRef] [PubMed]
- Laun, J.; Vilela Oliveira, D.; Bredow, T. Consistent Gaussian basis sets of double- and triple-zeta valence with polarization quality of the fifth period for solid-state calculations. J. Comput. Chem. 2018, 39, 1285–1290. [Google Scholar] [CrossRef] [PubMed]
- Vilela Oliveira, D.; Laun, J.; Peintinger, M.F.; Bredow, T. BSSE-correction scheme for consistent Gaussian basis sets of double- and triple-zeta valence with polarization quality for solid-state calculations. J. Comput. Chem. 2019, 40, 2364–2376. [Google Scholar] [CrossRef] [PubMed]
- Laun, J.; Bredow, T. BSSE-corrected consistent Gaussian basis sets of triple-zeta valence with polarization quality of the fifth period for solid-state calculations. J. Comput. Chem. 2022, 43, 839–846. [Google Scholar] [CrossRef] [PubMed]
- Snarskis, G.; Pilipavičius, J.; Gryaznov, D.; Mikoliūnaitė, L.; Vilčiauskas, L. Peculiarities of Phase Formation in Mn-Based Na SuperIonic Conductor (NaSICon) Systems: The Case of Na1+2xMnxTi2−x(PO4)3 (0.0 ≤ x ≤ 1.5). Chem. Mater. 2021, 33, 8394–8403. [Google Scholar] [CrossRef] [PubMed]
- Gryaznov, D.; Blokhin, E.; Sorokine, A.; Kotomin, E.A.; Evarestov, R.A.; Bussmann-Holder, A.; Maier, J. A comparative Ab Initio thermodynamic study of oxygen vacancies in ZnO and SrTiO3: Emphasis on phonon contribution. J. Phys. Chem. C 2013, 117, 13776–13784. [Google Scholar] [CrossRef]
- Evarestov, R.A.; Panin, A.I.; Bandura, A.V.; Losev, M.V. Electronic structure of crystalline uranium nitrides UN, U2N3 and UN2: LCAO calculations with the basis set optimization. J. Phys. Conf. Ser. 2008, 117, 012015. [Google Scholar] [CrossRef]
- Evarestov, R.A.; Losev, M.V. All-electron LCAO calculations of the LiF crystal phonon spectrum: Influence of the basis set, the exchange-correlation functional, and the supercell size. J. Comput. Chem. 2009, 30, 2645–2655. [Google Scholar] [CrossRef] [PubMed]
- Ma, C.G.; Brik, M. Hybrid density-functional calculations of structural, elastic and electronic properties for a series of cubic perovskites CsMF3 (M = Ca, Cd, Hg, and Pb). Comput. Mater. Sci. 2012, 58, 101–112. [Google Scholar] [CrossRef]
- Daga, L.E.; Civalleri, B.; Maschio, L. Gaussian basis sets for crystalline solids: All-purpose basis set libraries vs. system-specific optimizations. J. Chem. Theory Comput. 2020, 16, 2192–2201. [Google Scholar] [CrossRef] [PubMed]
- Zvejnieks, G.; Mastrikov, Y.; Gryaznov, D. Jahn–Teller distortion in Sr2FeO4: Group-theoretical analysis and hybrid DFT calculations. Sci. Rep. 2023, 13, 16446. [Google Scholar] [CrossRef] [PubMed]
- Cirulis, J.; Antuzevics, A.; Fedotovs, A.; Rogulis, U.; Zvejnieks, G. Local structure of an oxygen impurity and fluorine vacancy complex in LiYF4. Materialia 2023, 30, 101848. [Google Scholar] [CrossRef]
- Gryaznov, D.; Evarestov, R.A.; Maier, J. Hybrid density-functional calculations of phonons in LaCoO3. Phys. Rev. B 2010, 82, 224301. [Google Scholar] [CrossRef]
- Evarestov, R.A. Hybrid density functional theory LCAO calculations on phonons in Ba(Ti,Zr,Hf)O3. Phys. Rev. B 2011, 83, 014105. [Google Scholar] [CrossRef]
- Dovesi, R.; Saunders, V.R.; Roetti, C.; Orlando, R.; Zicovich-Wilson, C.M.; Pascale, F.; Civalleri, B.; Doll, K.; Harrison, N.M.; Bush, I.J.; et al. CRYSTAL23 User’s Manual; University of Torino: Torino, Italy, 2023. [Google Scholar]
- Zhou, Y.; Gull, E.; Zgid, D. Material-specific optimization of Gaussian basis sets against plane wave data. J. Chem. Theory Comput. 2021, 17, 5611–5622. [Google Scholar] [CrossRef] [PubMed]
- Lee, J.; Feng, X.; Cunha, L.A.; Gonthier, J.F.; Epifanovsky, E.; Head-Gordon, M. Approaching the basis set limit in Gaussian-orbital-based periodic calculations with transferability: Performance of pure density functionals for simple semiconductors. J. Chem. Phys. 2021, 155, 164102. [Google Scholar] [CrossRef] [PubMed]
- Erba, A.; Desmarais, J.K.; Casassa, S.; Civalleri, B.; Donà, L.; Bush, I.J.; Searle, B.; Maschio, L.; Edith-Daga, L.; Cossard, A.; et al. CRYSTAL23: A program for computational solid state physics and chemistry. J. Chem. Theory Comput. 2023, 19, 6891–6932. [Google Scholar] [CrossRef] [PubMed]
- He, J.; Franchini, C. Screened hybrid functional applied to 3d0→3d8 transition-metal perovskites LaMO3(M = Sc–Cu): Influence of the exchange mixing parameter on the structural, electronic, and magnetic properties. Phys. Rev. B 2012, 86, 235117, Erratum in Phys. Rev. B 2014, 90, 039907. [Google Scholar] [CrossRef]
- Franchini, C. Hybrid functionals applied to perovskites. J. Phys. Condens. Matter 2014, 26, 253202. [Google Scholar] [CrossRef] [PubMed]
- Sun, J.; Remsing, C.R. Accurate first-principles structures and energies of diversely bonded systems from an efficient density functional. Nat. Chem. 2016, 8, 831–836. [Google Scholar] [CrossRef] [PubMed]
- Becke, A.D. Density-functional thermochemistry. III. The role of exact exchange. J. Chem. Phys. 1993, 98, 5648–5652. [Google Scholar] [CrossRef]
- Becke, A.D. Perspective: Fifty years of density-functional theory in chemical physics. J. Chem. Phys. 2014, 140, 18A301. [Google Scholar] [CrossRef] [PubMed]
- Janesko, B.G.; Henderson, T.M.; Scuseria, G.E. Screened hybrid density functionals for solid-state chemistry and physics. Phys. Chem. Chem. Phys. 2009, 11, 443–454. [Google Scholar] [CrossRef] [PubMed]
- Heyd, J.; Scuseria, G.E. Efficient hybrid density functional calculations in solids: Assessment of the Heyd-Scuseria-Ernzerhof screened Coulomb hybrid functional. J. Chem. Phys. 2004, 121, 1187–1192. [Google Scholar] [CrossRef]
- Mardirossian, N.; Head-Gordon, M. Thirty years of density functional theory in computational chemistry: An overview and extensive assessment of 200 density functionals. Mol. Phys. 2017, 115, 2315–2372. [Google Scholar] [CrossRef]
- Pascale, F.; Gueddida, S.; Doll, K.; Dovesi, R. Band gap, Jahn-Teller deformation, octahedra rotation in transition metal perovskites LaTiO3. J. Comput. Chem. 2024, 45, 683–694. [Google Scholar] [CrossRef] [PubMed]
- Pascale, F.; Mustapha, S.; D’Arco, P.; Dovesi, R. The d orbital multi spattern occupancy in a partially filled d shell: The KFeF3 perovskite as a test case. Materials 2023, 16, 1532. [Google Scholar] [CrossRef] [PubMed]
- Perdew, J.P.; Schmidt, K. Jacob’s ladder of density functional approximations for the exchange-correlation energy. AIP Conf. Proc. 2001, 577, 1–20. [Google Scholar] [CrossRef]
- Sun, J.; Ruzsinszky, A.; Perdew, J.P. Strongly constrained and appropriately normed semilocal density functional. Phys. Rev. Lett. 2015, 115, 036402. [Google Scholar] [CrossRef] [PubMed]
- Zvejnieks, G.; Rusevich, L.L.; Gryaznov, D.; Kotomin, E.A. Interface-induced enhancement of piezoelectricity in the (SrTiO3)m/(BaTiO3)M−m superlattice for energy harvesting applications. Phys. Chem. Chem. Phys. 2019, 21, 23541–23551. [Google Scholar] [CrossRef] [PubMed]
- Monkhorst, H.J.; Pack, J.D. Special points for Brillouin-zone integrations. Phys. Rev. B 1976, 13, 5188–5192. [Google Scholar] [CrossRef]
- Hurley, M.M.; Pacios, L.F.; Christiansen, P.A.; Ross, R.B.; Ermler, W.C. Ab initio relativistic effective potentials with spin-orbit operators. II. K through Kr. J. Chem. Phys. 1986, 84, 6840–6853. [Google Scholar] [CrossRef]
- LaJohn, L.A.; Christiansen, P.A.; Ross, R.B.; Atashroo, T.; Ermler, W.C. Ab initio relativistic effective potentials with spin–orbit operators. III. Rb through Xe. J. Chem. Phys. 1987, 87, 2812–2824. [Google Scholar] [CrossRef]
- Hay, P.J.; Wadt, W.R. Ab initio effective core potentials for molecular calculations. Potentials for K to Au including the outermost core orbitals. J. Chem. Phys. 1985, 82, 299–310. [Google Scholar] [CrossRef]
- Heifets, E.; Kotomin, E.A.; Bagaturyants, A.A.; Maier, J. Ab Initio Study of BiFeO3: Thermodynamic Stability Conditions. J. Phys. Chem. Lett. 2015, 6, 2847–2851. [Google Scholar] [CrossRef] [PubMed]
- Heifets, E.; Kotomin, E.A.; Bagaturyants, A.A.; Maier, J. Thermodynamic stability of stoichiometric LaFeO3 and BiFeO3: A hybrid DFT study. Phys. Chem. Chem. Phys. 2017, 19, 3738–3755. [Google Scholar] [CrossRef]
- Heifets, E.; Kotomin, E.A.; Bagaturyants, A.A.; Maier, J. Thermodynamic stability of non-stoichiometric SrFeO3−δ: A hybrid DFT study. Phys. Chem. Chem. Phys. 2019, 21, 3918–3931. [Google Scholar] [CrossRef]
- ECP Database. Available online: http://www.tc.uni-koeln.de/PP/clickpse.en.html (accessed on 2 July 2024).
- Inui, T.; Tanabe, Y.; Onodera, Y. Group Theory and Its Applications in Physics; Springer: Berlin/Heidelberg, Germany, 1990. [Google Scholar]
- Burns, G. Introduction to Group Theory with Applications; Academic Press: New York, NY, USA, 1977. [Google Scholar] [CrossRef]
- If ions of STO in the model are in equivalent Wyckoff positions Sr: 1a (0, 0, 0), Ti: 1b (1/2, 1/2, 1/2) and O: 3c (1/2, 1/2, 0), the cubic-tetragonal phase transition occurs via (T2u, R25) mode. In the tetragonal phase, it splits into two Raman active modes, →A1g+Eg [72].
- Aroyo, M.I.; Perez-Mato, J.M.; Orobengoa, D.; Tasci, E.; de la Flor, G.; Kirov, A. Crystallography online: Bilbao crystallographic server. Bulg. Chem. Commun. 2011, 43, 183–197. [Google Scholar]
- Fleury, P.A.; Scott, J.F.; Worlock, J.M. Soft phonon modes and the 110°K phase transition in SrTiO3. Phys. Rev. Lett. 1968, 21, 16–19. [Google Scholar] [CrossRef]
- Petzelt, J.; Ostapchuk, T.; Gregora, I.; Rychetský, I.; Hoffmann-Eifert, S.; Pronin, A.V.; Yuzyuk, Y.; Gorshunov, B.P.; Kamba, S.; Bovtun, V.; et al. Dielectric, infrared, and Raman response of undoped SrTiO3 ceramics: Evidence of polar grain boundaries. Phys. Rev. B 2001, 64, 184111. [Google Scholar] [CrossRef]
- Yamanaka, A.; Kataoka, M.; Inaba, Y.; Inoue, K.; Hehlen, B.; Courtens, E. Evidence for competing orderings in strontium titanate from hyper-Raman scattering spectroscopy. Europhys. Lett. 2000, 50, 688–694. [Google Scholar] [CrossRef]
- Hirota, K.; Hill, J.P.; Shapiro, S.M.; Shirane, G.; Fujii, Y. Neutron- and x-ray-scattering study of the two length scales in the critical fluctuations of SrTiO3. Phys. Rev. B 1995, 52, 13195–13205. [Google Scholar] [CrossRef]
- Fischer, G.J.; Wang, Z.; Karato, S.i. Elasticity of CaTiO3, SrTiO3 and BaTiO3 perovskites up to 3.0 Gpa: The effect of crystallographic structure. Phys. Chem. Miner. 1993, 20, 97–103. [Google Scholar] [CrossRef]
- van Benthem, K.; Elsässer, C.; French, R.H. Bulk electronic structure of SrTiO3: Experiment and theory. J. Appl. Phys. 2001, 90, 6156–6164. [Google Scholar] [CrossRef]
- Kok, D.J.; Irmscher, K.; Naumann, M.; Guguschev, C.; Galazka, Z.; Uecker, R. Temperature-dependent optical absorption of SrTiO3. Phys. Status Solidi A 2015, 212, 1880–1887. [Google Scholar] [CrossRef]
- Tyunina, M.; Nepomniashchaia, N.; Vetokhina, V.; Dejneka, A. Optics of epitaxial strained strontium titanate films. Appl. Phys. Lett. 2020, 117, 082901. [Google Scholar] [CrossRef]
- Unoki, H.; Sakudo, T. Electron Spin Resonance of Fe3+ in SrTiO3 with Special Reference to the 110°K Phase Transition. J. Phys. Soc. Jap. 1967, 23, 546–552. [Google Scholar] [CrossRef]



| TOLLINTEG Set | SH08 | SH10 | SH12 | SH14 |
|---|---|---|---|---|
| T12 (12:12:12:12:24) | 1 | 0 | ||
| T14 (14:14:14:14:28) | ||||
| T16 (16:16:16:16:32) | ||||
| T18 (18:18:18:18:36) |
| Parameters | B3LYP (20%HF) | PBE0 (25%HF) | HSE06 (25%HF) | |||||||||
|---|---|---|---|---|---|---|---|---|---|---|---|---|
| BS1 | BS2 | BS3 | BS4 | BS1 | BS2 | BS3 | BS4 | BS1 | BS2 | BS3 | BS4 | |
| (SG 221) | ||||||||||||
| , Å | ||||||||||||
| , eV | ||||||||||||
| , eV | ||||||||||||
| (SG 140) | ||||||||||||
| , Å | ||||||||||||
| , ° | ||||||||||||
| , eV | ||||||||||||
| , meV | ||||||||||||
Disclaimer/Publisher’s Note: The statements, opinions and data contained in all publications are solely those of the individual author(s) and contributor(s) and not of MDPI and/or the editor(s). MDPI and/or the editor(s) disclaim responsibility for any injury to people or property resulting from any ideas, methods, instructions or products referred to in the content. |
© 2024 by the authors. Licensee MDPI, Basel, Switzerland. This article is an open access article distributed under the terms and conditions of the Creative Commons Attribution (CC BY) license (https://creativecommons.org/licenses/by/4.0/).
Share and Cite
Zvejnieks, G.; Rusevich, L.L.; Heifets, E.; Kotomin, E.; Gryaznov, D. A Visual Representation for Accurate Local Basis Set Construction and Optimization: A Case Study of SrTiO3 with Hybrid DFT Functionals. Crystals 2024, 14, 671. https://doi.org/10.3390/cryst14070671
Zvejnieks G, Rusevich LL, Heifets E, Kotomin E, Gryaznov D. A Visual Representation for Accurate Local Basis Set Construction and Optimization: A Case Study of SrTiO3 with Hybrid DFT Functionals. Crystals. 2024; 14(7):671. https://doi.org/10.3390/cryst14070671
Chicago/Turabian StyleZvejnieks, Guntars, Leonid L. Rusevich, Eugene Heifets, Eugene Kotomin, and Denis Gryaznov. 2024. "A Visual Representation for Accurate Local Basis Set Construction and Optimization: A Case Study of SrTiO3 with Hybrid DFT Functionals" Crystals 14, no. 7: 671. https://doi.org/10.3390/cryst14070671
APA StyleZvejnieks, G., Rusevich, L. L., Heifets, E., Kotomin, E., & Gryaznov, D. (2024). A Visual Representation for Accurate Local Basis Set Construction and Optimization: A Case Study of SrTiO3 with Hybrid DFT Functionals. Crystals, 14(7), 671. https://doi.org/10.3390/cryst14070671

