Density Functional Theory Calculations for Interpretation of Infra-Red Spectra of Liquid Crystalline Chiral Compound
Abstract
1. Introduction
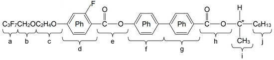
2. Materials and Methods
3. Results and Discussion
3.1. Band Assignment
3.2. Temperature Evolution of Vibrational Spectra and Structure
4. Conclusions
Author Contributions
Funding
Data Availability Statement
Acknowledgments
Conflicts of Interest
References
- Drzewicz, A.; Juszyńska-Gałązka, E.; Zając, W.; Piwowarczyk, M.; Drzewiński, W. Non-isothermal and isothermal cold crystallization of glass-forming chiral smectic liquid crystal (S)-4′-(1-methyloctyloxycarbonyl) biphenyl-4-yl 4-[7-(2,2,3,3,4,4,4-heptafluorobutoxy) heptyl-1-oxy]-benzoate. J. Mol. Liq. 2020, 319, 114153. [Google Scholar] [CrossRef]
- Singh, S.; Singh, H.; Srivastava, A.; Tandon, P.; Deb, R.; Debnath, S.; Rao, N.V.S.; Ayala, A.P. Study of phase transitions in a bent-core liquid crystal probed by infrared spectroscopy. Vib. Spectrosc. 2016, 86, 24–34. [Google Scholar] [CrossRef]
- Osiecka, N.; Galewski, Z.; Juszyńska-Gałązka, E.; Massalska-Arodź, M. Studies of reorganization of the molecules during smectic A-smectic C phase transition using infrared spectroscopy and generalized two-dimensional correlation analysis. J. Mol. Liq. 2016, 224, 677–683. [Google Scholar] [CrossRef]
- Drużbicki, K.; Mikuli, E.; Ossowska-Chruściel, M.D. Experimental (FT-IR, FT-RS) and theoretical (DFT) studies of vibrational dynamics and molecular structure of 4-n-pentylphenyl-4′-n-octyloxythiobenzoate (8OS5). Vib. Spectrosc. 2010, 52, 54–62. [Google Scholar] [CrossRef]
- Drużbicki, K.; Kocot, A.; Mikuli, E.; Ossowska-Chruściel, M.D.; Chruściel, J. Temperature-Dependent Infrared Spectroscopy Studies of a Novel Antiferroelectric Liquid-Crystalline Thiobenzoate. J. Phys. Chem. B 2012, 116, 11332–11343. [Google Scholar] [CrossRef] [PubMed]
- Juszyńska-Gałązka, E.; Zając, W. Mesomorphic behaviour and vibrational dynamics of nCFPB liquid crystalline homologues. Phase Trans. 2019, 92, 1077–1088. [Google Scholar] [CrossRef]
- Kocot, A.; Loska, B.; Arakawa, Y.; Mehl, G.H.; Merkel, K. Study of the Experimental and Simulated Vibrational Spectra Together with Conformational Analysis of Thioester Cyanobiphenyl-Based Liquid Crystals. Int. J. Mol. Sci. 2022, 23, 8005. [Google Scholar] [CrossRef] [PubMed]
- Deptuch, A.; Marzec, M.; Jaworska-Gołąb, T.; Dziurka, M.; Hooper, J.; Srebro-Hooper, M.; Fryń, P.; Fitas, J.; Urbańska, M.; Tykarska, M. Influence of carbon chain length on physical properties of 3FmHPhF homologues. Liq. Cryst. 2019, 46, 2201–2212. [Google Scholar] [CrossRef]
- Drzewicz, A.; Bombalska, A.; Tykarska, M. Impact of molecular structure of smectogenic chiral esters (3FmX1X2r) on vibrational dynamics as seen by IR and Raman spectroscopy. Liq. Cryst. 2019, 46, 754–771. [Google Scholar] [CrossRef]
- Żurowska, M.; Dąbrowski, R.; Dziaduszek, J.; Garbat, K.; Filipowicz, M.; Tykarska, M.; Rejmer, W.; Czupryński, K.; Spadło, A.; Bennis, N.; et al. Influence of alkoxy chain length and fluorosubstitution on mesogenic and spectral properties of high tilted antiferroelectric esters. J. Mater. Chem. 2011, 21, 2144–2153. [Google Scholar] [CrossRef]
- Dąbrowski, R.; Gąsowska, J.; Otón, J.; Piecek, W.; Przedmojski, J.; Tykarska, M. High tilted antiferroelectric liquid crystalline materials. Displays 2004, 25, 9–19. [Google Scholar] [CrossRef]
- Rastogi, A.; Agrahari, K.; Srivastava, A.; Manohar, R. Effect of graphene oxide dispersion in antiferroelectric liquid crystal mixture in the verge of SmC* to SmCA* phase transition. Chin. J. Phys. 2020, 67, 91–106. [Google Scholar] [CrossRef]
- Agrahari, K.; Nautiyal, V.K.; Vimal, T.; Pandey, S.; Kumar, S.; Manohar, R. Modification in different physical parameters of orthoconic antiferroelectric liquid crystal mixture via the dispersion of hexanethiol capped silver nanoparticles. J. Mol. Liq. 2021, 332, 115840. [Google Scholar] [CrossRef]
- Tykarska, M.; Kurp, K.; Mironov, S.; Rychłowicz, N.; Karcz, J.; Dziaduszek, J.; Kula, P.; Stulov, S.; Bubnov, A. Tuning of self-organizing and electro-optical behaviour for orthoconic ferroelectric liquid crystal by non-chiral dopants. J. Mol. Liq. 2024, 409, 125426. [Google Scholar] [CrossRef]
- Demus, D.; Goodby, J.; Gray, G.W.; Spiess, H.-W.; Vill, V. (Eds.) Handbook of Liquid Crystals; WILEY-VCH Verlag GmbH: Weinheim, Germany, 1998. [Google Scholar]
- Tomczyk, W.; Marzec, M.; Juszyńska-Gałązka, E.; Węgłowska, D. Mesomorphic and physicochemical properties of liquid crystal mixture composed of chiral molecules with perfluorinated terminal chains. J. Mol. Struc. 2017, 1130, 503–510. [Google Scholar] [CrossRef]
- Novotná, V.; Hamplová, V.; Podoliak, N.; Kašpar, M.; Glogarová, M.; Pociecha, D.; Górecka, E. Chiral liquid crystalline compounds with a re-entrant SmA* phase. J. Mater. Chem. 2011, 21, 14807–14814. [Google Scholar] [CrossRef]
- Gleeson, H.F.; Wang, Y.; Watson, S.; Sahagun-Sanchez, D.; Goodby, J.W.; Hird, M.; Petrenko, A.; Osipov, M.A. On the temperature dependence of the tilt and spontaneous polarisation in high tilt antiferroelectric liquid crystals. J. Mater. Chem. 2004, 14, 1480–1485. [Google Scholar] [CrossRef]
- Żurowska, M.; Dąbrowski, R.; Dziaduszek, J.; Czupryński, K.; Skrzypek, K.; Filipowicz, M. Synthesis and Mesomorphic Properties of Chiral Esters Comprising Partially Fluorinated Alkoxyalkoxy Terminal Chains and a 1-methylheptyl Chiral Moiety. Mol. Cryst. Liq. Cryst. 2008, 495, 145/[497]–157/[509]. [Google Scholar] [CrossRef]
- Frisch, M.J.; Trucks, G.W.; Schlegel, H.B.; Scuseria, G.E.; Robb, M.A.; Cheeseman, J.R.; Scalmani, G.; Barone, V.; Petersson, G.A.; Nakatsuji, H.; et al. (Eds.) Gaussian 09, Revision A.02; Gaussian, Inc.: Wallingford, CT, USA, 2016. [Google Scholar]
- Weigend, F.; Ahlrichs, R. Balanced basis sets of split valence, triple zeta valence and quadruple zeta valence quality for H to Rn: Design and assessment of accuracy. Phys. Chem. Chem. Phys. 2005, 7, 3297–3305. [Google Scholar] [CrossRef]
- Becke, A.D. Density-functional exchange-energy approximation with correct asymptotic behaviour. Phys. Rev. A 1988, 38, 3098–3100. [Google Scholar] [CrossRef]
- Lee, C.; Yang, W.; Parr, R.G. Development of the Colle-Salvetti correlation-energy formula into a functional of the electron density. Phys. Rev. B 1988, 37, 785–789. [Google Scholar] [CrossRef] [PubMed]
- Grimme, S.; Antony, J.; Ehrlich, S.; Kries, H. A consistent and accurate ab initio parametrization of density functional dispersion correction (DFT-D) for the 94 elements H-Pu. J. Chem. Phys. 2010, 132, 154104. [Google Scholar] [CrossRef] [PubMed]
- Grimme, S.; Ehrlich, S.; Goerigk, L. Effect of the damping function in dispersion corrected density functional theory. J. Comput. Chem. 2011, 32, 1456–1465. [Google Scholar] [CrossRef] [PubMed]
- Hanwell, M.D.; Curtis, D.E.; Lonie, D.C.; Vandermeersch, T.; Zurek, E.; Hutchison, G.R. Avogadro: An advanced semantic chemical editor, visualization, and analysis platform. J. Cheminf. 2012, 4, 17. [Google Scholar] [CrossRef] [PubMed]
- Rüger, R.; Yakovlev, A.; Philipsen, P.; Borini, S.; Melix, P.; Oliveira, A.F.; Franchini, M.; van Vuren, T.; Soini, T.; de Reus, M.; et al. AMS DFTB 2024.1; SCM, Theoretical Chemistry, Vrije Universiteit: Amsterdam, The Netherlands, 2024; Available online: https://www.scm.com (accessed on 17 June 2024).
- Grimme, S.; Bannwarth, C.; Shushkov, P. A Robust and Accurate Tight-Binding Quantum Chemical Method for Structures, Vibrational Frequencies, and Noncovalent Interactions of Large Molecular Systems Parametrized for All spd-Block Elements (Z = 1–86). J. Chem. Theor. Comp. 2017, 13, 1989–2009. [Google Scholar] [CrossRef] [PubMed]
- Wróbel, P.; Kubisiak, P.; Eilmes, A. MeTFSI (Me = Li, Na) Solvation in Ethylene Carbonate and Fluorinated Ethylene Carbonate: A Molecular Dynamics Study. J. Phys. Chem. B 2021, 125, 1248–1258. [Google Scholar] [CrossRef] [PubMed]
- Wróbel, P.; Eilmes, A. Effects of Me–Solvent Interactions on the Structure and Infrared Spectra of MeTFSI (Me = Li, Na) Solutions in Carbonate Solvents—A Test of the GFN2-xTB Approach in Molecular Dynamics Simulations. Molecules 2023, 28, 6736. [Google Scholar] [CrossRef] [PubMed]
- Roisnel, T.; Rodriguez-Carvajal, J. WinPLOTR: A Windows tool for powder diffraction patterns analysis. Mater. Sci. Forum 2000, 378–381, 118–123. [Google Scholar] [CrossRef]
- Zapata Trujillo, J.C.; McKemmish, L.K. Model Chemistry Recommendations for Scaled Harmonic Frequency Calculations: A Benchmark Study. J. Phys. Chem. A 2023, 127, 1715–1735. [Google Scholar] [CrossRef] [PubMed]
- Origin Help. 15.4.1. Additional Information of R-Square. Available online: https://www.originlab.com/doc/en/Origin-Help/Details_of_R_square (accessed on 17 June 2024).
- Novotný, J.; Bazzi, S.; Marek, R.; Kozelka, J. Lone-pair-π interactions: Analysis of the physical origin and biological implications. Phys. Chem. Chem. Phys. 2016, 18, 19472–19481. [Google Scholar] [CrossRef]
- Hirst, L.S.; Watson, S.J.; Gleeson, H.F.; Cluzeau, P.; Barois, P.; Pindak, R.; Pitney, J.; Cady, A.; Johnson, P.M.; Huang, C.C.; et al. Interlayer structures of the chiral smectic liquid crystal phases revealed by resonant X-ray scattering. Phys. Rev. E 2002, 65, 041705. [Google Scholar] [CrossRef] [PubMed]
- Hong, S.H.; Verduzco, R.; Williams, J.C.; Twieg, R.J.; DiMasi, E.; Pindak, R.; Jákli, A.; Gleeson, J.T.; Sprunt, S. Short-range smectic order in bent-core nematic liquid crystals. Soft Matter 2010, 6, 4819–4827. [Google Scholar] [CrossRef]
- Tonge, P.J.; Fausto, R.; Carey, P.R. FTIR studies of hydrogen bonding between α,β-unsaturated esters and alcohols. J. Mol. Struct. 1996, 379, 135–142. [Google Scholar] [CrossRef][Green Version]
- Žagar, E.; Grdadolnik, J. An infrared spectroscopic study of H-bond network in hyperbranched polyester polyol. J. Mol. Struct. 2003, 658, 143–152. [Google Scholar] [CrossRef]
- Liu, Y.; Zhao, J.; Peng, Y.; Luo, J.; Cao, L.; Liu, X. Comparative Study on the Properties of Epoxy Derived from Aromatic and Heteroaromatic Compounds: The Role of Hydrogen Bonding. Ind. Eng. Chem. Res. 2020, 59, 1914–1924. [Google Scholar] [CrossRef]
- Ossowska-Chruściel, M.D.; Karczmarzyk, Z.; Chruściel, J. The Polymorphism Of 4-n-Pentylphenyl-4′-n-Butyloxythio-Benzoate, (4OS5) In The Crystalline State. Mol. Cryst. Liq. Cryst. 2002, 382, 37–52. [Google Scholar] [CrossRef]
- Chruściel, J.; Pniewska, B.; Ossowska-Chruściel, M.D. The Crystal and Molecular Structure of 4-Pentylphenyl-4′-Pentioxythiobenzoate (5S5). Mol. Cryst. Liq. Cryst. 1995, 258, 325–331. [Google Scholar] [CrossRef]









| exp | calc, syn | calc, anti | Description |
|---|---|---|---|
| 511 | 497.3 | 496.2 | δCCC(j) |
| 542 | 539.7 | 540.8 | δCF2(a), δCOC(b,c), βasymPh(d) |
| 554 | 552.5 | 554.7 | γPh(f,g) |
| 622 | 607.9 | βasymPh(d,f,g) | |
| 630 | 610.4 | βasymPh(d,f,g) | |
| 643 | 627.5 | 628.2 | γPh(d)syn, βasymPh(d)anti, βasymPh(f,g) |
| 653 | 640.7 | 641.1 | δCF2(a), δCOC(b,c), βasymPh(f,g) |
| 664 | 651.1 | βasymPh(d,f,g) | |
| 681 | 654.2 | βasymPh(d,f,g) | |
| 702 | 664.1 | 662.2 | γPh(d) |
| 725 | 693.2 | 693.3 | γPh(f,g) |
| 736 | 711.0 | 711.1 | ωCF2(a), δCCO(a,b), βasym(d) |
| 760 | 770.5 | 772.3 | γPh(f,g) |
| 774 | 780.5 | 781.3 | ωCF2(a), νCC(a,b), δCCO(a,b) |
| 816 | 800.5 | γPh(d,f,g) | |
| 835 | 839.5 | τCH2(c), γPh(d) | |
| 854 | 841.5 | 841.6 | γPh(f,g), τC*HCH3(i), τCH2(j) |
| 880 | 846.1 | 849.5 | γPh(f,g)syn, γPh(d)anti |
| 914 | 890.3 | 890.1 | ωCF2(a), νsymCCO(a,b), ωCH2(b) |
| 926 | 903.5 | 902.9 | νasymOC*C(h,i,j) |
| 962 | 939.5 | 939.6 | τCH2(b) |
| 987 | 992.0 | 991.6 | βasym(f,g) |
| 1008 | 1008.8 | 1013.5 | νsymCOC(b,c), νsymCCO(c), βasymPh(d,g), βsymPh(f)syn, βasymPh(f)anti |
| 1020 | 1024.3 | 1028.8 | νsymCOC(b,c), νasymCCO(c), βasymPh(d,f,g) |
| 1052 | 1046.8 | 1046.8 | ωC*HCH3(i), ωCH2(j) |
| 1103 | 1087.8 | 1087.8 | βasymPh(g), νasymCOC*(h,i), ωCH2(j) |
| 1116 | 1106.5 | 1117.1 | βasymPh(d) |
| 1146 | 1123.4 | 1123.5 | νasymCF2(a), ρCH2(c) |
| 1164 | 1141.7 | βsymPh(f) | |
| 1173 | 1147.4 | 1147.7 | δCCC(a,b), νasymCOC(b,c), βsymPh(f) |
| 1185 | 1157.2 | 1157.1 | βsymPh(g), ρCH2(j) |
| 1208 | 1176.4 | νasymCOC(c,d), βasymPh(d) | |
| 1228 | 1196.2 1197.3 | 1196.1 1200.2 | νasymCCC(a,b), τCH2(b,c), βasymPh(d,f)syn βasymPh(d,f), νasymCCO(d,e), νasymCOC(e,f) |
| 1269 | 1222.8 | βasymPh(d,f), νasymCCO(d,e), νasymCOC(e,f) | |
| 1285 | 1247.6 | βasym(d,f,g), νasymCCO(d,e), νasymCCO(g,h), τCH2(j) | |
| 1292 | 1249.9 | βasym(g), νasymCCO(g,h), τCH2(j) | |
| 1311 | 1281.5 | 1291.3 | ωCH2(b,c), βasymPh(d,f,g) |
| 1347 | 1334.9 | 1335.2 | ωCH2(j) |
| 1356 | 1349.6 | ωCH2(b,c), βasymPh(d) | |
| 1389 | 1365.6 | ωCH2(b,c), βasymPh(d) | |
| 1400 | 1398.0 | 1398.3 | βasymPh(f,g) |
| 1439 | 1427.5 | δCH2(b), ωCH2(c), βasymPh(d) | |
| 1461 | 1437.7 | δCH2(b,c), βasymPh(d) | |
| 1468 | 1456.9 | 1458.3 | δCH2(b,c), βasymPh(d) |
| 1495 | 1478.9 | 1475.8 | βasymPh(f,g) |
| 1507 | 1490.7 | 1487.6 | δCH2(c), βasymPh(d) |
| 1523 | 1504.4 | 1502.5 | βasymPh(f,g) |
| 1581 | 1562.2 | 1555.9 | βasymPh(d) |
| 1611 | 1596.4 | 1596.6 | βsymPh(f,g) |
| 1625 | 1613.7 | 1615.6 | βsymPh(d,f) |
| 1700 | 1719.1 | 1718.5 | νC=O(h)syn, anti-phase νC=O(e,h)anti |
| 1722 | 1719.9 | in-phase νC=O(e,h) | |
| 1737 | 1756.5 | νC=O(e) | |
| 2861 | 2937.6 2938.0 | 2938.0 2938.1 | νsymCH2(c) νsymCH2(j) |
| 2878 | 2945.2 2948.1 | 2945.9 2948.2 | νsymCH3(j) νC*H(i), νsymCH2(j), νasymCH2(j) |
| 2936 | 3001.7 | 3001.9 | νsymCH2(i), νC*H(i), νasymCH2(j) |
| 2960 | 3016.8 | 3016.8 | νasymCH2(j) |
| 2976 | 3024.7 | 3024.7 | νasymCH3(j) |
| exp | calc | Description |
|---|---|---|
| 511 | 505.8 | γPh(f,g) |
| 542 | 541.8 | βasymPh(d) |
| 554 | 554.7 | βasymPh(d) |
| 622 | 588.0 | βasymPh(d) |
| 630 | 609.5 | γPh(d,f) |
| 643 | 621.0 | γPh(d), βasymPh(f,g) |
| 653 | 640.0 | βasymPh(f,g) |
| 664 | 649.5 | γPh(d,f), βasymPh(g) |
| 681 | 657.0 660.4 | βasymPh(d,f,g) γPh(d) |
| 702 | 668.5 | γPh(d) |
| 725 | 693.6 695.4 | γPh(f,g) γPh(f,g) |
| 736 | 709.8 711.4 | ωCF2(a), δCCO(a,b) ωCF2(a), δCCO(a,b) |
| 760 | 767.9 | γPh(f,g) |
| 774 | 776.5 777.0 | ωCF2(a), νCC(a,b), δCCO(a,b) ωCF2(a), νCC(a,b), δCCO(a,b) |
| 816 | 819.2 | τCH2(c), γPh(d) |
| 835 | 839.2 | τCH2(c), γPh(d) |
| 854 | 852.9 | γPh(f,g) |
| 880 | 854.2 | γPh(f,g) |
| 914 | 887.6 891.0 | ωCF2(a), νsymCCO(a,b), ωCH2(b) ωCF2(a), νsymCCO(a,b), ωCH2(b) |
| 926 | 892.5 903.5 | νasymOC*C(h,i,j) νasymOC*C(h,i,j) |
| 962 | 935.8 | τCH2(b) |
| 987 | 995.5 | βasym(f,g) |
| 1008 | 1002.5 1007.7 | νsymCOC(b,c), νsymCCO(c), βasymPh(d,f) νsymCOC(b,c), νsymCCO(c), βasymPh(d) |
| 1020 | 1029.1 | νsymCOC(b,c), νasymCCO(c), βasymPh(d,f,g) |
| 1052 | 1050.6 | ωC*HCH3(i), ωCH2(j) |
| 1103 | 1090.3 | βasymPh(g), νasymCOC*(h,i) |
| 1116 | 1115.7 | βasymPh(d) |
| 1146 | 1120.7 | νasymCF2(a), νasymCOC(b,c), ρCH2(c) |
| 1164 | 1147.8 | δCCC(a,b), νasymCOC(b,c), βsymPh(f) |
| 1173 | 1154.4 | νasymCOC(c,d), βasymPh(d), βsymPh(f) |
| 1185 | 1163.7 1168.4 | βsymPh(g) νasymCCO(c), νasymCOC(c,d), βasymPh(d), βsymPh(f,g) |
| 1208 | 1188.0 | νasymCF2(a), τCH2(c) |
| 1228 | 1197.6 1198.7 | νasymCCC(a,b), τCH2(b,c) τCH2(c), βasymPh(d,f), νasymCOC(e,f) |
| 1269 | 1215.7 1224.1 | βasymPh(d,f), νasymCCO(d,e) βasymPh(d,f), νasymCCO(d,e) |
| 1285 | 1241.8 1243.7 | νasymCF3(a), νsymCF2(a), νCC(a), τCH2(b,c) βasymPh(d,f,g), νasymCCO(g,h), τC*HCH3(i) |
| 1292 | 1251.5 | τCH2(b,c), βasym(d,f,g), νasymCCO(d,e), νasymCCO(g,h), τC*HCH3(i) |
| 1311 | 1288.2 | ωCH2(b,c), βasymPh(d) |
| 1347 | 1344.2 | βasymPh(f,g), ωCH2(i), ωC*HCH3(j) |
| 1356 | 1350.7 | ωCH2(b,c), βasymPh(d) |
| 1389 | 1365.6 | ωCH2(b,c), βasymPh(d) |
| 1400 | 1398.1 | βasymPh(f,g) |
| 1439 | 1430.6 | δCH2(b), ωCH2(c), βasymPh(d) |
| 1461 | 1437.0 | δCH2(b,c), βasymPh(d) |
| 1468 | 1464.4 | δCH2(b,c), βasymPh(d) |
| 1495 | 1481.3 | βasymPh(f,g) |
| 1507 | 1491.1 | δCH2(c), βasymPh(d) |
| 1523 | 1505.5 1506.8 | βasymPh(f,g) βasymPh(f,g) |
| 1581 | 1565.7 | βasymPh(d) |
| 1611 | 1598.6 | βsymPh(f,g) |
| 1625 | 1618.6 | βasymPh(d) |
| 1700 | 1712.0 | νC=O(h) |
| 1722 | 1713.5 1714.6 | anti-phase νC=O(e,h) in-phase νC=O(e,h) |
| 1737 | 1747.3 | νC=O(e) |
| 2861 | 2919.9 2924.1 | νsymCH2(b,c) νsymCH2(b,c) |
| 2878 | 2946.7 2950.6 2952.3 | νsymCH2(j) νasymCH2(j), νsymCH3(j) νasymCH2(b,c) |
| 2936 | 2988.7 | νasymCH2(j) |
| 2960 | 3006.7 | νasymCH2(b,c) |
| 2976 | 3017.1 | νasymCH2(j) |
| exp | calc | Description |
|---|---|---|
| 511 | 505.6 | γPh(d,f,g) |
| 542 | 535.6 539.4 | δCF2(a), δCOC(b,c), βasymPh(d) βasymPh(d), γPh(f,g) |
| 554 | 556.0 | βasymPh(d), γPh(f,g) |
| 622 | 577.6 | δCOC(c,d), βasymPh(d) |
| 630 | 610.6 | γPh(d,f) |
| 643 | 620.1 | γPh(d), βasymPh(f,g) |
| 653 | 638.2 | γPh(d), βasymPh(f,g) |
| 664 | 656.8 | γPh(d), βasymPh(f,g) |
| 681 | 663.4 | γPh(d) |
| 702 | 668.9 | γPh(d) |
| 725 | 693.9 695.0 | γPh(f,g) γPh(f,g) |
| 736 | 704.5 709.8 | ωCF2(a), δCCO(a,b) ωCF2(a), δCCO(a,b) |
| 760 | 770.0 770.6 | γPh(f,g) γPh(f,g) |
| 774 | 779.8 | ωCF2(a), δCCO(a,b) |
| 816 | 823.9 | γPh(f,g), νsymOC*C(h,i,j), τCH2(j) |
| 835 | 840.5 | γPh(d,f,g) |
| 854 | 845.9 | γPh(f,g) |
| 880 | 866.1 | ωCF2(a), νsymCCO(a,b), τCH2(b,c) |
| 914 | 888.2 | ωCF2(a), νsymCCO(a,b), ωCH2(b) |
| 926 | 894.9 899.9 | νasymOC*C(h,i,j) νasymOC*C(h,i,j) |
| 962 | 936.1 | νasymCF2(a), ρCH2(b) |
| 987 | 992.3 | βasym(f,g) |
| 1008 | 1012.8 | νsymCCO(c), βasymPh(d) |
| 1020 | 1014.4 | νsymCOC(b,c), βasymPh(d,f,g) |
| 1052 | 1045.2 | ωC*HCH3(i), ωCH2(j) |
| 1103 | 1092.8 1096.4 | βasymPh(d) βasymPh(d) |
| 1116 | 1114.1 | βasymPh(d) |
| 1146 | 1122.1 | νasymCF2(a), ρCH2(c) |
| 1164 | 1145.0 | νasymCF3(a), νsymCF2(a), ρCH2(b,c), βasymPh(d), βsymPh(f) |
| 1173 | 1156.7 | βsymPh(f), ρCH2(j) |
| 1185 | 1166.0 1171.4 | βsymPh(g) νasymCF3(a), νsymCF2(a), νasymCCC(a,b), βasymPh(d) |
| 1208 | 1183.2 | νasymCF3(a), δCCC(a), τCH2(b,c) |
| 1228 | 1192.8 1197.7 | νasymCF3(a), νsymCF2(a), νasymCCC(a,b), τCH2(b,c) νasymCF2(a), τCH2(b) |
| 1269 | 1216.5 1224.0 | τCH2(c), βasymPh(d), νasymCCO(d,e), νasymCOC(e,f) βasymPh(d,f), νasymCCO(d,e) |
| 1285 | 1246.6 | βasym(d,f), νasymCCO(d,e), νasymCCO(g,h), τC*HCH3(i), τCH2(j) |
| 1292 | 1250.0 | βasym(d,f), νasymCCO(d,e), νasymCCO(g,h), τC*HCH3(i), τCH2(j) |
| 1311 | 1283.3 | τCH2(b,c,j), βasymPh(d,f,g) |
| 1347 | 1339.0 | νasymCCO(g,h), ωCH2(i), ωC*HCH3(j) |
| 1356 | 1351.0 | ωCH2(c), τCH2(c), βasymPh(d) |
| 1389 | 1369.8 | βasymPh(d) |
| 1400 | 1404.4 | βasymPh(f,g) |
| 1439 | 1432.2 | βasymPh(d), δCH2(i,j) |
| 1461 | 1438.1 | βasymPh(d), δCH2(i,j) |
| 1468 | 1464.4 | δCH2(b,c), βasymPh(d) |
| 1495 | 1479.0 | βasymPh(f,g) |
| 1507 | 1486.3 | δCH2(c), βasymPh(d,f,g) |
| 1523 | 1503.8 | βasymPh(f,g) |
| 1581 | 1560.8 | βasymPh(d) |
| 1611 | 1596.5 1597.1 | βasymPh(f,g) βasymPh(f,g) |
| 1625 | 1614.8 1615.5 | βsymPh(d,f,g) βsymPh(d,f,g) |
| 1700 | 1684.9 | νC=O(h) |
| 1722 | 1711.4 1715.4 | νC=O(e) anti-phase νC=O(e,h) |
| 1737 | 1718.2 | in-phase νC=O(e,h) |
| 2861 | 2944.8 2945.3 | νasymCH2(b,c) νsymCH2(j) |
| 2878 | 2956.3 2963.8 2964.8 | νasymCH2(j), νsymCH3(j) νsymCH2(b,c) νasymCH2(b), νasymCH2(j), νsymCH3(j) |
| 2936 | 3006.8 | νsymCH2(b,c) |
| 2960 | 3016.5 | νasymCH2(j) |
| 2976 | 3027.9 | νasymCH2(j) |
| Model | Full Range | <1000 cm−1 | 1000–2000 cm−1 | >2000 cm−1 |
|---|---|---|---|---|
| Isolated molecule | 0.994(2) 0.99961 | 1.019(4) 0.99966 | 1.011(2) 0.99988 | 0.978(1) 0.99999 |
| Head-to-head dimer | 0.998(3) 0.99962 | 1.020(4) 0.99964 | 1.011(2) 0.99986 | 0.980(2) 0.99998 |
| Head-to-tail dimer | 0.996(3) 0.99953 | 1.018(5) 0.99955 | 1.012(2) 0.99991 | 0.975(2) 0.99998 |
Disclaimer/Publisher’s Note: The statements, opinions and data contained in all publications are solely those of the individual author(s) and contributor(s) and not of MDPI and/or the editor(s). MDPI and/or the editor(s) disclaim responsibility for any injury to people or property resulting from any ideas, methods, instructions or products referred to in the content. |
© 2024 by the authors. Licensee MDPI, Basel, Switzerland. This article is an open access article distributed under the terms and conditions of the Creative Commons Attribution (CC BY) license (https://creativecommons.org/licenses/by/4.0/).
Share and Cite
Deptuch, A.; Górska, N.; Murzyniec, M.; Srebro-Hooper, M.; Hooper, J.; Dziurka, M.; Urbańska, M. Density Functional Theory Calculations for Interpretation of Infra-Red Spectra of Liquid Crystalline Chiral Compound. Crystals 2024, 14, 645. https://doi.org/10.3390/cryst14070645
Deptuch A, Górska N, Murzyniec M, Srebro-Hooper M, Hooper J, Dziurka M, Urbańska M. Density Functional Theory Calculations for Interpretation of Infra-Red Spectra of Liquid Crystalline Chiral Compound. Crystals. 2024; 14(7):645. https://doi.org/10.3390/cryst14070645
Chicago/Turabian StyleDeptuch, Aleksandra, Natalia Górska, Michaela Murzyniec, Monika Srebro-Hooper, James Hooper, Magdalena Dziurka, and Magdalena Urbańska. 2024. "Density Functional Theory Calculations for Interpretation of Infra-Red Spectra of Liquid Crystalline Chiral Compound" Crystals 14, no. 7: 645. https://doi.org/10.3390/cryst14070645
APA StyleDeptuch, A., Górska, N., Murzyniec, M., Srebro-Hooper, M., Hooper, J., Dziurka, M., & Urbańska, M. (2024). Density Functional Theory Calculations for Interpretation of Infra-Red Spectra of Liquid Crystalline Chiral Compound. Crystals, 14(7), 645. https://doi.org/10.3390/cryst14070645

